Abstract
Based on 14,020 observations of Chinese A-share listed SMEs from 2007 to 2021, this study uses the difference-in-differences (DID) model to investigate the impact of cross-border e-commerce on enterprises’ international competitiveness. The results show that the comprehensive pilot zone of cross-border e-commerce significantly promotes SMEs’ overseas business income of SMEs, indicating that cross-border e-commerce is a powerful tool for improving corporate international competitiveness. In addition, the total factor productivity (TFP) of SMEs has been significantly improved in the process of expanding overseas markets. The triple DID model shows that the pilot policies of cross-border e-commerce significantly promoted the TFP of international enterprises, which means that cross-border e-commerce is conducive to improving international competitiveness. This study also verifies the market information mechanism of cross-border e-commerce, which enables SMEs to improve their international competitiveness. Developing and emerging countries should accelerate the institutional reform of digital trade to facilitate SME internationalization.
Keywords
Introduction
Information technology has extensively promoted the integration of the global economy (Zhou et al., 2022). The international competitiveness of small and medium-sized enterprises (SMEs) and the benefits and challenges of their participation in the global industrial division of labor has attracted widespread attention (Cardoza et al., 2015). Global uncertainty factors have been increasing in recent years, posing challenges to the international development of SMEs in developing countries and hindering their economic pursuits in developed countries (Zhou & Wen, 2022). In addition, international competition between enterprises has increased in the digital trade era, and the sustainable development of SMEs depends on improving their international competitiveness. Although uncertain economic and trade environments have had many negative impacts on the development of SMEs, digital trade provides opportunities for SMEs to internationalize.
SMEs face high iceberg costs in obtaining international market information and expanding the international market (Safari et al., 2022). However, digital trade can effectively improve the information-matching efficiency of SMEs to international market demand and provide SMEs with international market sales channels, which reduces iceberg costs and marginal costs (Jiang et al., 2022). Cross-border e-commerce is the main form of digital commodity trade and provides a window and medium for internationalization for SMEs through a digital platform. As the most prominent emerging developing country, China suffers from declining traditional advantages, and measures must be taken to enhance the international competitiveness of SMEs in uncertain economic and trade environments. Hence, this study examines the impact of cross-border e-commerce development on the internationalization of SMEs in China.
Existing literature shows that information technology brings new processes, structures, and paradigms to international business, thus constituting the most important driving force for global economic integration (Alcácer et al., 2016). Classical international trade theory shows that international trade improves both parties’ welfare, but international trade activities need to overcome iceberg costs, such as transportation costs and market development (Alessandria & Choi, 2014). Melitz (2003) proposed the trade theory of firm heterogeneity, arguing that only enterprises with high productivity can overcome iceberg costs and engage in export trade activities. As e-commerce and other Internet platforms can greatly reduce the iceberg and marginal costs incurred by SMEs, they are an important driving force for their internationalization. For example, the development of the Internet has positively impacted export marketing ability and performance in emerging markets (Jean & Kim, 2020). Cross-border e-commerce and other digital trade platforms provide platform facilities specifically for the internationalization of SMEs. Some studies have focused on the vital role of digital trade in global economic and trade cooperation (Jiang et al., 2022), whereas few have empirically investigated the role of digital trade in SME internationalization and competitiveness improvement.
China is a representative country that actively integrates globalization through the development of cross-border e-commerce, which has become an essential driving force in the internationalization of SMEs. Notably, China has set up a series of pilot cities to develop cross-border e-commerce, encouraging the development of cross-border e-commerce through institutional innovation to drive the internationalization of SMEs. Accordingly, this study considers the pilot policies of China’s comprehensive cross-border e-commerce pilot zone as a quasi-experiment. In addition, it uses panel data on SMEs listed on China’s A-share market to investigate the impact of cross-border e-commerce on SMEs’ internationalization and international competitiveness. The empirical findings of this study confirm the influential role of cross-border e-commerce in improving the international competitiveness of enterprises and provide important insights into the internationalization of SMEs in the era of digital trade. The empirical evidence of this study also shows that the market information mechanism is a way to realize the effect of cross-border e-commerce on international competitiveness.
This study contributes to the research on the high-quality development of SMEs in the digital trade era. First, it explores the internationalization of SMEs from the perspective of digital trade theory, which contributes to clarifying the laws and characteristics of global economic and trade activities in the digital economy era relative to existing studies (Peña-Vinces et al., 2017). Second, it overcomes the endogenous challenges of cross-border e-commerce development through empirical research. Compared to the existing literature (He et al., 2011; Jiang et al., 2022), this study uses a quasi-experimental method to reveal the causality between cross-border e-commerce development and the international competitiveness of SMEs. Finally, this study provides policy insights into the international development of SMEs in developing countries during the digital trade era. The uncertain international economic and trade environment has brought a series of challenges to the internationalization of SMEs, and our findings provide a basis for institutional innovation in digital trade and trade liberalization in developing countries.
The remainder of this paper is organized as follows. Section 2 presents the background for the development of cross-border e-commerce in China and a theoretical analysis of the effects of cross-border e-commerce on SMEs. Section 3 introduces the study design, relevant data, and the sample. Section 4 presents the empirical results and analysis. Finally, Section 5 concludes the paper and provides policy implications.
Background and Theoretical Analysis
Background of Cross-Border E-Commerce Development in China
E-commerce uses computers and the Internet to establish a platform to carry commodity information, delivery channels, and transaction records, and its primary function is to complete commodity exchange services. Cross-border e-commerce is the expansion and extension of e-commerce that uses e-commerce platforms to carry out various transnational trade activities, commodity transportation, and distribution with the help of cross-border logistics. It is global, invisible, anonymous, instantaneous, and its form is almost identical to domestic e-commerce. The difference is that its trade objects are often from overseas. The influencing factors are diversified and are affected by cultural and policy differences, human resource differences, economic environment differences, the logistics industry environment, and other aspects of different countries or regions.
As the technological basis for promoting economic integration and trade globalization, cross-border e-commerce has attracted widespread attention from the Chinese government and all sectors of society. The Chinese government has issued a number of laws and regulations to clarify the development norms of e-commerce, set up pilot free trade zones, set up cross-border e-commerce customs supervision departments, inspection and quarantine, tax refunds, cross-border payments, logistics systems, and so on. Various provinces in the country have continuously strengthened the integration of regional resources, developed cross-border e-commerce with the support of policies, and established several cross-border e-commerce demonstration cities. This has further promoted the development of cross-border e-commerce. China’s cross-border trade e-commerce operation mode mainly includes the traditional cross-border bulk trade platform mode, cross-border small wholesale and retail mode of the integrated portal type, vertical cross-border small wholesale and retail platform mode, and third-party service platform mode.
To promote cross-border e-commerce, China implemented pilot policies in various cities. In March 2015, Hangzhou was approved as the first comprehensive pilot zone for cross-border e-commerce. In 2016, 12 cities (including Ningbo, Suzhou, Tianjin, Shanghai, and Chongqing) were approved as comprehensive pilot zones for cross-border e-commerce. By the end of 2022, China had set up seven comprehensive pilot zones for cross-border e-commerce, covering 165 cities. The policies of the comprehensive pilot zone have extensively promoted the development of cross-border e-commerce in China, making it a leading country in the development of cross-border e-commerce worldwide. Relying on cross-border e-commerce platforms, SMEs directly face consumers in the international market, significantly reducing the barriers to internationalization, and more and more SMEs are participating in international market competition.
Literature Review of Empirical Studies
The competitiveness of SMEs has always been an important issue in the field of management (Piperopoulos & Scase, 2009; Schaefer et al., 2023), and in the era of economic globalization, the competitiveness of SMEs is oriented toward the international market (Bilali, 2022). The international competitiveness of a company refers to its superior performance in market share, export trade, and financial performance compared to its competitors in international business operations (Moen & Servais, 2002; Peña-Vinces et al., 2017) or its ability to adapt to changes in the international market (Zheng et al., 2022). The development of digital technology has led to the increasing integration of SMEs into the global industrial division of the labor system (Zhou et al., 2022), and the international competitiveness of SMEs is an essential driving force for economic growth and residents’ well-being in developing countries (Cravo et al., 2012).
Some empirical studies have explored the factors influencing international competitiveness, including external and internal factors (Peña-Vinces et al., 2017). External factors include macroeconomic factors, economic policies, financial markets, industry technology, and upstream and downstream supply chains (Appiah et al., 2019; Cardoza et al., 2015), whereas internal characteristics mainly include productivity, managerial characteristics, financial capabilities, and innovation (Bianchi & Stoian, 2022; Di Gregorio et al., 2009; Zimon et al., 2022). In the era of digital economy, the speed of knowledge diffusion is accelerating (Salehi & Sadeq Alanbari, 2023), and a large number of empirical studies have shown that information technology or digital technology is a key force in enhancing the international competitiveness of SMEs (Peña-Vinces et al., 2012; Wen et al., 2022).
Some studies have noted that tightening climate policies and the uncertainty of the global trade environment have had many adverse effects on the internationalization of SMEs in developing countries (Shafeeq Nimr Al-Maliki et al., 2023; Wen et al., 2023). This urgently requires SMEs in developing countries to seek new sources of competitive advantage rather than traditional advantages of low resource costs, while the development of digital technology and digital trade has given SMEs new opportunities for international competitive advantage (Chen & Yang, 2017; Yang et al., 2023). Previous studies have found that e-commerce and digital trade can promote enterprises’ export competitiveness, but these studies mainly focus on large enterprises (He et al., 2011; Zhang & Duan, 2023). Limited by data availability, there is relatively little research on the relationship between cross-border e-commerce and international competitiveness.
Theoretical Analysis and Research Hypothesis
Policy intervention in the comprehensive pilot zones of cross-border e-commerce promotes the development of cross-border e-commerce through institutional innovation. It provides international market information and trade-tracking convenience for SMEs, thus lowering trade barriers and improving trade efficiency. Hence, during internationalization, SMEs improve their total factor productivity (TFP) and international competitiveness through industrial division, market competition, and resource allocation effects. Figure 1 shows the theoretical mechanism by which cross-border e-commerce affects SMEs’ internationalization and international competitiveness.

Mechanism of cross-border e-commerce affecting internationalization of SMEs.
There are two constraints on the internationalization of SMEs, and cross-border e-commerce can help them overcome these obstacles, thus providing new opportunities for their internationalization. First, international market development incurs high fixed iceberg costs. The other is that SMEs do not have scale advantages, which leads to high marginal costs (Bianchi & Stoian, 2022). As a major form of digital trade, cross-border e-commerce can provide SMEs with international market information and convenience for international trade activities (Yang et al., 2023), thus reducing the iceberg cost constraints of SMEs’ internationalization and the marginal cost of trade activities. The decline in iceberg and marginal costs encourage SMEs to internationalize their businesses. Therefore, China’s pilot cross-border e-commerce policy can promote SME internationalization. Accordingly, the following hypothesis is proposed in this study:
Overseas business income, which has a significant impact on the high-quality development of SMEs, is the most critical characteristic of international corporate development. To obtain overseas business income, enterprises must meet product quality requirements and consumer preferences in the international market, which can encourage SMEs to conduct processes or R&D innovation. Additionally, internationalization helps SMEs acquire advanced management experience and production technology (Fredrich et al., 2022). Specifically, SMEs can improve their productivity through learning or knowledge absorption when obtaining overseas business income. The benefits of internationalization promote SME productivity. Both international market competition and the optimization of international resource allocation encourage SMEs to improve their TFP (Merino, 2012). SMEs may also have a lock-in effect in the internationalization process, leading to low productivity and a lack of international competitiveness. However, in the era of digital trade, SMEs have a strong ability to obtain international market information and a low dependence on international development for large multinational enterprises; thus, the locking effect may be greatly weakened. Hence, the following two hypotheses were proposed:
The pilot policy of cross-border e-commerce can promote the participation of SMEs in the international market, which brings many benefits to enterprises, such as financial performance and technological progress, all of which lead to an increase in TFP (He et al., 2011). In the long run, all enterprises may benefit from the spillovers of economic openness and institutional optimization brought about by the development of cross-border e-commerce. Nevertheless, international enterprises can benefit more directly from cross-border e-commerce, as reflected in their short-term economic performance. During this period, knowledge spillovers and technological progress were achieved through the direct and indirect effects of cross-border e-commerce development, thereby significantly improving TFP. Hence, this study proposes the following hypotheses:
Research Design and Data Description
Sample and Data Source
The sample of this study consists of enterprises listed on the Small and Medium-sized Enterprise Board and Growth Enterprise Board of the Shenzhen Stock Exchange, as well as the Science and Technology Innovation Board of the Shanghai Stock Exchange. The sample period is from 2007 to 2021 and includes 14,020 observations. The year 2007 was set as the starting time of the sample period owing to changes in the financial standards of listed companies in China, while 2021 was the latest data available for some variables. In addition, the comprehensive pilot zone policy of cross-border e-commerce was implemented in 2015, and the sample period of this study provides sufficient periods before and after policy intervention.
The financial data of SMEs comes from the public database named China Stock Market and Accounting Research. In this study, samples with missing data or abnormal operations were deleted, as were samples from financial companies. A list of cities in the comprehensive pilot zones of cross-border e-commerce was manually collected. During the sample period, five groups of cities were selected as pilot cities to conduct institutional innovation to promote cross-border e-commerce development.
The Setting of Empirical Models
This study aims to investigate the impact of cross-border e-commerce on the international competitiveness of SMEs, which is divided into three steps. The first step is to investigate the impact of cross-border e-commerce pilot policies on enterprises’ internationalization using a quasi-natural experiment and a difference-in-differences (DID) design. Second, this study examines the impact of enterprise internationalization on the TFP of SMEs. Third, this study adopts a difference-in-differences-in-differences (DDD) design to investigate the impact of cross-border e-commerce policies on the TFP of international enterprises.
First, this study uses the two-way fixed effect model to investigate the impact of cross-border e-commerce on the internationalization of SMEs. We take the cities of the comprehensive pilot zones as the treatment group and other cities as the control group and construct the group dummy variable (
where the subscripts
Second, based on cross-border e-commerce promoting internationalization, this study examines whether SMEs experience an improvement in TFP in the process of internationalization. If the productivity effect is significant, it indicates that the quality of internationalization is high and the increase in overseas business revenue promoted by cross-border e-commerce is due to the improvement of international competitiveness. Accordingly, the following panel regression model was used.
where TFP indicates the total factor productivity of the enterprise, and the meanings of the other variables are consistent with Model (1). If the coefficient of
Third, the difference-in-differences-in-differences (DDD) design or triple DID model is used to investigate the impact of policy intervention on the TFP of international enterprises. Hence, the empirical model of the DDD is as follows:
where the DDD term (
Descriptive Statistics of Variables
Table 1 presents the definitions of the main variables used in the study. The dependent variables are internationalization and TFP. Corporate internationalization includes overseas business income (
The Definitions of Related Variables.
The main dependent variable in this study is the development of cross-border e-commerce, measured by the policy intervention of pilot policies (
Three variables were selected to measure the market information mechanism of cross-border e-commerce. Sales expenses (Sale_Cost) are the ratio of sales expenses to the main business revenue. Sales expenses represent marketing costs, and high sales expenses indicate that the market information mechanism is not smooth. Management cost (Manag_Cost) is the ratio of management expenses to main business revenue, which measures the information effectiveness of the enterprise’s internal management. Enterprise innovation (patents) measures the number of patents filed that year by an enterprise. This study uses international firms’ innovative responses to policy interventions to investigate innovation information mechanisms in the international market.
Table 2 shows the descriptive statistics of the main variables involved in this study, and the last column shows the correlation coefficients between all variables and the overseas business income of the enterprise. Continuous variables were tail-tailed at 1%; hence, there were no extreme outliers for any variable. There are large differences in the results of the three TFP measures; however, the correlation coefficients of these three variables are high because there is no deviation. Additionally, a correlation coefficient exists between policy intervention and internationalization, indicating that cross-border e-commerce policies may lead to enterprise internationalization. TFP, overseas investment, and overseas business income are positively correlated, indicating that SMEs should gain competitiveness in the process of internationalization.
Descriptive Statistics.
Nevertheless, the conjectures of the descriptive analysis must be tested using econometric models. A Jarque-Bera test based on skewness and kurtosis found that most variables were not normally distributed; the
Empirical Result and Analysis
Empirical Results of Cross-Border E-Commerce Affecting Internationalization
The internationalization behavior of enterprises involves obtaining higher operating income, and overseas business income is the most direct and vital source of income for enterprise internationalization. Table 3 presents the results based on Model (1), which examines the impact of cross-border e-commerce on enterprises’ overseas business revenue. Some columns do not control for the fixed effect of the enterprise, but control for the city fixed effect, which is also in line with the requirements of the DID design.
Empirical Results of Cross-Border e-Commerce Affecting Overseas Business Revenue.
The empirical results in Table 3 show that the policy intervention in cross-border e-commerce significantly promotes the overseas business income of enterprises in the pilot cities. Columns (1) and (2) do not control for the enterprise characteristic variables, and the coefficient of the DID term is significantly positive at the 1% level. If the assumption of parallel trends was satisfied between the treatment and control groups, the DID design did not need to control for the characteristic variables of the enterprise. To avoid dissatisfaction with the strict parallel trend assumption, this study relaxed the conditions to meet the conditional parallel trend by including control variables. Columns (3) to (6) show that the coefficients of the interaction term (
Studies have also shown that information technology and emerging digital technology have created more opportunities for corporate internationalization, and an increasing number of SMEs are participating in global economic and trade activities that rely on digital platforms (Chen & Yang, 2017; Zhou et al., 2022). As a first-mover country in the field of cross-border e-commerce, China is actively promoting innovation in its digital trade system, enabling SMEs to develop internationally and enhance their international competitiveness (Ma et al., 2018). The results in Table 3 further support the relevant literature and show that cross-border e-commerce is particularly important for SMEs’ internationalization. In recent years, uncertainties in global economic and trade activities have increased dramatically, bringing many challenges for SMEs to participate in the international market. Digital trade, represented by cross-border e-commerce, is a deterministic factor in an uncertain internationalization environment for SMEs.
Other factors affecting internationalization are shown in Table 3, and most of the coefficients are in line with theoretical expectations. The coefficient of the production scale is positive and significant. The more resources an enterprise has, the more likely it is to overcome the iceberg costs required for international market development (Zheng et al., 2022). More importantly, the production scale is the most critical factor hindering SME internationalization; thus, the corporate scale significantly impacts internationalization. According to the resource determination theory of corporate internationalization, the indicators of market value, financial liabilities, and cash flow reflect the financial resources available to SMEs and positively affect corporate internationalization. Accordingly, the asset-liability ratio represents enterprises’ financial risk and negatively impacts the internationalization of SMEs. Although the return on assets has an insignificant effect on internationalization, the coefficients of the control variables conform to the resource determinism of corporate internationalization. Cross-border e-commerce can effectively lower the threshold of international market participation and help SMEs resolve the resource constraints of internationalization.
Empirical Results of Parallel Trend Test and Placebo Test
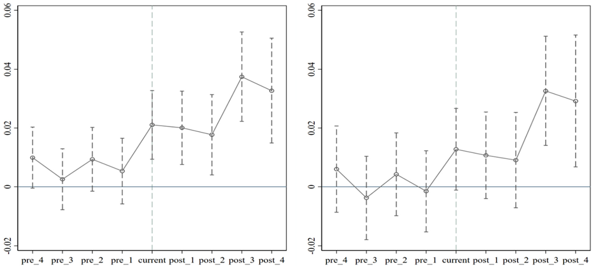
The internationalization development of the two groups of SMEs before the policy intervention satisfied the parallel trend, a prerequisite for applying the DID design in this study. Figure 1 shows the test results for parallel trends in corporate internationalization; the left panel does not control for other factors that affect internationalization, whereas the right panel controls for other factors. There are differences between the estimates in the left and right panels; however, both groups of firms generally satisfy the parallel trend hypothesis before policy intervention. In the left panel, the internationalization trends of the two groups of firms show some differences before the policy intervention, but the change in the trend difference is insignificant. In addition, the internationalization of the two groups of enterprises exhibited significant trend differences after policy intervention. The two groups of enterprises in the right panel show no trend difference before the policy intervention and satisfy the parallel trend hypothesis. The policy effect was significantly positive 3 years after the pilot policy for cross-border e-commerce was implemented. The results in Figure 2 suggest that there may be differences in the potential internationalization trends between the two groups of enterprises and that such differences arise mainly from corporate characteristics. Therefore, this study’s DID design should control for other factors that affect enterprises’ internationalization.

The results of the test for parallel trends in corporate internationalization.
Empirical Results of Robustness Analysis
This study also conducted a placebo test to exclude significant effects caused by random factors. Specifically, the present study randomly selected enterprises from 30 cities without intervention as the treatment group and other samples not intervened as the control group to estimate policy effects through a DID design. Specifically, this study randomly selects enterprises from 30 cities without intervention as the treatment group, whereas other non-interference samples are used as the control group for the DID design to estimate policy effects. Figure 3 presents the empirical results of the placebo tests. It can be found that there is no significant policy effect in the placebo test results, and random factors cause no policy intervention.

The results of the placebo tests for policy intervention.
This study uses three robustness analyses to test Hypothesis 1. Firstly, it uses the robustness estimator of the heterogeneous multi-period DID design. The two-way fixed effects of the multiperiod DID model may produce biased estimates, and the estimator of Callaway and Sant’Anna (2021) for multiperiod DID (CS-DID) was used. Second, to avoid bias caused by endogenous selection in the pilot cities, this study uses matched samples with propensity scores to estimate policy effects (PSM-DID). The empirical results of the robustness estimators of the CS-DID and PSM-DID are shown in Table 4. PSM includes one-on-one neighbor matching and kernel matching, with the former shown in Columns (4) and (5) and the latter shown in Columns (6) and (7). Third, this study uses the logarithm of the number of overseas investment countries as a proxy for internationalization. Overseas investment is an important means for companies to gain revenue from overseas businesses or develop internationally, requiring more international competitiveness (Teng et al., 2023). Table 5 presents the results of replacing the dependent variables.
Empirical Results of Robustness Estimators of CS-DID and PSM-DID.
Empirical Results of Cross-Border e-Commerce Affecting Overseas Investment.
Additionally, this study utilizes a dual-robust estimation method to avoid the potential bias of two-way fixed-effects estimators. Although the heterogeneity-robust estimator has more loss in the number of sample observations, the estimated results support Hypothesis 1. In Table 4, all the coefficients of the DID term in Columns (1) to (3) are significantly positive at the 1% level, indicating that the comprehensive cross-border e-commerce pilot zone significantly promotes the internationalization of SMEs. In addition, the estimated results of the PSM-DID indicate that the policy intervention in cross-border e-commerce has a significant policy effect on corporate internationalization. In addition, the regression coefficients obtained in Table 4 are larger than the estimated number of the two-way fixed effects, suggesting that the two-way fixed effects model may underestimate the positive effects of cross-border e-commerce policies.
The regression results in Table 5 indicate that the cross-border e-commerce pilot policy promotes overseas investment in SMEs. In Columns (1) to (3), the coefficients of
Empirical Results of Cross-Border e-Commerce Affecting Total Factor Productivity
According to the theory of heterogeneous trade, high-productivity enterprises can overcome international iceberg costs and conduct exports (Yasar et al., 2006). Therefore, an increase in overseas business income can indicate an increase in an enterprise’s international competitiveness. However, there is a productivity paradox in the internationalization of Chinese enterprises (Mi et al., 2021); that is, the productivity of export enterprises is lower. Hence, this study examines whether the internationalization of enterprises is accompanied by an increase in TFP, showing that overseas business income represents international competitiveness. Additionally, this study adopts a DDD design to examine whether cross-border e-commerce promotes the TFP of international enterprises. Table 6 shows the impact of internationalization on corporate TFP, with different columns using different indicators of productivity.
Empirical Results of Internationalization Affecting Total Factor Productivity.
The results shown in Table 6 are consistently and significantly positive, suggesting that income from overseas operations significantly boosts corporate TFP. In the process of internationalization, SMEs always lack bargaining power and learning ability, leading some studies to worry that SMEs in developing countries face a lock-in of technology and low-end links in the division of labor in value chains, which leads to an unfair distribution of interests in the international division of labor (Shao et al., 2023). However, this study finds that internationalization benefits corporate TFP, suggesting that the overseas market expansion effect of cross-border e-commerce enhances SMEs’ international competitiveness. The logic is that the ability of SMEs to acquire and learn information has been enhanced in the process of internationalization in the digital economy era, thus can make better use of the international market to enhance competitiveness.
Table 7 shows the impact of cross-border e-commerce on the TFP of international companies. This is also the regression result of the DDD design or model (3). The variable of interest in this study is the interaction term of the three variables: Sale_Overseas × Treat × After. It can be seen that the coefficients of Sale_Overseas × Treat × After are significantly positive at the 1% level in all columns. These results show that cross-border e-commerce policy has significantly promoted the TFP of international enterprises, which also means that a theoretical hypothesis is established that helps improve the international competitiveness of enterprises. Notably, the coefficients of Treat × After are negative but insignificant in most columns, indicating that cross-border e-commerce has a negative or insignificant impact on the TFP of non-international enterprises.
Empirical Results of Cross-Border e-Commerce Affecting Total Factor Productivity.
These findings do not contradict the reality. Cross-border e-commerce has unblocked market information circulation mechanisms and intensified market competition. This marketization factor negatively affects enterprises with weak viability, which is reflected in the decline of TFP. In addition, market competition intensifies enterprise transformation, which leads to an insignificant effect of cross-border e-commerce on non-international enterprises. In sum, the policy intervention of cross-border e-commerce not only directly promotes the internationalization of SMEs but also urges enterprises to improve their productivity in the process of internationalization, so cross-border e-commerce is beneficial to the international competitiveness of SMEs.
Empirical Results of Testing Market Information Mechanisms
Cross-border e-commerce is the digital transformation of trade activities based on the application of digital technologies; its direct effect on enterprises is to improve the circulation efficiency of market information (Zhou et al., 2022). This study examined whether cross-border e-commerce contributes to the effect of market information mechanisms on SMEs. On the one hand, this study selects the cost of sales and the cost of management as the proxy variables of the external and internal market information efficiency of the enterprise; on the other hand, this study selects the response degree of patent innovation to the interaction terms of overseas sales revenue and cross-border e-commerce policy intervention. Table 8 presents the empirical results from testing the market information mechanism.
Empirical Results of Market Information Mechanisms.
The empirical results in Table 8 show that cross-border e-commerce affects SMEs through market information mechanisms. In Columns (1) to (4), the coefficients of Treat × After are all negative, and only the coefficient in Column (1) is insignificant, indicating that cross-border e-commerce significantly reduces both the sales and management costs of SMEs; that is, the internal and market information mechanisms are effective. In Columns (5) and (6), the coefficient of the interaction term is significantly positive, indicating that cross-border e-commerce improves the innovation ability of SMEs. Although the coefficient of Treat × After × Sale_Overseas is positive, it is insignificant, indicating that the international market’s technical information mechanisms are insignificant. Thus, cross-border e-commerce promotes innovation among SMEs by accelerating competition in product markets.
Empirical Results of Heterogeneity Analysis
Although cross-border e-commerce makes it convenient for SMEs to participate in internationalization, it also provides a trading platform for manufacturing enterprises and plays a relatively minor role in service-oriented enterprises. In addition, China has a first-mover advantage in the field of cross-border e-commerce, but it lags in the field of digital service trade. Table 9 shows the heterogeneity effect of cross-border e-commerce on the international competitiveness of enterprises in the manufacturing and non-manufacturing industries. Iceberg cost is a key factor hindering the internationalization of SMEs, while private enterprises may have higher iceberg costs because of the difficulty in obtaining information from overseas markets. Table 10 shows the heterogeneity of private and non-private enterprises.
Empirical Results of Industry Heterogeneity.
Empirical Results of Ownership Heterogeneity.
Although both manufacturing and non-manufacturing SMEs enhance their international competitiveness through cross-border e-commerce policies, the evidence for manufacturing enterprises shown in Table 9 is stronger. For the manufacturing industry, cross-border e-commerce significantly promotes enterprise internationalization, which helps to improve the TFP, and cross-border e-commerce can significantly promote the TFP of international enterprises. For non-manufacturing industries, the coefficient of Treat × After in Column (1) is positive and insignificant but does not contradict the conclusion that cross-border e-commerce promotes internationalization. In addition, the effects of internationalization promoting the TFP and cross-border e-commerce promoting the TFP of international enterprises are significantly established. Industrial heterogeneity is also in line with the theoretical logic. Cross-border e-commerce provides greater convenience for manufacturing enterprises to participate in internationalization, thus providing more robust evidence that cross-border e-commerce promotes internationalization.
Table 10 shows that cross-border e-commerce promotes the internationalization of private and non-private enterprises but only has a significant promoting effect on the TFP of non-private enterprises in the internationalization process. The coefficients of Treat × After in Column (4), Sale_Overseas Column (5), and Sale_Overseas × Treat × After in Column (6) are all significantly positive at the 1% level, which indicates that Hypothesis 1, 2, and 3 are all established for private enterprises. For non-private enterprises, only the coefficient of Treat × After in Column (1) is significant at the 1% level, while the productivity effect is insignificant. Since international market information circulation is the key mechanism for cross-border e-commerce to act on SMEs, state-owned enterprises and foreign-funded enterprises have a high ability to obtain international market information, which leads to low dependence on cross-border e-commerce for productivity improvement. The empirical results of heterogeneity analysis show that the causal effect between cross-border e-commerce and enterprises’ international competitiveness is real, and unimpeded international market information is the key mechanism for cross-border e-commerce to affect SMEs.
Conclusion and Policy Implications
The digital economy has brought new opportunities and challenges to global economic and trade cooperation (Zhang & Duan, 2023), and SMEs must urgently enhance their international competitiveness in the digital economy era. This study uses a quasi-natural experiment in a comprehensive pilot zone of cross-border e-commerce at the city level in China to investigate the effects of cross-border e-commerce development on the internationalization and competitiveness of SMEs. Using data on listed SMEs in China, this study draws the following conclusions.
The empirical evidence provided by this study shows that cross-border e-commerce significantly promotes the internationalization of SMEs and that overseas business income and investment of SMEs increase significantly after policy intervention. The iceberg cost is a key obstacle to the internationalization of SMEs, and cross-border e-commerce lowers the threshold of internationalization so that a large number of SMEs can participate in the global industrial division of labor. Additionally, the internationalization process of SMEs is accompanied by an improvement of TFP, and cross-e-commerce significantly promotes the TFP of international SMEs. Hence, the empirical evidence supports the idea that cross-border e-commerce can significantly promote international competitiveness. It also examines the mechanism of cross-border e-commerce policy intervention and its heterogeneity. Cross-border e-commerce affects SMEs through market information mechanisms. Additionally, the effects of cross-border e-commerce on enhancing international competitiveness are heterogeneous among industries and ownerships. The positive effect of cross-border e-commerce is stronger for manufacturing and private enterprises, further verifying the enabling effect of cross-border e-commerce on SMEs and its mechanism.
Our findings provide a basis for promoting the internationalization of SMEs in the era of the digital economy and also help formulate and optimize supportive policies for SMEs. First, developing countries should develop a large amount of cross-border e-commerce, reduce the threshold of SMEs’ internationalization through the improvement of digital facilities and digital platforms, and improve their international competitiveness and business performance in promoting internationalization. Second, SMEs’ nationalized market information mechanism should be unimpeded and digital technology should be used to help SMEs obtain timely international market information to enhance their international competitiveness. Third, in the era of digital trade, it is necessary to encourage and support the international development of SMEs and strengthen the impetus for economic growth through the digital empowerment of SMEs’ international development. The laws and characteristics of the internationalization of SMEs in the digital trade era will undergo irreversible changes that require policymakers to optimize institutional arrangements. Fourth, China should actively expand the business capacity and competitiveness of SMEs in the field of digital service trade and extend the first-mover advantage of cross-border e-commerce to the service field to help realize the transformation and upgrading of international trade. This requires leveraging the positive role of the dynamic network of SMEs formed by digital trade, thereby creating an important source of long-term competitive advantage.
Owing to the availability of data and the feasibility of research techniques, some limitations can be expanded in the future. First, the connotations of enterprises’ international competitiveness are broad, and more indicators can be used to reflect international competitiveness. Second, this study selected SMEs that publicly issued stocks, whereas smaller enterprises were included in the analysis. Third, digital trade has created dynamic network relationships between SMEs, which must be considered when analyzing the improvement of the international competitiveness of enterprises.
Footnotes
Declaration of Conflicting Interests
The author(s) declared no potential conflicts of interest with respect to the research, authorship, and/or publication of this article.
Funding
The author(s) disclosed receipt of the following financial support for the research, authorship, and/or publication of this article: This research was funded by the National Statistical Science Research Project of China (No. 2021LZ38).
Data Availability Statement
Data will be provided upon reasonable request to the corresponding author.
