Abstract
In natural language understanding, a crucial goal is correctly interpreting open-textured phrases. In practice, disagreements over the meanings of open-textured phrases are often resolved through the generation and evaluation of
.Introduction
Natural languages are optimized for flexibility and expressiveness in order to adapt to ever-changing human needs. The expressiveness of language allows for new ideas to be expressed, and the flexibility of language allows for the application of statements to new contexts. This flexibility is especially apparent when it comes to the specification of rules, such as those seen in laws, contracts, codes of conduct, and so on – a certain amount of flexibility in the allowed interpretations of terms in rules can ensure that the rule can be applied to new scenarios which may not have been conceived of by the rule writers.
This feature of the language used by rule systems has been referred to as “open-texturedness” [9,41]. A natural language phrase is
Formally, interpretive arguments are of the form: “If expression
We, therefore, focus specifically on interpretive argumentation in this paper. Our starting point is the game

An exemplar of an interpretive argument. In this case, the argument is that the rule should be interpreted in such a way that the scenario will be considered an instance of the concept represented by the ambiguous phrase.
Our experimental setup was designed to answer the following research questions:
The contributions in this paper include:
An experimental design and associated surveys that can be used to assess and compare the persuasiveness of interpretive arguments generated by LLMs. The experimental design is used to evaluate OpenAI’s GPT-3 performance, and can be used to assess future LLMs in order to evaluate improvements and identify potential regressions. A dataset of human interpretive arguments for and against compliance of the aforementioned scenarios with respect to the ambiguous rule. A dataset of machine-generated interpretive arguments using different LLMs for the same set of scenarios. A dataset of human evaluations of all the aforementioned interpretive arguments. Datasets for testing annotators’ ability to tell the difference between human- and machine-generated interpretive arguments. Our findings demonstrate that interpretive arguments generated by SOTA LLMs are rated as more convincing than (non-expert) human interpretive arguments. Our findings demonstrate that non-expert human annotators, with no prior exposure to human and machine-generated arguments, are unable to distinguish between the two. This suggests that SOTA LLMs exhibit a level of fluency and human-like diction that convincingly mirrors humans.
The game can be played by any group of three or more people. It is recommended to be played with six players. The game is played in rounds. At the end of each round, points will be awarded to the winner. In each round, two players are randomly chosen to play against each other, with a third player designated as a judge. The gameflow is as follows:
Each round starts with a tuple consisting of:
Profession Rule that members of that profession are expected to follow. The rule must contain at least one open-textured phrase, which introduces ambiguity in its interpretation. Scenario describing an action taken by a member of that profession. The scenario is crafted to leverage the ambiguity of the associated rule. Player 1 chooses which side to argue for (stance); either the professional acted in a way that complies with the rule, or their actions were non-compliant. Player 1 provides an argument for their chosen stance Player 2 provides a counterargument Judge declares the winner Judge provides an explanation for their decision
Figure 2 shows an overview of Aporia as a framework. The players (including the judge) take as inputs the information for the current round of the game and generate arguments, judgments, and explanations as necessary to complete one training example. The players may optionally have access to previous game rounds that allow them to review existing data that they may use to improve their current arguments. Access to previous rounds is especially useful for automated argument generation, as they may be used for few-shot learning or other strategies to improve argument generation over time. Figure 3 shows a partial screenshot of the Aporia game in action.

Aporia as a framework.

An example of Aporia after a round is complete.
In the paper introducing this game [24], a human study was conducted where human participants were invited to play the game using a set of rules and scenarios collected in a previous human study [19]. The data shows a clear preference for participants to argue for compliance (ie. the professional’s actions were compliant with the rule), and a tendency for arguments in favor of compliance to win. These findings indicate that the scenarios were not perfectly balanced. A balanced scenario in this context means that both sides of the argument are equally plausible, leading participants to choose to defend either side with roughly similar likelihood and having a similar chance to win the argument on either side. Moreover, many scenarios had issues where the source of the ambiguity in the scenarios was not directly caused by the ambiguity in the open-textured language of the rule. For example, many scenarios lacked essential facts about the scenario, which was the primary source of ambiguity. Those issues were present in some of the arguments that the players used. For those reasons, we decided in the present study to use the same set of rules from the original dataset, discard the provided scenarios, and generate new scenarios while paying closer attention to balance in order to avoid the aforementioned issues.
In another human study that used this game and its associated dataset, the impact of certain cognitive biases on persuasion [6] was studied where the empirical results show that human participants tended to rate the
Large language models can effectively capture patterns, structures, and knowledge in the training data. When prompted with questions or tasks, they generate responses based on the learned knowledge and patterns [14,20,32,47]. This led to a new trend in learning paradigms that has emerged since the advent of generative LLMs called ‘pre-train, prompt, predict’ [20]. One of the main advantages of this paradigm is that it substantially reduces the need for large task-specific datasets that are required in the supervised learning paradigm. This paradigm is commonly referred to as
When machines are able to perform tasks without being specifically trained on those tasks, the machine is said to perform
Prompt-based learning can be done using manual template engineering by using manually created templates [20,28,36]. Other approaches can learn such prompts automatically, including discrete prompts that typically correspond to natural language phrases [8,12,20,42], or continuous prompts that use sequences of embeddings directly that do not necessarily correspond to embeddings that occur in natural languages [20,21,50].
A recent trend in prompt-based learning that shows promise is explanation-based prompting [11,20], which started with chain-of-thought prompting [48] and many styles of prompting inspired by it, such as self-ask [30] and maieutic prompting [13]. For example, a chain-of-thought prompt may be a question-answering task, where the task is presented in a few-shot learning fashion such that the provided examples do not simply answer the question, and instead provide reasonable step-by-step inferences leading to the correct conclusion. Such a style of prompts will encourage the generative language model to provide explanations before committing to an answer to the question, which was experimentally found to improve accuracy, especially on arithmetic questions [48]. The original paper provides this example: “Q: The cafeteria had 23 apples. If they used 20 to make lunch and bought 6 more, how many apples do they have?”. The direct answer was “A: The answer is 27.” which is incorrect. However, using chain-of-thought the answer was: “A: The cafeteria had 23 apples originally. They used 20 to make lunch. So they had
In this paper, two of the most capable language models from OpenAI at the time of running this experiment were used for the main set of experiments. GPT-3 [4] is used to generate scenarios and arguments, as shown in the rest of the paper, while ChatGPT [25] is only used for scenario generation. ChatGPT (a chatbot powered by GPT-3.5) is not a fully documented model, as the parent company has not published any academic papers or any other resource that includes full details of how GPT-3.5 was trained. However, based on technical reports from the parent company, it is likely instruction-tuned [27] using reinforcement learning from human feedback (RLHF) [5] to follow a variety of written instructions. Since GPT-4 [26] was yet to be released at the time of our experimentation, our present work focuses on GPT-3. However, we report briefly on a small follow-up experiment designed to show that the lessons we learn from the present work about prompting styles are still applicable to GPT-4 and other state-of-the-art generative language models in Section 4.
The original Turing test sets a relatively high threshold for a machine to pass the test, as a conversation with a machine is an interactive setting that allows the human evaluator to probe the limits of the understanding of the machine of the subject of the conversation. However, not all tests designed to tell humans and machines apart follow the same setup. For example, some CAPTCHA2 systems use text and image recognition as a form of a Turing test [37]. Hence, in the context of this paper, we address our third research question (
The experiment was carried out in 5 stages as follows:
.Overview and rationale
The overall goals of the methodology are summarized in the aforementioned research questions. The individual stages and the sequence in which they were carried out were designed to provide the necessary data to answer the research questions or to provide the necessary data for the subsequent stages. In order to answer
.Stage 1: Curating scenarios
Our goal at this stage was to curate a set of ambiguous scenarios for use in the subsequent stages. For this purpose, we started with a dataset of rules collected from the codes of ethics of various professional organizations, following [24]. However, we found some systematic issues with the scenarios used in that publication (see background section (§2)), so we decided to generate a new set of scenarios for this study.
When this experiment was conducted, GPT-3 and ChatGPT were the most advanced LLMs available. We used four different sources for the scenarios at this stage:
The machine-generated scenarios have been produced without human interference or oversight. On the other hand, human–machine collaboration means that a human was directly involved in the production of that set of scenarios. Specifically, for GPT-3, we used a multi-step
Similarly, some of the scenarios were generated in collaboration with ChatGPT. This means that ChatGPT was instructed to generate appropriate scenarios. ChatGPT was given instructions to follow while generating the scenarios. Those instructions were typically provided in the first few messages in a conversation with the chatbot. The two most important sets of instructions given to ChatGPT are the guidelines for judging a scenario (Fig. 4) and the steps it needs to follow (Fig. 5). Those instructions were created through an iterated process of trial and error. Many of those instructions were added to guide the chatbot while generating the scenarios by manually reviewing the chatbot’s responses and attempting to address some of the common issues that arose in the manual review process, which is part of the human–machine collaboration effort.

The annotation guidelines that were given to ChatGPT for generating scenarios.

The steps that ChatGPT was instructed to follow for generating scenarios.
In total, 42 scenarios were generated using the aforementioned methods. A survey was created (using Qualtrics5) to assess those scenarios and was given to graduate students of our research lab. Figure 6 shows an example of a question in this survey. In total, 7 different annotators provided feedback, which was used to select 16 scenarios for the subsequent stages. The annotators were provided the same guidelines given to ChatGPT for reference. The scenarios were selected based on the recommendation of the annotators, where the provided scenarios met the guidelines and were believed to be balanced based on the total feedback we received at this stage.

A survey question at stage 1.
At this stage, we had 16 scenarios from the previous stage. Our goal was to collect 10 different arguments for each scenario: 5 arguments in favor of compliance and 5 in favor of non-compliance. We created a survey with 10 questions each and used Amazon Mechanical Turk6 to recruit human annotators. Figure 7 shows an example of a question in the survey. Participants had to meet the following criteria to participate:
Participants must have at least 50 completed and approved tasks on the platform. Participants must have an approval rate of 92% or better.

A survey question at stage 2.
The collected arguments were reviewed for quality, bad faith, or low effort, and the offending submissions were removed. Such submissions were identified by manually reviewing a small sample of arguments from each user. Reasons for rejecting a submission include:
Submissions that were determined to be complaints or statements about the task itself rather than arguments made in the spirit of the task. These include rants about the scenario (e.g., “This is preposterous, I cannot believe we’re asked to argue in favor of (non-)compliance!”), or very short responses (e.g., “That’s clearly unethical!”). Arguing for the wrong stance (ie. arguing for compliance when asked to argue for non-compliance or vice versa). Very poor grammar that makes the submission ineligible for inclusion.
Only one submission fit the above criteria and was rejected for one or more of the above reasons. We also looked for arguments that were consistently rated as “This argument is meaningless, irrelevant, or nonsense” during the evaluation phase. However, we found no such submissions, which indicated that the manual screening process successfully excluded all such arguments.
Additionally, we used an online tool7 to detect any submissions that are likely to be generated using a GPT variant. We found, through informal tests, that this tool and similar tools frequently produced false positives and false negatives, which aligns with recent work on AI-generated text detectors [34], suggesting that such tools, at best, can only perform marginally better than random at distinguishing AI- from human-written text. However, some form of detection was necessary, so we only considered rejecting cases where the detector reported that two or more responses were AI-written text with a 95% confidence or higher. See our discussion in the conclusion section (§6) on the topic of bot detection for further discussion of this issue. We accepted submissions with one positive result in order to reduce the chances of rejecting legitimate submissions. This procedure identified only one submission where the participant was believed to have used an AI text generator in their submissions.
After collecting the human arguments, we had 16 scenarios, with 5 human arguments in favor of compliance and 5 human arguments in favor of non-compliance each, for a total of 160 human arguments. Our next goal was to evaluate the persuasiveness of the collected arguments by collecting at least 5 different annotations for each collected argument. For this purpose, we created a survey with two question formats. In the first question format, users were given a profession, a rule, a scenario, a stance, and an argument. They were asked to rate the argument on a Likert scale [1] from 1–5, going from “Very convincing” to “Very unconvincing” with an additional choice that reads “This argument is meaningless, irrelevant, or nonsense”. This additional option allows participants to indicate that there is an issue with the provided argument and that a standard Likert scale does not apply. This allowed us to detect if an argument was written in bad faith or did not conform to our expectations such as arguing for the wrong stance. Users were given 5 different arguments for the same scenario-stance pair. In the second question format, for each scenario-stance pair, users were asked to order the same arguments from the preceding Format 1 questions from most convincing to least convincing. Each user was given 5 randomly chosen scenario-stance pairs to annotate for a total of 25 questions of the first format and 5 questions of the second format. Refer to Appendix A.1 for the question templates used in those surveys.
In order to further ensure submission quality, a red-flags quality control system was developed that reviews the submissions for quality control signals that indicate issues with the submission. This system was developed by manually reviewing a small sample of submissions and tweaking the sensitivity of the criteria to ensure that submissions that were clearly of good quality or poor quality were classified correctly and iteratively refining the criteria until the automated quality assessment matched the results of the manual review. A random or low-effort submission is expected to generate 10 or more red flags. Any items with 4 or more red flags were removed from the dataset. The red flags are based on 3 types of quality control signals, each with their own subset of items. The major types of red flags were as follows:
For additional details about the quality control system, please refer to the GitHub page linked earlier.
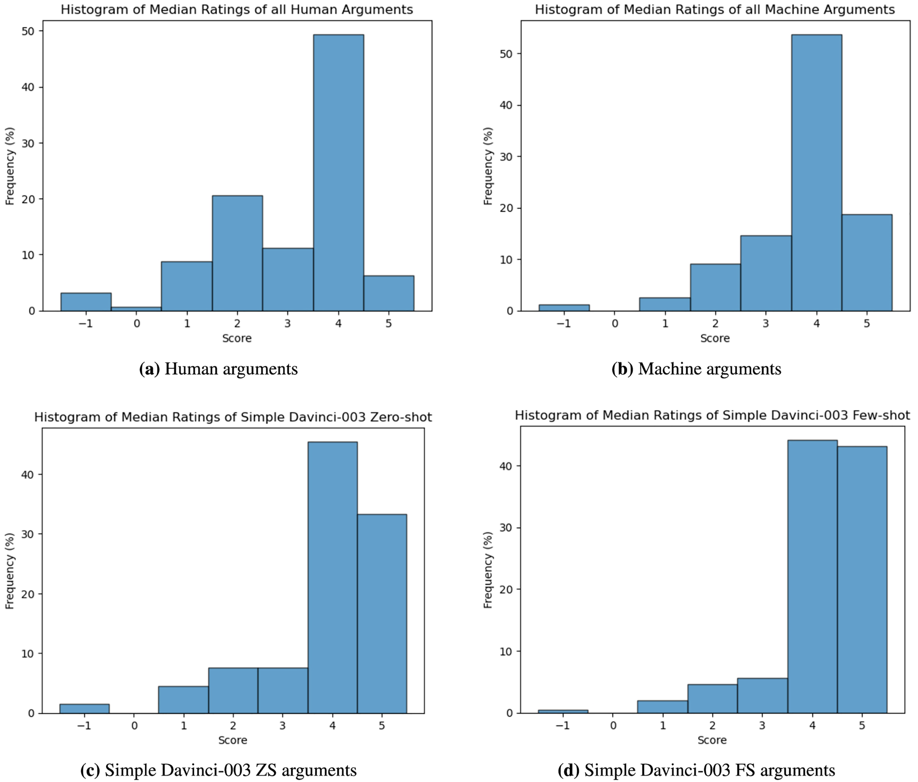
In order to evaluate the collected human arguments, we found the median rating of each human argument. Responses were scored as follows: “Very convincing” (5), …, “Very unconvincing” (1), “This argument is meaningless, irrelevant, or nonsense” (−1). The median rating of the five available annotations is calculated for each argument. The median rating was chosen to represent the persuasiveness of each argument in order to exclude any outliers compared to the majority of the votes. Subsequently, the average for all human arguments is calculated. Similarly, the standard deviation is also calculated using the median ratings of all the human arguments. The average median for all human arguments is 3.06 with a standard deviation of 1.35. The item-weighted average (ie. where all arguments are given equal weight) is 2.91. Figure 8(a) shows the distribution of the median ratings of all human arguments.

Histograms of median ratings.
At this stage, we had 16 scenarios with 5 human arguments in favor of compliance and 5 human arguments in favor of non-compliance for each scenario. All of those arguments had 5 different annotations of their persuasiveness. Our goal at this stage was to generate 20 different arguments for each scenario using LLMs: 10 arguments in favor of compliance and 10 in favor of non-compliance.
We used GPT-3 models of different sizes, prompt designs, and both zero-shot and few-shot prompting. Table 1 lists all the different arrangements that were used in this experiment. These choices were selected in order to answer
The second prompt design is a 10-step introspective design that allows the LLM to formulate and improve its arguments iteratively. The introspective prompt pipeline is based on a multitude of sources for inspiration. First of all, with analogy to the chain-of-thought prompting and similar approaches, these prompts break down the task of interpretive argumentation into discrete tasks, which, in concert, are designed to generate quality arguments. The individual questions and steps were inspired by multiple sources. Many publications provide systems that are targeted at human arguers in order to generate good arguments systematically. For example, some authors propose critical questions that a good interpretive argument must address [17,43,45]. These types of questions can be used to guide an LLM in producing high-quality arguments. The LLM is repeatedly asked to elaborate on critical aspects of its response, attempt to find weaknesses or omissions in its arguments, and iteratively improve those arguments as it follows the steps in the introspective pipeline. The full text of the introspective prompting pipeline is provided in Appendix A.5. The prompts used in this prompting style are significantly larger than the ones used in the simple prompting style. For this reason, the
For the few-shot learning version of this prompt, we used 2-shot learning. Similar to the simple prompting style, the number of exemplars was made to ensure the prompt fits in the context size of 4000, the context size of the largest models. We have manually curated 4 exemplars that span all 10 steps of this prompt design. No profession occurs more than once in this set of exemplars. Figure 1 shows an argument generated in favor of compliance using this prompt design. For each argument, we first excluded all exemplars that match the profession of the argument in question. From the set of the remaining exemplars, we randomly selected a subset of 2 arguments for use and presented them as part of the prompt in a random order. The exemplars selected for each argument generation are part of the dataset.
Summary of the models and prompts used to generate arguments in stage 3.
Summary of the models and prompts used to generate arguments in stage 3.
Those two prompt designs were chosen to help answer
At this point, we had 16 scenarios with 5 human arguments in favor of compliance and 5 human arguments in favor of non-compliance, as well as 10 machine arguments in favor of compliance and 10 machine arguments in favor of non-compliance for a total of 320 machine-generated arguments. All of the human arguments had 5 different annotations of their persuasiveness. Our goal was to evaluate the persuasiveness of the machine-generated arguments by collecting at least 5 different annotations for each of the machine-generated arguments. For this purpose, we created a survey using a format identical to the survey in Stage 2. Each question contained 5 arguments; therefore, we had double the number of questions at this stage compared to the previous one. Each scenario-stance pair had to be included twice with a different subset of five questions from the ten that were generated. We split the arguments based on their source deterministically, and hence, the Format 2 questions required participants to order arguments for one of the two available subsets consistently. We included the same number of questions in each survey as Stage 2, and therefore, we required (roughly) twice the number of participants to fill out the survey. Everything was identical to Stage 2 in terms of the surveys, except that the source of the arguments was machine-generated, which the participants were not made aware of as we did not make any claims about the source of the arguments in this stage or the previous one.
Using the same scoring scheme as the one in Stage 2, the average median rating for all machine-generated arguments is 3.63 with a standard deviation of 1.06. The item-weighted average is 3.45. Figure 8(b) shows the distribution of the median ratings for all machine arguments. These results indicate that human annotators believe that machine-generated arguments were consistently more persuasive than human-written arguments. Table 2 shows a detailed breakdown of all the experiments we carried out. In order to verify the statistical significance of those results, we conducted one-way ANOVA for all of the machine-generated arguments. We got an
Average median rating of each source of arguments from stages 2 and 3.
*Higher is better
Average median rating of each source of arguments from stages 2 and 3.
*Higher is better
Examining those results, we find that few-shot learning clearly outperforms the zero-shot learning prompts which matches our expectations. We also find that the
Average median order of each source of arguments from stage 3 (subset 1).
*Lower is better
Average median order of each source of arguments from stage 3 (subset 2).
At this stage, we had 16 scenarios with 5 human arguments and 10 machine arguments for each stance. All of those arguments had 5 annotations of their persuasiveness. Our goal at this stage was to test the human annotator’s ability to tell the difference between human and machine arguments. For this purpose, we created a survey with two question formats. In the first format, users were presented with a profession, a rule, a scenario, a stance, and an argument. They were asked to guess as to whether the argument was written by a human or generated by a machine. In the second format, we presented users with two arguments instead of one, informed them that one of those arguments was written by a human and the other was generated by a machine, and they had to guess which one was written by a human. Refer to Appendix A.1 for the question templates used in those surveys.
We refer to this as a Turing test-inspired variant, adapted specifically for interpretive arguments. As discussed earlier, the Turing test at the conceptual level is a test to evaluate a machine’s level of intelligence by assuming that if a machine could perform certain tasks in a way that is indistinguishable from humans performing the same task, then that machine can be reasonably said to have at least the same level of intelligence as humans. The original Turing test [38] allows humans to interact with the machine to stress test the machine’s ability to pass tailored tests to the satisfaction of the human testers. In our simplified version, such an interaction is absent, and we are simply asking human annotators to tell human and machine arguments apart.
.Results
Table 5 shows a detailed breakdown of all the human annotators’ accuracies on the Blind Turing test; if the supplied response was correct (ie. guessed as “Very likely [correct guess]” or “Somewhat likely [correct guess]”), the item was counted as correctly labeled, while incorrect or “Not sure” responses were counted as incorrectly labeled. The results also show that in the Blind Turing test, annotators correctly identified the human arguments only 52% of the time, which is basically no better than random chance. Responses were also scored as follows: “Very likely [correct guess]” (2), …, “Very likely [incorrect guess]” (−2), and the average scores are shown in the table as well. Table 6 shows the confusion matrix detailing how each source of arguments was classified based on a 3 categories classification of ‘Machine’, ‘Human’, and ‘Not sure’.
Blind Turing test results from stage 4(a).
Blind Turing test results from stage 4(a).
Blind Turing test confusion matrix of format 1 questions.
In order to verify the statistical significance of those results, we conducted two one-tailed one-sample
In the first one-tailed one-sample
The blind Turing test was designed to evaluate whether machine-generated arguments were similar enough to human arguments in order to substitute for human-provided arguments in applications where the source of the argument is irrelevant or of low importance. However, could this be a consequence of the human participants’ lack of expertise in the task? I.e., is it the case that humans could
This stage was carried out in an identical manner to the blind version of the test with one notable modification: We first provided users with 8 examples of human arguments and 8 examples of machine arguments as part of the survey instructions. Users were provided with a downloadable text file to refer to the provided examples when needed, rather than relying entirely on their memory. Everything else was identical to the previous stage.
.Results
Table 7 shows a detailed breakdown of all the human annotators’ accuracies on the Guided Turing test. The results also show that in the Guided Turing test, annotators correctly identified the human arguments
Guided Turing test results from stage 4(b).
Guided Turing test results from stage 4(b).
Guided Turing test confusion matrix of format 1 questions.
At this stage, we wanted to perform some additional validation on our results. One of the crucial questions we attempted to address at this stage is whether or not annotators had a bias favoring either the human or machine arguments as such. For this reason, we decided to run the survey where we tell the users that an argument was human- or machine-generated, and observe how consistent the results were between the direct comparisons performed in Stage 4 (second question in the second format) and the indirect comparisons performed in Stages 2 and 3. Refer to Appendix A.1 for the question template used in this survey.
.Results
For this stage, we found the median rating of all human–machine argument pairs included in the survey. Responses were scored as follows: “Machine argument is significantly more convincing” (2), …, “Human argument is significantly more convincing” (−2).
The average median for all the evaluated pairs is 0.80 with a standard deviation of 1.20. Table 9 shows a detailed breakdown of all the experiments. In order to verify the statistical significance of those results, we conducted one-way ANOVA for all of the machine-generated arguments. The sample size is 575, and we got an
Average median rating of each source of arguments when compared to a human argument at stage 5.
Average median rating of each source of arguments when compared to a human argument at stage 5.
GPT-4 [26] has been shown to outperform GPT-3 in virtually every measure available, and it is reasonable to assume that the ability to generate persuasive interpretive arguments is among those measures. Although GPT-4 was not available at the time of our experimentation, it would be worthwhile to see whether the lessons we learned above about which prompting styles generate the best interpretive arguments. We, therefore, report on a small experiment we carried out to do just that.
Using the same procedure in Stage 3, we generated 10 different arguments for each scenario using GPT-4 (specifically,
However, unlike the previous set of experiments, which were carried out on Amazon Mechanical Turk, we used the Prolific8 platform to carry out this experiment. Additionally, we imposed some restrictions on participants that were not enforced in the previous set of experiments. Namely:
Participants are from the US or UK Participants must have a graduate degree Participants are balanced based on gender Participants must have completed at least 50 tasks on the platform Participants must have an acceptance rate of 92% or better Summary of the models and prompts used to generate arguments.
After we carried out the experiment, we had 16 scenarios with 5 arguments in favor of compliance and 5 arguments in favor of non-compliance for a total of 160 arguments generated using GPT-4. All arguments were evaluated for their persuasiveness by collecting at least 3 different annotations for each of the arguments. The surveys were in a format identical to the surveys in Stages 2 and 3.
We report two sets of results. One using a filtered subset of annotations, and another using an unfiltered subset. The filtered subset uses the red flags system explained in Section 3.4, while disabling the
Using the same scoring scheme as the one in Stage 3, the average median for all GPT-4 arguments in the unfiltered set is 3.69 with a standard deviation of 0.82, and the item-weighted average is 3.51. For the filtered subset, the average median is 3.64 with a standard deviation of 0.98, and the item-weighted average is 3.63. Table 11 shows a detailed breakdown of all the experiments we carried out. In order to verify the statistical significance of those results, we conducted one-way ANOVA for all of the machine-generated arguments and got an
Average median rating of each source of arguments.
Average median rating of each source of arguments.
Average median order of each source of arguments.
Examining those results, we find that the introspective prompt design underperforms compared to the simpler prompting approach. The results do not show a statistically significant difference between few-shot and zero-shot prompts (see Appendix A.8). The filtered subset shows results consistent with the pattern that few-shot learning outperforms zero-shot learning. In contrast, the unfiltered subset shows the opposite pattern with very small differences between the means. Again, since those differences are not statistically significant, we refrain from making any conclusions. However, it seems that the filters have some influence on the results. The filtered data is more consistent with the results of the experimental protocol developed for Stage 3. It should be considered more reliable as it excludes submissions that may represent lower effort or lower quality submissions. Nonetheless, additional experimentation is warranted to find out if the chat versions of LLMs that are instruction-tuned or optimized using reinforcement learning from human feedback (RLHF) might affect the performance of the LLMs in the few-shot learning setting on this task or the prompting style used which has been developed with the non-chat LLMs in mind.
Note that the ratings obtained in this experiment should not be interpreted to be directly comparable to the results in Stage 3 due to the fact that this experiment has been conducted on a different platform using different participation criteria, which influences the characteristics of the population of the participants. Therefore, we do not use those results to compare the performance of GPT-4 to the performance of GPT-3 in the previous experiments.
We can now address our three primary research questions.
The results also show that using few-shot learning yields substantially better results compared to zero-shot learning for all the models tested. This result is what we expected and demonstrates the value the training exemplars bring to this task.
We also observe that the introspective prompt design underperforms compared to the simpler prompting approach. While we believe that an introspective approach similar to the one used in those experiments may be of value, those results indicate that creating a prompting pipeline that outperforms the simple prompting approach is a non-trivial task and requires an iterative approach of design, test, and analysis. Since the introspective approach used in this set of experiments was the first attempt at such a prompt design, and did not benefit from any substantial feedback or analysis, we argue that those results are only a measure of the specific template used in this experiment and should not be used to conclusively dismiss similar prompting styles that are developed with the benefit of an iterative approach that incorporates additional feedback and analysis.
All of those results are corroborated by the results from Stage 5, as summarized in Table 9, which produced consistent results using a different experimental setup.
.Conclusion
In this paper, we discussed the experimental design and the associated surveys and methods that were used to answer the research questions discussed earlier. Specifically, our goal was to develop experimental protocols to assess the persuasiveness of machine-generated arguments and to compare arguments generated using different SOTA LLMs to each other and human arguments. We also sought to find out if non-expert human annotators could distinguish human- and machine-generated arguments with and without prior exposure to such arguments. Our findings show that (non-expert) human annotators consistently rated machine-generated arguments as more convincing (when using LLMs beyond a certain size) than human arguments. The results also show that non-expert human annotators could not tell the human- and machine-generated arguments apart if they were not provided prior information about such arguments. This result indicates that machines are able to produce human-like text. The results also show that when provided with some examples of human- and machine-generated arguments, the annotators had a slightly improved ability to tell the two sources of arguments apart.
Those results are very encouraging for the future of automated interpretive argumentation as they demonstrate that the SOTA LLMs are capable of performing interpretive reasoning and interpretive argumentation with reasonable competence. Note that the comparisons carried out in those experiments were in comparison with non-expert human participants. A more thorough analysis of the available data is planned for future publication. Moreover, we recommend carrying out this experimental protocol while recruiting expert arguers for both the generation of human arguments and the evaluation of both the human and machine arguments. Insights from experts can definitely create a more accurate, reliable, and trustworthy assessment of the capabilities of current LLMs.
The use of this experimental protocol to compare the performance of different LLMs can be an essential tool to assess the capabilities of LLMs accurately. Interpretive argumentation is probably more challenging than many tasks that LLMs are tested on, making those assessments more meaningful for complex linguistic evaluation and making sure that newer LLMs are, in fact, improving in performance on some challenging tasks. Evaluating the performance of LLMs on the task of interpretive argumentation is not a trivial task. Automating such assessments is very difficult; hence, including human annotators is essential for this task. This experimental protocol provides clear guidance on how to carry out such evaluations.
However, we feel it is important to observe that the tools and prompting methods available for carrying out online crowdsourced data collections are evolving at such a rapid pace that the entire future of such work is facing a crisis. Particularly in text-heavy work such as the present argumentation study, it is difficult to see how sufficient quality control can be upheld in future studies if administered remotely. We make this observation here in the hope that it inspires future work into solving this serious problem.
The introspective approach requires more powerful LLMs to perform well. It is possible that LLMs need to cross some capability threshold in order for this approach to become viable. The introspective approach requires additional iterative improvements and redesign along with evaluations in order to find out what works and what does not. Since the introspective design relies on a pipeline consisting of a long sequence of steps, early reasoning defects in the output of an LLM, or the accumulation of errors over the consecutive steps, may negate any positive effects that the introspective design introduces. This intersects with the first point, that better LLMs are necessary, such that fewer reasoning defects are introduced during the execution of the pipeline.
Future work includes qualitative analysis to supplement and further explain the quantitative results. Some goals for the qualitative analysis include:
Identify some of the factors that affect the quality of the generated arguments. Analysis of argument quality measures (other than convincingness) for human- and machine-generated arguments, such as Cogency, Relevance, Clarity, and Defeasibility. Identify major factors leading to reduced performance when using introspective prompting.
