Abstract
In 2021, China introduced the “double reduction” policy, imposing strict regulations on shadow education and mandating the widespread implementation of after-school programs (ASPs). Against this backdrop, this study examines the role of ASPs in China’s compulsory education system from an equity perspective. By integrating school resources and family background, the study establishes a theoretical framework for understanding the factors influencing educational equity. Building upon this framework, it compares ASPs with shadow education and constructs a conceptual roadmap illustrating the impact mechanisms of ASPs on educational equity. To empirically test this framework, the study employs a Structural Equation Modeling (SEM) approach, analyzing questionnaire data from 1,458 primary and secondary school students in Shenzhen, China. The findings reveal that ASPs partially mediate the relationship between family cultural capital and students’ educational outcomes. Additionally, school resources play a significant role in enhancing student participation in ASPs. Notably, the educational outcomes of students engaged in ASPs are more strongly influenced by school-related factors. Compared to shadow education, school-organized and publicly funded ASPs have demonstrated greater effectiveness in promoting social equity. This study provides empirical evidence supporting the role of ASPs in replacing shadow education as a means to enhance educational equity. By verifying their effectiveness and specific impact pathways, the research offers valuable insights into the development of ASPs in China. Furthermore, it presents practical recommendations for global policymakers and educators committed to fostering educational equity.
Introduction
Education is a crucial driver of intergenerational mobility and a primary mechanism for the reproduction of social class (Belsky et al., 2018). To enhance educational competitiveness, an increasing number of families are extending their investments beyond traditional classroom learning to include out-of-school tutoring, commonly known in academic discourse as “shadow education” (Marimuthu et al., 1991). Shadow education is closely linked to social class, family capital, and educational outcomes. Privileged social groups often utilize shadow education to maintain and reinforce social inequality, ultimately undermining educational equity (Hajar & Karakus, 2022; Xue, 2018).
The prevalence of shadow education has become a significant policy concern in East Asia, particularly in South Korea, where approximately 74.5% of K-12 students participated in shadow education in 2019 (Korean Statistical Information Service [KOSIS], 2020). According to data from the Organization for Economic Cooperation and Development (OECD), South Korea allocates the highest proportion of GDP to shadow education among Asian OECD member countries (OECD, 2020). However, excessive investment in private education can deepen educational inequality (Jung, 2022) and reduce financial returns (J. S. Han & Lee, 2020). The pursuit of high-paying jobs often leads to over-education, where individuals acquire more education than is economically justified by job market premiums. Additionally, as wage inequality widens, competition for education intensifies, further amplifying disparities rooted in family background (Chung & Lee, 2017).
In recent years, shadow education in China’s compulsory education system has undergone significant capitalization and expansion. By 2019, more than 20 Chinese education and training companies were publicly listed on stock markets in mainland China, Hong Kong, and the United States (Fiscal First-Quarter, 2019). As a result, shadow education has transformed into a large-scale industry, providing educational services to millions of students and becoming a crucial component of the education sector (Feng, 2021). This rapid growth has sparked considerable concern and debate among scholars.
Xue (2015) applied a logistic regression model to analyze students’ participation in extracurricular tutoring during the compulsory education stage, highlighting shadow education’s role in reinforcing urban-rural and intergenerational class disparities while undermining government efforts to implement equitable education policies. Similarly, Fang and Huang (2020), using data from the China Education Tracking Survey and a generalized quantile regression framework, demonstrated how the escalating “arms race” in off-campus training expenditures exacerbates inequalities in educational outcomes. Building on Bourdieu’s concept of capital, Zhang et al. (2021) employed a Tobit regression model to investigate the relationship between family capital, participation in off-campus training, and associated expenses. Their findings reveal that family capital plays a decisive role in accessing off-campus training resources, thereby creating new disparities in educational opportunities.
To promote educational equity, reduce the academic burden on primary and secondary school students, and alleviate financial pressures on families, the General Office of the Central Committee of the Communist Party of China and the General Office of the State Council issued the Opinions on Further Reducing the Homework Burden and Off-Campus Training Burden of Students in Compulsory Education in 2021, commonly known as the “double reduction” policy. Under this policy, primary and secondary schools in China are required to offer after-school programs (ASPs) either free of charge or at a cost-recovery rate, adhering to non-profit principles. At the same time, the government has implemented stringent regulations on shadow education, prohibiting off-campus training institutions from providing subject-based tutoring during national holidays, weekends, and school vacations (The Xinhua News Agency, 2021).
The “double reduction” policy aims to reinforce the primary role of school-based education, enhance the governance of off-campus training institutions, and support the holistic development and well-being of students. Following its implementation, major domestic education and training companies, such as New Oriental and TAL, faced significant financial challenges, including cash flow constraints and the need for extensive business restructuring to adapt to the evolving educational landscape (S. Yu et al., 2022). Meanwhile, ASPs have seen widespread adoption, with approximately 91.9% of students participating in these programs (Lin, 2022). Given this shift, it can be argued that ASPs have, to some extent, replaced traditional shadow education practices.
Given this context, this study seeks to address two key questions: (1) Can after-school programs (ASPs) mitigate the educational inequalities caused by shadow education and promote educational equity? (2) If so, what specific pathways and mechanisms drive this impact? To answer these questions, this study utilizes survey data collected in 2022 from primary and secondary schools in Shenzhen, China. By examining the influence of school resources and family background on social reproduction, it investigates the value of ASP initiatives and empirically assesses their role in advancing educational equity.
Theoretical Foundations
This section first examines the mechanisms influencing educational equity and establishes the fundamental theoretical framework of the study. It then integrates ASPs into this framework to develop the final theoretical foundation.
The Impact Mechanism of Educational Equity
This subsection explores the intricate relationships among family background, school resources, educational outcomes, and educational equity. First, it analyzes the connection between educational outcomes and educational equity. Next, it examines how family background shapes access to education and contributes to disparities in equity. This is followed by an investigation into the role of school resources in mitigating or exacerbating these inequalities. Finally, these elements are synthesized to construct the study’s foundational theoretical framework.
The Relationship Between Educational Outcomes and Educational Equity
“Educational outcomes” and “educational equity” are closely related yet distinct concepts in the field of education. Their relationship raises a critical question: Is the evaluation and distribution of education fair and accessible to all members of society?
The Organization for Economic Co-operation and Development (OECD) explored this relationship in its 2018 report on equity in education, emphasizing that all schools and education systems should offer equal learning opportunities to all students (OECD, 2018). According to this perspective, students from diverse socioeconomic backgrounds, genders, and family or immigration statuses should achieve comparable educational outcomes in key cognitive domains such as reading, mathematics, and science, as well as exhibit similar levels of social and emotional well-being (OECD, 2018).
In essence, educational equity is achieved when educational outcomes become more equalized. Conversely, when disparities in achievement persist or widen, educational equity is compromised.
The Influence of Family Background on Educational Outcomes and Equity
The British Plowden Report (Blackstone, 1967) argued that family background is a more significant predictor of differences in students’ academic performance than the school itself. The “status acquisition model,” introduced by Blau and Duncan (1967), emphasizes the critical role of family capital in shaping students’ educational outcomes. Subsequent research explored disparities in educational outcomes among students from various social strata.
Building on this foundation, Boudon (1976) introduced the concept of the “Primary Effect,” which highlights the role of resource acquisition in shaping students’ educational trajectories. Raftery and Hout (1993) proposed the Maximally Maintained Inequality (MMI) theory, while Lucas (2001) developed the Effectively Maintained Inequality (EMI) theory. Both theories recognize that students from privileged social classes are granted preferential access to higher-quality educational opportunities, with resources tailored to their specific interests and needs. In contrast, students from disadvantaged backgrounds are left with fewer educational opportunities.
The key distinction between the MMI and EMI theories lies in their predictions regarding the impact of compulsory education. The MMI theory suggests that the gap between social classes narrows as compulsory education becomes more widespread. On the other hand, the EMI theory posits that the post-compulsory education era intensifies competition focused on the quality of education, thereby exacerbating class-based disparities. These theories further highlight the structural inequalities in the provision of educational resources across different social classes.
In summary, research on educational inequality has shifted focus from institutional changes and individual roles to the significant influence of family background. The connection between family background and educational outcomes has become a central theme in the study of educational inequality (Husen, 1975). A growing body of empirical research (An & Western, 2019; Bourdieu & Passeron, 1977; Forster & van de Werfhorst, 2020) supports the view that families with higher social, cultural, economic, and political capital provide their children with superior educational opportunities. Children’s academic achievements are closely linked to their family’s socioeconomic status, which in turn shapes their learning behaviors and creates distinct educational environments (The National Center for Education Statistics, 2018). This influence extends to academic performance in areas such as reading and science (Hung et al., 2020; Nganga et al., 2019), with significant long-term implications. As a result, family background contributes to both the quantity and quality of education, hindering the achievement of educational equity.
The Impact of School Resources on Educational Outcomes and Equity
Dewey (1983) highlighted the crucial role of schools in providing equal opportunities to students through effective teaching practices. Similarly, Coleman (1996) emphasized that schools play a key role in fostering an environment of equality and peer competition. The educational production function, as proposed by Greenwald et al. (1996), illustrates how various school investments—such as adequate resources and reasonable expenditures—contribute to enhancing student achievement. Specifically, schools benefit from material resources like funding and infrastructure (Karl & Eckland, 1977), human capital such as qualified teachers (Aaronson et al., 2007), and the influence of peers (Russell & Gregory, 2005). These factors collectively shape students’ educational outcomes.
The concept of educational equity has evolved over time. It has shifted from a focus on equal educational opportunities to a focus on equal opportunities for educational outcomes. Equality in academic achievement does not mean that all students attain the same academic level. Instead, it means that every student is given the opportunity to realize their full potential, which is supported by equitable input elements such as teachers, facilities, and other educational resources. This ensures a fair educational process and provides opportunities for comprehensive personal development (John, 1998). As a result, active interventions by schools can help address inequalities in educational opportunities that arise from broader societal factors.
Empirical research consistently demonstrates positive associations between various school attributes—such as academic activities, teacher-student ratios (Oyshi et al., 2021), and factors like the learning environment and teaching methods (Chakraborty & Jayaraman, 2019; Wang et al., 2023)—and student performance in subjects like mathematics, reading, and science. Schools equipped with sufficient teachers, facilities, curriculum resources, and a supportive environment contribute to improved student learning outcomes, helping to reduce educational disparities among students from different socioeconomic backgrounds (Ibáñez et al., 2020). Therefore, school resources play a crucial role in equalizing both the quantity and quality of education, ultimately promoting educational equity.
Figure 1 illustrates the basic theoretical framework upon which this research is based. Both school resource investments and family background can enhance students’ academic achievement (+). However, the educational resources and opportunities provided by schools are public and equitable, leading to a reduction in academic achievement gaps and promoting educational equity (+). In contrast, family background can create disparities in educational resources and opportunities, leading to an unequal distribution of high-quality resources and widening achievement gaps, thereby posing a significant challenge to educational equity (−).

The impact mechanism of educational equity.
The Impact Mechanism of ASPs on Educational Equity
Given that After-School Programs (ASPs), introduced under China’s “double reduction” policy, are closely linked to shadow education, it is essential to analyze the role of shadow education in order to understand how ASPs can serve as a fair alternative.
The Role of Shadow Education in the Impact Mechanism of Educational Equity
Extracurricular tutoring, commonly referred to as shadow education, has long posed a challenge to public education systems across various countries. In general, wealthier families invest more resources in shadow education, and the socioeconomic factors within these families—such as parents’ occupations and education levels—are closely linked to their children’s participation in these programs (Bray, 1999). As a result, shadow education amplifies the impact of family capital on educational outcomes, potentially acting as a new intermediary in the intergenerational transmission of family capital (Xue, 2015).
In public perception, whether regarding formal school education or non-school education such as family and social education, investments in education are seen as yielding future value and long-term returns. Previous research has predominantly focused on the influence of family background on the equity of formal school education (Bray & Kwok, 2003). However, non-school education, particularly shadow education, has emerged as a key competitive tool for privileged families seeking to gain an advantage in the educational race (Jansen et al., 2023). Furthermore, students’ access to shadow education and its effects directly influences the fairness of educational opportunities and, in turn, educational outcomes (Zhang et al., 2021).
According to the Effectively Maintained Inequality (EMI) theory (Lucas, 2001), as compulsory education becomes more widespread, the focus of educational competition among families from different social strata has shifted from formal school education to shadow education. Within this realm, family background plays a crucial role in reinforcing class distinctions, enhancing the educational acquisition and competitive advantages of children from privileged backgrounds through intergenerational transmission, while creating barriers for those from disadvantaged backgrounds (Tsiplakides, 2018). This results in disparities in future educational and employment opportunities based on varying levels of family capital. Social stratification (Xue, 2018) refers to the process by which socioeconomic advantages within families are converted into future socioeconomic advantages for their children. This not only intensifies academic competition and drains substantial family and societal resources but also undermines government policies aimed at promoting educational equity, thereby exacerbating social inequalities.
In summary, Figure 2 presents the logical framework illustrating the impact of shadow education on social equity.

The role of shadow education on the impact mechanism of educational equity.
The Role of Shadow Education in the Impact Mechanism of Educational Equity
Both in-school ASPs and out-of-school shadow education operate outside the confines of the official school curriculum, offering supplementary educational services that complement formal education. However, there are key differences between the two. Shadow education is profit-driven and typically provided by private individuals or businesses (The European Foundation for the Improvement of Living and Working Conditions, 2020). It exists outside the public education system and is sustained by tuition fees paid by families. In this context, family capital plays a central role in determining access to these services.
In contrast, ASPs are considered “quasi-public goods” and are funded by government investments in education, thereby remaining part of the formal school system (Framework, 2000). ASPs contribute to the development and well-being of students by providing important opportunities outside regular school hours (Cureton, 2023). To address the challenges posed by shadow education, many national governments, such as South Korea, have adopted ASPs as a key strategy (C. J. Lee et al., 2010).
In China, the implementation of ASPs involves three primary components: accessibility for all primary and secondary school students, alignment with the practical needs of both parents and students, and promotion of the overall healthy growth of students (You & Zhou, 2020). These programs have several distinctive features: they are integrated into the school system, offer a variety of service content, provide flexible scheduling, and adhere to inclusive principles while maintaining low service fees (You & Zhou, 2020). Consequently, it can be argued that school-led ASPs have, to some extent, replaced shadow education by preserving the positive aspects of school-based educational supplementation, while reducing the resource-based exclusivity that often benefits students from privileged backgrounds. Based on these principles, a theoretical framework has been developed, as shown in Figure 3.

The role of ASPs on the impact mechanism of educational equity.
Research Hypotheses
Family Background: Family Cultural Capital
Over the past 40 years, extensive research has been conducted on the relationship between family cultural capital and children’s educational development. DiMaggio (1982), drawing from Weber’s concepts of status groups and status culture, as well as Bourdieu’s theory of cultural capital, found that family cultural capital significantly influences students’ academic performance in high school. In a comprehensive analysis, Xiao (2016) used data from a survey on the living conditions of Shanghai citizens, conducted between May and October 2008. This study revealed that family cultural capital directly affects educational access, even when controlling for other family background factors. A meta-analysis by Tan et al. (2019), which included 105 studies published between 2000 and 2017, further confirmed that family cultural capital, particularly variables such as parents’ education levels and educational expectations, positively impacts students’ academic achievement. Notably, the relationship between these cultural capital variables and academic outcomes differs across various educational stages. Additionally, J. Wang and Wu (2023), analyzing multilevel datasets, PISA 2018 data, and country indices from 32 OECD nations, found a strong positive correlation between cultural capital and academic success.
Building on these findings, we propose the first research hypothesis:
H1: Family cultural capital significantly and positively impacts educational outcomes.
In research examining the influence of family cultural capital on extracurricular tutoring, several scholars have identified a significant positive effect on both the number of students participating in extracurricular activities and the associated costs (Zhang et al., 2021). School-based ASPs can be seen as a substitute for out-of-school shadow education. Participation in ASPs helps reduce the financial burden of extracurricular tutoring on families (Wan & Weerasena, 2017). This suggests that, to some extent, families have redirected their investments toward ASPs. A study by Zhang et al. (2021), using survey data from 32 counties across six provinces in eastern, central, and western China, found that primary school students from families with stronger educational backgrounds and higher expectations were more likely to participate in ASPs. Similarly, junior high school students from families with higher educational aspirations were more likely to enroll in these programs. Notably, students from different family backgrounds demonstrate varying performance levels (Philp & Gill, 2020; Yao et al., 2023). ASPs tend to help students from privileged families prepare for college and future job prospects, while for students from disadvantaged backgrounds, ASPs may serve primarily as childcare or extended school education. Based on the findings discussed, it can be inferred that students with higher family cultural capital are more motivated to participate in ASPs and are more likely to invest in them. Therefore, we propose the second research hypothesis:
H2: Family cultural capital significantly and positively impacts participation in ASPs.
School Resources: School Input Into Construction
Unlike shadow education, participation in ASPs is not solely influenced by family background. The resources invested by schools can also play a significant role in determining the quality of ASPs. High-quality ASPs are essential for attracting student participation (Y. Yu & Pan, 2022). Scholars have identified several indicators for assessing the quality of ASPs, including structural elements such as the content offered, funding sources, safety measures, facility quality, and staff qualifications (Frazier et al., 2019). Process-related factors, such as the level of support for teacher-student interactions, are also crucial (Kuperminc et al., 2019). These factors collectively shape students’ experiences with ASPs, and schools are primarily responsible for providing these elements during program implementation. The guiding principles adopted by primary and secondary schools significantly influence the effectiveness of ASPs (W. C. Zhang, 2021). When referring to teachers involved in ASPs, this typically means on-campus educators. In addition to the advantages of time and space, on-campus teachers benefit from managerial advantages, as they are familiar with the students at their school (You & Zhou, 2020).
The research mentioned highlights the strong connection between students’ willingness to participate in ASPs and the quality of school resources dedicated to these programs. Therefore, we propose the third research hypothesis:
H3: School input into construction significantly and positively impacts participation in ASPs.
Participation in ASPs
After-school education has garnered significant attention from experts, scholars, and professional organizations, including the Afterschool Alliance, the National Institute on Out-of-School Time, and the National Center for Quality Afterschool. Research and evaluations of service project implementations have demonstrated that ASPs can positively impact students’ cognitive abilities, social-emotional skills, academic performance, and overall physical and mental well-being. This impact is particularly evident among children from low-income families, those facing academic challenges, at-risk students, and immigrant children, supporting their comprehensive development (J. Lee et al., 2020). High-quality ASPs have been shown to not only enhance students’ academic performance but also help maintain existing academic standards (L. Li et al., 2022; Vandell et al., 2020). Additionally, completing homework with higher quality and cultivating good study habits contribute to the development of stronger teacher-student relationships. Non-academic activities that align with students’ interests also provide opportunities for social networking, fostering positive peer relationships (Allen et al., 2019). Moreover, extracurricular activities have been found to boost students’ self-confidence, self-esteem, positive attitudes toward school, and prosocial behavior (Lester et al., 2020).
Based on this review, the researcher proposes that participation in ASPs has a significant impact on students’ educational outcomes. Therefore, the fourth research hypothesis is as follows:
H4: Participation in ASPs significantly and positively impacts educational outcomes.
The Conceptual Roadmap of ASPs
Xue and Li (2016) utilized the Structural Equation Model (SEM) to analyze the mediating effect of shadow education on the learning processes of primary and secondary school students, as influenced by family capital. Their study aimed to uncover the mechanisms of social reproduction within shadow education, examine its impact on social mobility, and highlight the challenges shadow education faces in providing equitable and consistent influence on compulsory education. Building on their concept map of the role of shadow education and integrating insights from existing research, this study presents a conceptual roadmap that outlines the role path of ASPs, as illustrated in Figure 4.

The conceptual roadmap of after-school programs.
Research Design
This study employed a self-report questionnaire survey. To ensure the rigor of this approach, we meticulously managed several key aspects of the research process, including: (1) justifying the selection of analysis methods, (2) ensuring the age appropriateness of the participant sample, (3) confirming the reliability of data collection procedures, (4) maintaining the scientific integrity of data processing, (5) ensuring the balance of the data sample, and (6) verifying the reliability of the variable measurements.
Research Methodology
This study adopts a quantitative research approach, specifically structural equation modeling (SEM), to address the research questions. Quantitative research enables the objective measurement and analysis of variables, providing clear, numerical data that quantifies the impact of ASPs on educational outcomes and equity. This approach not only enhances the clarity of evidence but also strengthens the generalizability of the findings (Polit & Beck, 2010). By using a large sample size and standardized data collection methods, the results of this study can be more easily applied to other similar contexts within China or in countries with comparable educational systems.
Quantitative methods, particularly SEM, are valuable tools for testing and validating theories. SEM allows for the examination of relationships between observed and latent variables, helping to identify both direct and indirect effects (Mueller & Hancock, 2018). This capability is essential for understanding the nuanced ways in which ASPs influence educational equity. Given that this study seeks to validate the theoretical framework and conceptual roadmap of ASPs, SEM is an ideal choice.
Study Sample
To enhance the applicability and reliability of the research results, this study aims to provide persuasive and instructive conclusions that can serve as valuable references for schools and educational institutions. The research design includes a diverse range of schools in Shenzhen, representing various educational settings: a private primary school, a public primary school, an international primary school, a private junior high school, a public junior high school, and an international junior high school.
All of these schools are part of the same educational group, which helps control for factors such as management systems and teaching philosophies that might influence the research outcomes. This approach enhances the internal validity of the study and supports the reliability of its conclusions. Since the study’s primary focus is on examining the impact of school input, family cultural capital, and participation in after-school programs on educational outcomes, differences in school types are not the central concern. These differences will be explored in more detail in future studies, given the space limitations in this one.
The study excludes students from grades 1 to 3 of primary school for two main reasons. First, students in grades 4 to 9 are generally considered to have the cognitive ability to independently comprehend and complete the survey questionnaire. Second, international standards, such as the OECD SSES 2023 China survey data, suggest that students surveyed should be at least 10 years old (J. Zhang et al., 2024), which corresponds to the age of fourth-grade students. Thus, the sample selection in this study aligns with these international guidelines.
Data Acquisition
This study gathered sample data and conducted an empirical analysis through a questionnaire survey (Questionnaire for After-School Programs in Primary and Secondary Schools; see Appendix A for specific scales). The questionnaire was designed to be non-invasive, ensuring no physical or psychological interventions that could cause harm to participants. In compliance with Chinese laws, regulations, and institutional requirements, this study did not require approval from an ethics committee.
To maintain participant anonymity, no identifiable information was recorded in the survey responses, eliminating the possibility of tracing data back to individual participants. All data were securely stored, with access restricted to the research team to minimize the risk of data breaches. Furthermore, prior to administration, the questionnaire underwent a comprehensive review and proofreading process conducted by the principals of the participating schools. This review ensured that the survey was age-appropriate, culturally sensitive, and free from potentially distressing content. Explicit permission was obtained from the school principals, securing institutional support for the study.
The survey was conducted using the online platform “Questionnaire Star.” To address potential technical limitations, students completed the questionnaire in their school’s computer laboratory, ensuring that all participants had equal access to the survey. Informed consent was obtained through a written form at the beginning of the questionnaire. The form included explicit permission from the school principal to ensure institutional backing for the research. Participants were informed of their right to skip any questions they did not wish to answer or to withdraw from the study at any time without facing any negative consequences. By completing the survey, participants indicated their consent, thus confirming that informed consent was obtained from all research participants.
This study focuses on primary and secondary schools in Shenzhen, where each institution offers a free 2-hr ASPs funded by either the government or the school. These ASPs encompass various courses, including self-learning, school-based courses, and social practice. Shenzhen was chosen for its relevance in studying the effectiveness of ASPs in reducing social reproduction, given the Chinese government’s strict regulations on shadow education. As a rapidly developing city, Shenzhen offers a representative context for examining policies related to ASPs and their impact on educational equity.
The data collection methods used in this study—self-reporting, anonymity, confidentiality, and voluntary participation—ensured that participants were not exposed to harm. In addition, this study utilized Structural Equation Modeling (SEM) as a quantitative research method, and the questionnaire data were analyzed using statistical measures, such as means. The statistical results did not allow for the identification or inference of individual participants’ identities, further minimizing any potential risks. Ethically, this study offers several benefits to student participants. First, participating in the study allows students to increase their self-awareness and gain a deeper understanding of educational equity and personal development. Additionally, the study provides valuable data and insights to schools and families, aiding the improvement of extracurricular programs and supporting the long-term development of students.
Data Processing
Online questionnaires present several challenges, including a lack of supervision, technical issues, respondent distractions, and difficulties in understanding and interpreting questions. These factors introduce greater risks to the research compared to offline questionnaires (Kongsved et al., 2007). To mitigate these challenges and ensure data quality, this study employs the following criteria: (1) Response Time: A minimum response time of 2 s is required for each question. Responses falling below this threshold are considered indicative of inattention and are categorized as low-quality data, which are subsequently excluded. (2) Consistency of Answers: Responses to key sections of the questionnaire are reviewed for consistency. Responses that are excessively similar or demonstrate insufficient engagement are removed from the dataset.
In total, 1,719 questionnaires were initially collected. Following data cleaning, 1,458 valid responses were retained, resulting in a questionnaire validity rate of 84.82%.
Data Description
A descriptive analysis was conducted on the 1,458 valid samples, and the results are presented in Table 1. The analysis reveals notable diversity in terms of gender, grade, and school type among the respondents. Additionally, the even distribution of the sample size further supports the representativeness of the data collected in this survey.
Descriptive Analysis of Sample Data.
Variable Measurement
The self-report questionnaire employed in this study was developed based on existing literature and research, particularly drawing from effectiveness evaluation tools for ASPs and standardized questionnaires used in educational equity studies. To ensure the relevance and appropriateness of the questions, we sought feedback from education experts, who conducted a preliminary review. Based on their suggestions, we made revisions and adjustments to enhance the clarity and accuracy of some of the questions.
The Preliminary Investigation
Prior to the official implementation of the questionnaire, a small-scale pre-survey was conducted at each participating school using the Questionnaire Star online platform. The pre-survey collected 142 valid responses, with 54.23% from primary school students and 45.77% from junior high school students, ensuring a balanced data distribution.
Based on the feedback gathered during the pre-survey, several revisions were made to improve the clarity and conciseness of the questionnaire. This included rewording unclear questions for better understanding and removing redundant items to shorten the survey.
Statistical analysis indicated satisfactory internal consistency, with a Cronbach’s α value of .810 and a KMO value of 0.765, both of which point to high reliability and validity. The reliability and validity of each measurement variable were also assessed, yielding the following results: Family cultural capital (KMO = 0.712, Cronbach’s α = .655); School input into construction (KMO = 0.728, Cronbach’s α = .751); Participation in ASPs (KMO = 0.832, Cronbach’s α = .897); Educational outcomes (KMO = 0.918, Cronbach’s α = .951). These revisions and evaluations confirmed that the questionnaire was both reliable and valid, providing a solid foundation for the formal data collection phase.
The Official Survey
The statistical analysis of the formal survey demonstrated excellent internal consistency, with a Cronbach’s α value of .953 and a KMO value of 0.887. These results indicate that the questionnaire possesses high reliability and validity.
Family Cultural Capital
The Family Cultural Capital Scale used in this study (see Appendix A Table A1) is adapted from Qiu and Xiao’s (2011)“Parent Cultural Capital Scale” and “Children’s Cultural Capital Scale.” It consists of 13 items, categorized into three components: investment in cultural education (6 items), parents’ cultural background (3 items), and children’s embodied cultural capital (4 items).
Factor analysis was conducted using SPSS 26.0, employing the principal axis factoring method with optimal oblique rotation (kappa = 4). The KMO value was 0.767, and Bartlett’s test of sphericity was significant. The scale exhibited acceptable internal consistency, with a Cronbach’s alpha coefficient of .678. Confirmatory factor analysis, performed using AMOS 24.0, confirmed good validity (χ2/
School Resources: School Input Into Construction
Based on the concepts and values of ASP course construction outlined in the “Double Reduction” policy (Q. X. Yang & Wu, 2021; B. Zhang & Cheng, 2021) and the “After-School Programs Questionnaire for Primary and Secondary Schools” developed by Wang et al. (2023), this study developed the “School Input into Construction Scale” (see Appendix A Table A2). This scale measures students’ perceptions of their school’s efforts in developing ASPs and serves as the primary dependent variable in this study.
Reliability and validity were assessed using both Exploratory Factor Analysis (EFA) and Confirmatory Factor Analysis (CFA). EFA, conducted with SPSS 26.0 and the principal axis factoring method with optimal oblique rotation (kappa = 4), resulted in a KMO value of 0.844, with Bartlett’s test of sphericity showing significant results. The scale demonstrated strong reliability, with a Cronbach’s α of .915. CFA, performed with AMOS 24.0, confirmed good validity (χ2/
Participation in ASPs
Student participation in ASPs serves as the mediating variable in this study. Given the widespread promotion of ASPs and the experimental approach of parents, nearly all students engage in ASPs, making direct measurement of participation impractical. Therefore, perceived satisfaction with ASP participation is used as a proxy for engagement. The “ASPs Participation Scale” (see Appendix A Table A3) was developed based on the conceptual framework of ASP course construction within the “Double Reduction” initiative (Q. X. Yang & Wu, 2021; B. Zhang & Cheng, 2021).
SPSS 26.0 was used for statistical analysis, employing the principal axis decomposition method with optimal oblique rotation (kappa = 4). The KMO value was 0.855, and Bartlett’s test of sphericity was significant. The scale demonstrated strong reliability, with a Cronbach’s α value of .937. Confirmatory factor analysis, using AMOS 24.0, affirmed the scale’s good validity (χ2/
Educational Outcomes
The Educational Outcomes Scale evaluates student development resulting from participation in ASPs. Following Epstein’s framework, which includes learning progress, behavioral changes, and improvements in the learning environment (Epstein et al., 2018), this study adapted the educational outcomes scale from Diao’s (2021)“Family Investment in Off-Campus Education and Behaviour Effect Scale.” The scale (Appendix A Table A4) includes categories such as academic development (7 items), interests and talents (6 items), parent-child relationship (3 items), and family burden (6 items).
SPSS 26.0 was used for factor analysis with the principal axis factoring method and optimal oblique rotation (kappa = 4). The KMO value was 0.973, and Bartlett’s test of sphericity was significant. The scale exhibited strong internal consistency, with a Cronbach’s α coefficient of 0.977. Confirmatory factor analysis, conducted with AMOS 24.0, confirmed good validity (χ2/
Results
Descriptive Statistics and Correlation Analysis
Table 2 presents the descriptive statistics and correlation analysis for the key variables in this study. This includes the mean, standard deviation, and correlation coefficients. Notably, family cultural capital, participation in ASPs, school input into construction, and educational outcomes all show positive correlations. These results are consistent with the study’s expectations and provide initial support for the proposed research hypotheses.
Mean, Standard Deviation and Correlation Coefficients.
Measurement Model
A confirmatory factor analysis (CFA) was conducted to evaluate the fitness, validity, and reliability of the model’s constructs. The CFA was performed using AMOS 24.0 software. The results showed a good model fit (χ2 = 3879.827,
Common Method Variance
Common method bias (CMB) refers to the potential influence of the data collection instrument on responses, rather than the actual constructs being measured. Given that this study’s data were collected through an online survey, Batista-Foguet et al. (2014) highlighted the possibility of CMB. In structural equation modeling (SEM) analysis, an accurate model is developed to explain the observed data. If CMB is present but not accounted for, it can impact the model’s explanatory power, as the SEM may mistakenly interpret the common method variance as the true relationship between variables (Podsakoff et al., 2003).
In SEM analysis, the measurement model is established first, followed by the structural model. The measurement model assesses the relationship between observed variables and their underlying constructs, while the structural model evaluates the relationships between these constructs. Since CMB involves controlling for bias between observed variables, it is typically addressed after the measurement model has been established.
This study uses Harman’s single-factor test to evaluate the presence of common method bias (Podsakoff & Organ, 1986). Exploratory factor analysis was conducted on all measurement items related to the variables in the model, employing principal component analysis without rotation. The first factor explained 41.625% of the variance, which is below the 50% threshold, indicating that CMB is not a significant issue (Malhotra et al., 2006).
To further assess CMB, confirmatory factor analysis was performed. The resulting model fit indices were less than ideal (χ2/
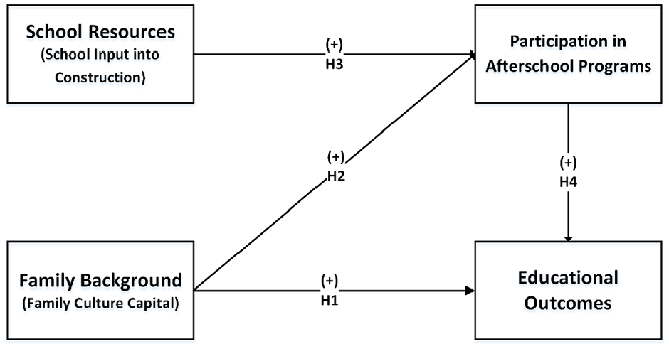
Question 1: the Impact of ASPs on Educational Equity
Based on the theoretical framework illustrating the impact of ASPs on educational equity, this article establishes a structural equation model with school input into construction and family cultural capital as independent variables, participation in ASPs as an intermediary variable, and educational outcomes as the dependent variable.
The model fit indices are as follows: χ2/
The Adaptation Results of the SEM Model.
The construction of the structural model and its underlying assumptions are deemed ideal, confirming that the proposed model—outlining the influences of family and school on educational outcomes—is supported by solid theoretical foundations. Overall, the empirical evidence strongly supports the hypothesized conceptual model illustrating the relationship between ASPs and educational equity.
Table 4 presents the standardized regression path coefficients derived from the model. All path coefficients in the model pass the significance level tests. According to the joint significance test, school input into construction significantly and positively predicts participation in ASPs (β = .917,
The Path Test of the SEM Model.
The direct path from family cultural capital to educational outcomes is also significant (β = .215,
In summary, the conceptual model developed in this study, grounded in the theoretical framework, successfully passed both the path test and the model fit test. This confirms that the educational equity framework established here is applicable to ASPs learning in primary and secondary schools. Furthermore, the findings highlight that both home and school environments during ASPs learning play a significant role in promoting the equitable development of education (Figure 5).

The SEM model of participation in ASPs.
Question 2: The Specific Impact Mechanism of ASPs on Educational Equity
This study uses the Bootstrap method to test and analyze the mediation effect of the school and family environments on educational outcomes within the SEM model. The results of this test provide a detailed assessment of the specific impact mechanism through which ASPs influence educational equity. While the path analysis highlighted the impact of school input and family cultural capital on educational outcomes, as well as the mediating role of participation, applying the Bootstrap method offers additional statistical evidence to strengthen these findings.
The Bootstrap method calculates the standard error and confidence interval of the mediation effect, allowing for a more precise evaluation of its significance. It also enhances the credibility of the research, as it does not require assumptions of normality or large sample sizes. This method is more efficient than traditional mediation techniques, such as stepwise regression or the Sobel test, ensuring greater accuracy and scientific rigor. Additionally, by generating a large number of samples through repeated sampling, the Bootstrap method can more reliably estimate the distribution of parameters, thus improving the robustness of the results.
In this study, 800 individuals were repeatedly sampled at a 90% confidence interval. The analysis results, shown in Table 5, indicate a significant mediation effect. Specifically, the point estimate for the total family effect is 0.192, with a bias-corrected confidence interval of (0.132, 0.264). The exclusion of 0 from this interval confirms the significance of the mediation effect. Similarly, the point estimate for the total school effect is 0.549, with a bias-corrected confidence interval of (0.511, 0.591), also indicating a significant mediation effect. Moreover, the point estimate for the total effect of the model is 0.740, with a bias-corrected confidence interval of (0.674, 0.810). Once again, the exclusion of 0 from this interval suggests a significant mediation effect.
The Bootstrap Test of the Mediation Effect.
In summary, both family cultural capital and school investments in ASPs significantly influence students’ educational outcomes through the mediating effect of ASPs participation. The findings show that family cultural capital contributes 25.94% of the total effect, with 3.24% of this attributed to the indirect path of “family cultural capital → participation in ASPs → educational outcomes.” In contrast, school resources account for a larger portion, contributing 74.06% of the total effect, with this effect flowing through the indirect path of “school input into construction → participation in ASPs → educational outcomes.”
Discussion
This study is rooted in the context of educational equity and explores the theoretical framework concerning the influence of school resources and family background on equity. Building on this foundation, we develop a conceptual model and roadmap that highlight the impact of ASPs on educational equity. Within this cohesive research framework, we examine the complex interaction between family cultural capital and school input to better understand how these factors contribute to students’ educational outcomes. Through empirical analysis, we carefully investigate the mediating role of ASPs, uncovering the intricate network of influences linking ASPs to educational equity. The study presents several key findings, outlined as follows:
The Impact of Familial Cultural Capital on Educational Outcomes via ASPs
The study reveals that participation in ASPs partially mediates the relationship between family cultural capital and educational outcomes. Specifically, “family cultural capital” not only has a direct effect on “educational outcomes” but also indirectly influences them through “ASPs participation.” The direct influence can be attributed to the multifaceted role of family cultural capital in individual learning processes, including providing support (Tan et al., 2019), fostering academic attitudes (Cheng & Kaplowitz, 2016), and creating a conducive learning environment (Liang et al., 2022; Tramonte & Willms, 2010), which aligns with prior research findings.
The indirect effect arises from ASPs offering students a complementary learning platform that includes additional study time (Budd et al., 2020), fostering an inclusive, safe, and respectful environment (M. V. B. Yu et al., 2021), providing structured interaction opportunities (Leos-Urbel, 2015), and facilitating rich extracurricular activities (Huang, 2022). These factors collectively enhance students’ educational attainment. However, despite the government’s support covering major operating costs and implementing free or cost-based non-profit policies for ASPs, participation in arts and science-based ASPs often requires the purchase of musical instruments, art supplies, science materials, and other resources. As a result, families with higher cultural capital are more likely to invest in such cultural education (Zhang et al., 2021), thus promoting improved educational outcomes for students involved in ASPs.
The Role of School Input Into Construction on Educational Outcomes Through ASPs
The empirical results of this study suggest that a school’s investment in ASPs can indirectly influence students’ educational outcomes through their participation in these programs. First, school-led ASPs in China are often more seamlessly integrated with formal school education (Gao & Qu, 2023), provide teachers with enhanced professional development opportunities (W. D. Yang & Tang, 2023), and promote closer home-school cooperation (S. Yang, 2023). These factors collectively address students’ developmental needs and contribute to their overall educational improvement.
Second, schools play a pivotal role in administering ASPs (Zou, 2020), with teachers acting as the primary implementers who directly affect the quality of these services (Ni, 2021). Schools can enhance the quality of ASPs by improving the professional skills of participating teachers and fostering their enthusiasm for their work. These efforts lead to increased student satisfaction with ASP participation, which, in turn, boosts student engagement. Additionally, since ASP participation is voluntary (The Xinhua News Agency, 2021), students, particularly underage teenagers, often participate in alignment with their parents’ preferences. By refining the ASP implementation environment and establishing an effective home-school communication system, schools can enhance parents’ confidence in the programs they offer, ultimately improving student participation.
The Beneficial Impact of ASPs on Educational Equity Through Educational Outcomes
The conceptual model developed in this study, grounded in the theoretical framework, successfully passed both the path and model fitness tests. This indicates that the educational equity framework proposed here is applicable to After-School Programs (ASPs) in primary and secondary schools. Moreover, the model demonstrates that both family and school environments during ASPs play a significant role in fostering educational equity.
This study also reveals that, in the context of ASP implementation, the impact of school investment in infrastructure on students’ educational outcomes is approximately three times greater than that of family cultural capital. Therefore, students’ academic achievements after participating in ASPs are not solely dependent on family cultural capital but are heavily influenced by the school’s investment in ASP infrastructure. This finding aligns with the perspective of Fu and Zhong (2024), who argue that the quality of after-school services provided by schools is crucial in enabling students to achieve diverse developmental outcomes.
When analyzed within the final theoretical framework established in this study, it becomes evident that school factors predominantly influence the formation of educational outcomes in ASPs for primary and secondary school students. As a result, ASPs serve to enhance the equitable distribution of school resources, potentially advancing educational equity. This supports existing research that suggests school-led after-school programs effectively guide and utilize students’ after-school time and space. These programs play a crucial role in safeguarding children’s right to education and promoting educational equity and social justice (L. Han & Zhou, 2024; Ma & Zeng, 2018).
The Transformative Impact of ASPs Replacing Shadow Education on Educational Equity
Through an analysis from both the family and school perspectives, this study reveals the transformative role of ASPs in replacing shadow education. Specifically, ASPs can largely substitute shadow education by increasing participation while simultaneously enhancing the educational functions of schools to achieve greater educational equity.
Families with higher cultural capital tend to show greater enthusiasm for and willingness to engage in shadow education (W. Zhang, 2020). However, with the implementation of the “double reduction” policy, the prevalence of shadow education has significantly decreased (Ministry of Education of the People’s Republic of China, 2023), while the reach of ASPs has expanded (China Educational Daily, 2022). As a result, affluent families are increasingly turning to ASPs as an alternative to traditional shadow education.
Moreover, school-organized ASPs align with the three dimensions of fair educational development: fair educational starting points, fair educational processes, and fair educational outcomes (Husén, 1972). They embody the difference principle and compensation principle of educational equity (Rawls, 1999). ASPs foster equitable educational opportunities by offering affordable and inclusive learning experiences for all students (Roemer & Trannoy, 2016). This ensures a fair starting point in education, consistent with the compensation principle of educational equity. At the same time, all students, regardless of their family background, receive the same teacher-led content and access to resources in ASPs, ensuring an equitable educational process. Finally, the diverse curriculum offered by ASPs allows students with varying backgrounds, abilities, talents, and challenges to select courses that meet their specific needs, thereby guaranteeing fair educational outcomes and adhering to the difference principle of educational equality.
Conclusions and Implications
This study compares After-School Programs (ASPs) with shadow education and constructs a theoretical framework to understand the mechanisms by which ASPs influence educational equity. Using questionnaire data from primary and secondary school students in Shenzhen, a structural equation model (SEM) was developed for empirical testing. The results demonstrate that both familial cultural capital and school investments in infrastructure can impact educational outcomes through participation in ASPs. Furthermore, the study highlights the positive effects of ASPs on educational equity, particularly in terms of improving educational outcomes, and explores the transformative role of ASPs in replacing shadow education to foster greater equity.
This pioneering study adopts an equity-focused perspective to examine the value and implementation pathways of ASPs, offering new insights into the mechanisms that can promote educational equity. It addresses the pervasive challenge, seen in many countries, where family background hinders educational equity. While previous research has explored this issue through the lens of shadow education, many studies have found that shadow education amplifies family capital, thus exacerbating educational inequities and limiting social mobility (Jung, 2022; Tsiplakides, 2018). In contrast, other scholars have emphasized the benefits of ASPs, highlighting their potential to support students’ overall development and educational growth (Jenson et al., 2018; J. Lee et al., 2020). With the backing of China’s “double reduction policy,” a natural experiment examining the relationship between shadow education and ASPs is unfolding within Chinese society. This study builds on these evolving dynamics, combining findings from earlier research to construct a theoretical framework that explores how ASPs can contribute to promoting educational equity.
Empirical data are used in this study to assess the feasibility of After-School Programs (ASPs) in promoting educational equity. In many countries, grappling with the negative effects of after-school private tutoring—such as financial burdens, the erosion of public schools, and widening educational opportunity gaps—ASPs have been introduced as a potential solution (S. H. Bae & Jeon, 2013). However, empirical studies from countries like South Korea have shown limited impacts of ASPs on students’ overall school life, academic performance, and extracurricular tutoring expenses (Park et al., 2012). This disparity in findings may stem from differences in national policies, such as guidelines for ASP fees and the regulation of shadow education, which may hinder the expected benefits of ASPs in promoting educational equity. Although many theoretical articles in China have explored the potential role of ASPs in promoting equity (T. Han & Su, 2022), there is a lack of empirical research to support these claims. This study addresses this gap by employing Structural Equation Modeling (SEM) to trace the path through which ASPs contribute to educational equity. The empirical results suggest that, although ASPs are influenced by school resources and family background, the impact of school education is more significant. As a result, ASPs, to some extent, replace shadow education and help promote educational equity.
The findings from this study provide valuable guidance for future research on the effectiveness of ASPs and other educational interventions aimed at promoting equity. In light of China’s strict “double reduction” policy on shadow education, ASPs appear to be stepping in to replace traditional shadow education. This shift challenges the previously established pattern where family background perpetuated educational inequities through shadow education, thus contributing to class-based educational gaps (Wang et al., 2023). For ASPs to effectively reduce social reproduction, it is essential that the Chinese government continues its strict control over shadow education and ensures that ASPs are charged at non-profit rates, including fees for necessary equipment in subjects like sports, science, and art. Therefore, the government should prioritize the inclusive implementation of ASPs while rigorously regulating shadow education. The insights from this study can assist policymakers and educators in developing and implementing educational interventions that promote equity and reduce disparities in educational access and outcomes.
Limitations and Future Directors
Firstly, it is important to acknowledge that the results of this study are based solely on self-report questionnaires completed by students. This introduces a potential bias due to self-reporting tendencies, which may affect the establishment of causal relationships. To enhance the validity of future studies, it would be beneficial to integrate qualitative methods, such as on-site observations and interviews, alongside quantitative data to construct a more comprehensive and robust measurement approach.
Secondly, although the sample in this study includes primary and secondary students from various types of schools, the primary focus was on analyzing the impact of ASPs on educational outcomes and the mechanisms influencing these outcomes. As a result, no specific comparative analysis was conducted based on academic stages or school types. However, it is important to note that the school stage and type may influence the adaptability of ASPs, as well as students’ study habits and outcomes. Future research should explore these potential differences more thoroughly.
Regarding future research prospects, this study suggests several promising directions. One area worth investigating is whether an alienation effect exists between schools in terms of the equity impact of ASPs. While this study treated the group of students participating in ASPs as a whole to explore their collective educational impact, it remains unclear whether ASPs might inadvertently exacerbate disparities between schools, even while promoting equity within individual schools.
Additionally, further research could focus on the specific levels of impact of ASP implementation. Beyond a broad consideration of students’ educational outcomes, there is room for more nuanced exploration of topics such as demographic outcomes, academic achievements, and sociopolitical impacts.
Footnotes
Appendix A
Educational Outcomes.
| Higher latent variables | Primary latent variables | Indicator coding | Survey questions | Measurement items |
|---|---|---|---|---|
| Educational outcomes | Academic development | AD1 | After participating in the school’s ASPs, your study habits have significantly improved. |
|
| AD2 | After participating in the ASPs, your problem-solving skills have significantly improved. | |||
| AD3 | After participating in the school’s ASPs, you are more willing to explore problems in depth. | |||
| AD4 | After participating in the school’s ASPs, you have gained a better mastery of basic knowledge. | |||
| AD5 | After participating in the school’s ASPs, your study methods have significantly improved. | |||
| AD6 | After participating in the school’s ASPs, you demonstrate greater self-discipline. | |||
| AD7 | After participating in the school’s ASPs, your self-confidence has significantly improved. | |||
| Interests and hobbies | IH1 | After participating in the school’s ASPs, you can better focus on your hobbies. | ||
| IH2 | After participating in the school’s ASPs, you can further develop your personal strengths. | |||
| IH3 | After participating in the school’s ASPs, you have developed a broad interest in various subjects. | |||
| IH4 | After participating in the school’s ASPs, you can better concentrate on your favorite activities. | |||
| IH5 | After participating in the school’s ASPs, you can further cultivate your personal hobbies. | |||
| IH6 | After participating in the school’s ASPs, you actively engage in extracurricular interest classes. | |||
| Parent-child relationship | PCR1 | After participating in the school’s ASPs, you can develop more harmonious relationships with your family. | ||
| PCR2 | After participating in the school’s ASPs, you can improve communication with your parents. | |||
| PCR3 | After participating in the school’s ASPs, you are more willing to share your life experiences with your family. | |||
| Family burden | FB1 | After participating in the ASPs, you have a reduced need for academic tutoring. | ||
| FB2 | After participating in the ASPs, your family experiences fewer difficulties in picking you up from school. | |||
| FB3 | After participating in the ASPs, your family’s financial burden related to education decreases. | |||
| FB4 | After participating in the ASPs, you experience less criticism from your parents. | |||
| FB5 | After participating in the ASPs, your family’s expenses for extracurricular activities are reduced. | |||
| FB6 | After participating in the ASPs, your safety and well-being are better ensured. |
Acknowledgements
We express deep appreciation for the K-12 school principals, teachers, and students who have kindly participated in the study, as well as the research staff members responsible for coordinating research activities.
Ethical Considerations
In accordance with Chinese laws, regulations, and institutional requirements, this study did not require approval from an ethics committee, as it does not involve animal or human clinical trials and is not considered unethical. Prior to conducting the study, we obtained permission from the school principal, and the questionnaire underwent a thorough review by the local K-12 school principal. Additionally, all participants provided informed consent before participating in the study. Measures were implemented to ensure the anonymity, confidentiality, and voluntary participation of all individuals involved. Therefore, the involvement of the school and the completion of the survey confirm that this study adheres to ethical standards.
Funding
The author(s) received no financial support for the research, authorship, and/or publication of this article.
Declaration of Conflicting Interests
The author(s) declared no potential conflicts of interest with respect to the research, authorship, and/or publication of this article.
Data Availability Statement
Data sharing not applicable to this article as no datasets were generated or analyzed during the current study.
