Abstract
The accommodation of service animals in microbiology teaching labs has been included in the 2019 update to the American Society of Microbiology (ASM) Guidelines for Safety in Microbiology Laboratories. This commentary includes a legal framework related to service animals, the elements included in the 2019 ASM update, and additional risk-assessment considerations for the biosafety professional.
The American Society for Microbiology (ASM) Guidelines for Biosafety in Teaching Laboratories 1 were updated at the end of 2019. This update included a consolidation of BSL-1 and BSL-2 practices, risk assessment in the teaching lab, and the inclusion of service animals in teaching labs. Here we discuss the major elements driving the discussion related to accommodating service animals in microbiology laboratories.
Regulatory Framework
In the United States, there are laws to ensure that individuals with disabilities have equal rights. The Americans with Disabilities Act (ADA) 42 USC 12101 (2015) 2 and the Rehabilitation Act (RA) Section 504 3 govern disability law in higher education in both public and private institutions.
RA Section 504 states that no qualified individual with a disability shall be excluded from, denied the benefits of, or be subject to discrimination under a program or activity that received federal funding. Requirements include reasonable accommodation for individuals with disability, program accessibility, effective communication for people with hearing impairment, and accessible new construction and alterations. 2 An accommodation is not reasonable and not required if it results in a fundamental alteration of programs, administrative burden, or the tolerance of unreasonable health or safety risks. 3 “Program or Activity” as defined in the RA Section 504 includes the operations of “(2)(A) a college, university, or other postsecondary institution, or a public system of higher education.”
The Fair Housing Act, as amended in 1988, prohibits housing discrimination on the basis of disability to ensure that people with disabilities are afforded equal housing opportunities. A landlord may be required to grant an exception to the “no pet” policy to an individual who is blind and needs a service dog. 4
In general, ADA Title II prohibits discrimination against individuals with disabilities (RA §504) in all state and local government programs and public transportation programs.
Definitions
A reasonable accommodation under the ADA may include when an individual in a classroom has an allergy to or a fear of dogs. An accommodation should be provided by assigning individuals (the allergy bearer and the owner of the animal), if possible, to different locations within the room or different rooms in the facility. 7
A reasonable accommodation would be denied when a service animal is requested to access operating rooms or burn units where the animal’s presence may compromise a sterile environment. 3
The service provided by the animal may be obvious, such as a dog guiding the blind, alerting the deaf, pulling a wheelchair, or assisting with a mobility impairment. These cases do not require further inquiry, and an accommodation is expected. However, if the disability is not an obvious health condition, then the 2-question standard applies. Service dogs may be trained to detect seizures, sense the onset of psychiatric disorders, remind to take medications, turn lights on, and keep disoriented individuals from danger, among other functions. The inquiry may not include documentation of the individual’s disability, certification, training, or licensure documentation for the service animal or ask demonstration of the animal’s ability to perform the task required by the individual. The scope of the query is always limited by the state’s specific ADA certification issued by the US Department of Justice. 10
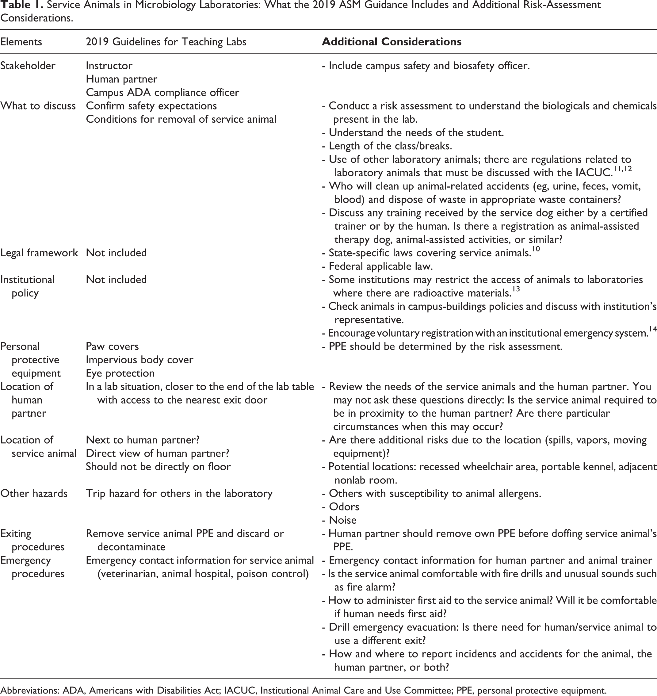
Table 1 presents the elements that need to be discussed and documented in writing before a human partner with a service animal can access a microbiology lab, what the 2019 guidelines include, and additional considerations that may improve the outcome of this accommodation.
Service Animals in Microbiology Laboratories: What the 2019 ASM Guidance Includes and Additional Risk-Assessment Considerations.
Abbreviations: ADA, Americans with Disabilities Act; IACUC, Institutional Animal Care and Use Committee; PPE, personal protective equipment.
The ultimate success of individuals with disabilities and their service animals participating in teaching labs safely depends on the following: commitment of all stakeholders to make it work flexibility on procedures required for the course creative thinking accurate risk assessment safety recommendations discussed with the university official in charge of the regulatory oversight for the ADA, RA, and FHA requirements. documentation of the individualized and interactive assessment that is expected to occur between the stakeholders to determine the accommodation/s; this review may be conducted as often as needed due to the evolution of symptoms of the human partner or the presence of other individuals with disabilities in the same location.
15
Footnotes
Authors’ Note
This manuscript has not been presented or published in another venue or source.
Declaration of Conflicting Interests
The authors declared no potential conflicts of interest with respect to the research, authorship, and/or publication of this article.
Funding
The authors received no financial support for the research, authorship, and/or publication of this article.
