Abstract
Erectile dysfunction (ED) is a common male health condition and is increasingly recognised as an early marker of systemic vascular dysfunction. The Endothelial Activation and Stress Index (EASIX), calculated from lactate dehydrogenase, creatinine, and platelet count, reflects endothelial injury and microvascular stress, yet its relationship with ED has not been well characterised in population-based studies. Using data from the National Health and Nutrition Examination Survey (NHANES) 2001–2004, this cross-sectional analysis included 3,540 adult men with available laboratory and questionnaire data. Survey-weighted multivariable logistic regression models were employed to evaluate the association between EASIX and ED, with additional subgroup and interaction analyses performed to examine potential effect modification. Overall, 999 participants (28.22%) reported ED. Higher EASIX levels were independently associated with greater odds of ED across progressively adjusted models. In the fully adjusted model, each one-unit increase in log2-transformed EASIX was associated with a 31% higher likelihood of ED (odds ratio [OR] = 1.31, 95% confidence interval [CI] = [1.07, 1.61]). Significant interactions were observed by age, race, poverty-income ratio (PIR), and hypertension status. Positive associations were particularly evident among men older than 50 years, non-Hispanic White individuals, those with higher socioeconomic status (PIR >3.5), and participants with hypertension. These findings suggest that elevated EASIX is independently associated with ED in U.S. adult men and that this association varies across key demographic and clinical subgroups, highlighting the potential relevance of endothelial dysfunction in male sexual health.
Introduction
Erectile dysfunction (ED) denotes the persistent inability to achieve or maintain an erection adequate for satisfactory sexual performance. This condition imposes a growing global health burden (Korfage et al., 2009; Salonia et al., 2021). The prevalence is significantly correlated with age; more than half of men aged 40 to 70 report symptoms, and the proportion exceeds 70% in those ≥ 70 years (Muneer et al., 2014; Selvin et al., 2007). Projections indicate that worldwide case numbers will top 322 million by 2025 (Pallangyo et al., 2016).
Beyond compromising sexual health and quality of life (Saffati et al., 2025), ED is viewed as an early sentinel of cardiovascular disease (CVD) (Gandaglia et al., 2014). The link is plausibly attributable to systemic endothelial dysfunction, in which chronic inflammation and amplified oxidative stress jointly weaken nitric oxide (NO) bioavailability. Such mechanisms inhibit vasodilation in both the coronary and penile vasculature (Abu-Soud et al., 2025; Di Martino et al., 2025; Segura et al., 2025). Thus, ED is not merely a local vascular defect; it mirrors a systemic disturbance that intertwines inflammation with metabolic dysregulation (Y. Xu & Li, 2025). The previous study by Kovac et al. (2014) has shown that the measurement of endothelial dysfunction can be used to assess angiogenic ED and to identify patients at higher cardiovascular risk. Accessible biomarkers that capture endothelial activation and cumulative stress may therefore refine early detection and risk stratification.
The Endothelial Activation and Stress Index (EASIX) combines lactate dehydrogenase (LDH), creatinine, and platelet count—three laboratory tests available in routine practice (Luft et al., 2020). Originally developed to forecast outcome after haematopoietic stem-cell transplantation (Luft et al., 2017), EASIX was later shown to predict mortality in COVID-19, sepsis, and several malignancies (Go et al., 2022; Park et al., 2022; Pérez-García et al., 2021; Song et al., 2020; H.-B. Xu et al., 2023). Elevated values also correlate with adverse cardiovascular events, including coronary artery disease (Finke et al., 2025), chronic heart failure (CHF) (Yin & Wang, 2025), and acute myocardial infarction (Sang et al., 2024).
Although EASIX integrates biomarkers of inflammation and endothelial stress, which are central to ED pathogenesis. There is currently a lack of population-based studies linking EASIX to ED. Using data from the National Health and Nutrition Examination Survey (NHANES), we examined the cross-sectional association between EASIX and ED. Yet the causes of endothelial dysfunction and impaired erectile function vary markedly across populations; they are influenced by some factors, such as age, race, and income, as well as clinical conditions including hypertension and diabetes. Thus, subgroup analyses were conducted to explore whether the association between EASIX and ED varied across key demographic and clinical characteristics. These findings may support EASIX as a cost-effective and readily available biomarker for ED risk stratification in the general population.
Materials and Methods
Study Population
We conducted a cross-sectional analysis of two NHANES cycles (2001–2004) that incorporated questions on erectile function. The National Center for Health Statistics (NCHS) employs a multistage, stratified probability design to recruit the civilian, non-institutionalised U.S. population; full protocols are publicly accessible (https://www.cdc.gov/nchs/nhanes/). The NCHS Ethics Review Board approved all procedures, and participants supplied written informed consent.
After pooling 21,161 records, we excluded women (

Flowchart of the sample selection from NHANES 2001–2004.
Exposure Variable: EASIX
EASIX was computed as (LDH [U/L] × creatinine [mg/dL])/platelet count (109/L) from laboratory values obtained during the mobile examination.
Outcome Variable: Erectile Function
Erectile function was ascertained with the NHANES questionnaire. Men who reported being “always or almost always able” or “usually able” to maintain an erection adequate for intercourse were classified as non-ED; those answering “sometimes able” or “never able” formed the ED group. This approach mirrors the Massachusetts Male Aging Study criteria. In sensitivity checks, we restricted the outcome to participants who answered “never able” (severe ED).
Covariates
Directed by prior literature (D. Chen et al., 2024; Mei et al., 2024), we considered age (≤50 vs. >50 years), race (Mexican American, non-Hispanic White, non-Hispanic Black, other Hispanic, other), marital status (living with partner vs. alone), education (<high school, high school, >high school), poverty-income ratio (PIR) (≤1.3, 1.3–3.5, >3.5), body mass index (BMI) (normal ≤25, overweight 25–30, obese >30 kg/m2), smoking (≥100 lifetime cigarettes), alcohol (≥12 drinks/year), and self-reported histories of hypertension, diabetes, or CVD (congestive heart failure, coronary artery disease, angina, or prior myocardial infarction).
Statistical Analysis
Analyses respected the complex survey design by applying 2-year Mobile Examination Center (MEC) weights divided by two. Continuous variables are presented as survey-weighted
Results
Baseline Characteristics
The final analysis included 3,540 men, of whom 999 (28.2%) met criteria for ED. Table 1 summarises the distribution of traits by erectile status. Men with ED were, on average, 19.6 years older than their non-ED counterparts (60.92 vs. 41.33 years;
Baseline Study Population Characteristics, Weighted.
For continuous variables, data were expressed as means ± standard error (
Abbreviations: BMI: body mass index; LDH: lactate dehydrogenase; PLT: platelet; EASIX: endothelial activation and stress index; PIR: poverty-to-income ratio; CVD: cardiovascular disease. ED: erectile dysfunction.
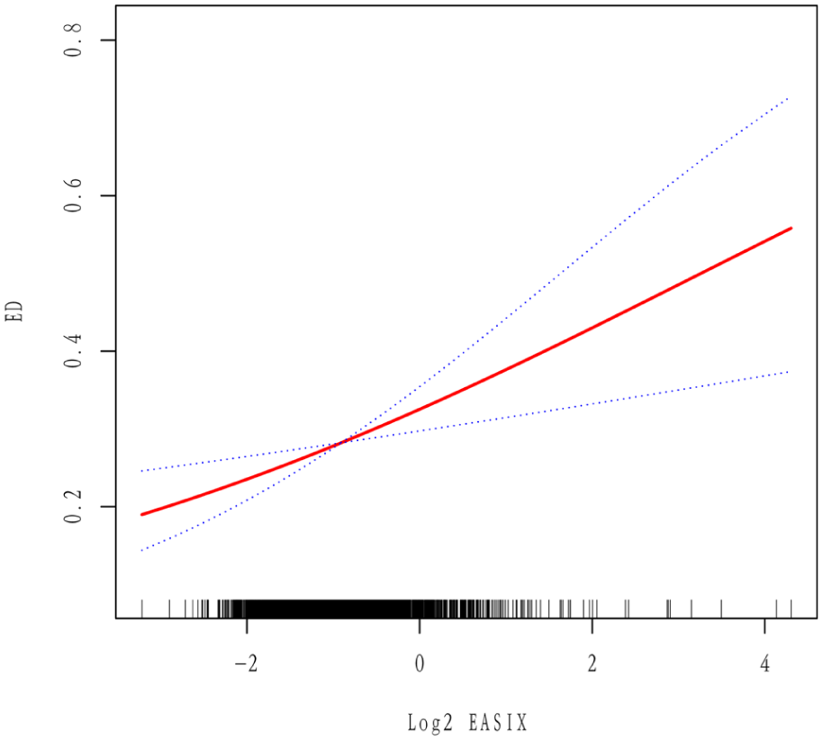
Association Between log2(EASIX) and ED Risk
Table 2 summarises multivariable regression findings. Continuous EASIX retained a positive association with ED in every model (
Multivariable Logistic Regression Analyses for log2(EASIX) and ED Risk, Weighted.
Model 1: unadjusted.
Model 2: adjusted for age, race, education level, marital status, PIR, and BMI.
Model 3: adjusted for age, race, education level, marital status, PIR, BMI, alcohol intake, history of hypertension, diabetes, CVD, and smoking.

Smooth curve fitting diagram of log2(EASIX) and ED in fully adjusted models.
Sensitivity Analysis for Severe ED
When the outcome was restricted to severe dysfunction, EASIX again emerged as a positive predictor. EASIX exhibited a significant positive association with severe ED across all models (Table 3). In the Model 3, continuous EASIX correlated with increased ED risk (OR = 1.72; 95% CI = [1.39, 2.13];
Sensitivity Analysis for log2(EASIX) and ED Risk, Weighted.
Model 1: unadjusted.
Model 2: adjusted for age, race, education level, marital status, PIR, and BMI.
Model 3: adjusted for age, race, education level, marital status, PIR, BMI, alcohol intake, history of hypertension, diabetes, CVD, and smoking.
Subgroup Analysis
Figure 3 presents stratified effect estimates. Age significantly modified this relationship (

Forest plot of subgroup analyses for the association between EASIX and ED.
Discussion
This study is the first to demonstrate a correlation between EASIX and ED, using cross-sectional data from 3,540 NHANES participants. The relationship survived incremental covariate adjustment and remained consistent when the outcome was restricted to severe dysfunction. Moreover, age, race, PIR, and hypertension significantly modified this association, indicating substantial population heterogeneity. Collectively, these findings support EASIX as an accessible biomarker for ED risk assessment and reinforce the systemic vascular nature of ED.
Originally developed by Luft et al. to predict mortality in acute graft-versus-host disease (Luft et al., 2017, 2020), subsequent work has since extended its prognostic reach to a wider spectrum of endothelial-driven disorders, including CVD (Dong et al., 2025; Estler et al., 2025; W. Liu et al., 2025; Zhao et al., 2025), acute respiratory distress syndrome (ARDS) (J. Chen et al., 2025), and cognitive impairment (Wang et al., 2025). Extending these observations, the present study positions EASIX within the context of ED, a condition widely recognised as an early indicator of systemic vascular disease (Assar et al., 2022). J. Liu et al. (2025) identified a significant association between EASIX and diabetic retinopathy. Consistent with this observation, our findings suggest a parallel association between EASIX and ED. Because both retinal and penile vasculatures consist of end-arteriolar beds highly susceptible to endothelial injury, these converging data suggest that EASIX functions as a sensitive systemic indicator of microvascular burden across organ systems.
The biological plausibility of the relationship arises from the synergistic contributions of its three components. LDH elevation reflects increased cell membrane permeability and tissue injury (Ide & Lau, 1999). Elevated LDH levels are associated with reduced NO bioavailability, endothelial dysfunction, and vasculopathy in haemolytic conditions (Kato et al., 2006). In the context of ED, increased LDH likely indicates subclinical endothelial injury and impaired NO-mediated corporal smooth muscle relaxation.
Serum creatinine, a marker of renal function, increases progressively with declining glomerular filtration. Chronic kidney disease (CKD) is strongly associated with ED. A meta-analysis by Navaneethan et al. (2010) reported an average ED prevalence of approximately 70% among patients with CKD. Mesquita et al. (2012) further demonstrated increasing ED prevalence across CKD stages 3 to 5. Mechanistically, CKD reduces NO availability through impaired L-arginine metabolism and increased endogenous NO synthase inhibitors, particularly asymmetric dimethylarginine (Baylis, 2008). In addition, CKD directly disrupts erectile physiology by impairing penile arterial inflow, altering venous occlusion, inducing smooth muscle dysfunction, and contributing to hormonal and neurogenic abnormalities (Costa et al., 2018).
Platelets contribute to vascular repair and endothelial homeostasis. Platelet-rich plasma (PRP), enriched with growth factors, promotes angiogenesis, neural regeneration, and tissue repair (Hesseler & Shyam, 2019). When injury occurs, these growth factors are released at the injury site to promote wound healing and vascular and neural remodelling (El-Sharkawy et al., 2007). Emerging clinical evidence supports PRP as a safe and potentially effective therapy for ED (Deabes et al., 2024; Poulios et al., 2021). Thus, low platelet counts may indicate impaired vascular repair. EASIX integrates these separate signals into a single biomarker, thereby improving sensitivity for detecting potential vascular pathology underlying ED.
However, the effects of EASIX are not uniform across different populations. Interaction analysis revealed that the effects of EASIX on erectile function are modulated by specific physiological and sociodemographic contexts. Biologically, this association was predominantly observed in men over 50 years of age and those with hypertension. Although these represent distinct dimensions of risk, they share a common pathophysiological hallmark: endothelial reserve impairment. With advancing age or prolonged blood pressure burden, endothelial repair capacity is compromised, NO bioavailability decreases, and vascular compliance diminishes, thereby lowering the body’s tolerance threshold to systemic endothelial stress (Higashi et al., 2012; Lüscher et al., 1991). Under these conditions, the systemic endothelial injury and inflammatory burden reflected by elevated EASIX are more readily translated into clinically observable microvascular dysfunction. Because the penile vasculature is an end-arteriolar system highly dependent on endothelial function, it is exquisitely sensitive to such injury and often emerges as one of the earliest vascular beds affected.
On a sociodemographic level, the association was more pronounced among non-Hispanic White individuals and those with higher income. This phenomenon likely does not stem from intrinsic biological differences but rather reflects disparities in the underlying risk structures across populations. In socially disadvantaged or minority populations, the pathogenesis of ED is typically driven by a confluence of multiple factors, including psychosocial stress, higher comorbidity burdens, and disparities in health care access. These factors constitute a complex competing risk structure that may dilute or mask the explanatory power of a single vascular biomarker like EASIX, resulting in an attenuated statistical association. Conversely, in higher-income cohorts with better health care access, these external confounders are relatively minimised, allowing the intrinsic endothelial state reflected by EASIX to manifest its relationship with ED more directly and clearly. Consequently, EASIX should be interpreted within demographic contexts until prospective studies clarify these modifiers.
Strengths and Limitations
This study possesses several notable strengths. First, this survey utilised two NHANES cycles, providing nationwide coverage and sufficient statistical precision. Second, EASIX—an indicator extractable from routine testing—has never been studied in the field of sexual medicine before, and its application here requires no additional costs or increased burden on subjects. Third, survey weights were carried through every analytic step, and the incremental inclusion of clinically relevant covariates tightened confounding control. Fourth, sensitivity checks that redefined ED as severe dysfunction left the core signal intact, underscoring robustness.
Several limitations warrant mention. First, cross-sectional designs cannot establish causal relationships. Accordingly, the temporal relationship between elevated EASIX and ED remains uncertain. Second, self-reported questionnaires assessed erectile function. This method may introduce recall bias, although it remains standard in NHANES protocols. Moreover, EASIX measures only once and cannot assess changes within an individual. Finally, despite the extensive list of covariates, unrecorded factors may still influence the estimation results.
Conclusion
In summary, this study demonstrates that within a nationally representative sample of American men, higher EASIX scores correlate with increased risk of ED. This index synthesises three clinically prevalent indicators, providing clinicians with a readily available vascular “snapshot.” Whether lowering this index can restore erectile health remains to be validated by further trials, which should concurrently track EASIX trajectories and evaluate the therapeutic efficacy of targeted endothelial rescue strategies.
Footnotes
Acknowledgements
The authors acknowledge NHANES for providing open access to its data and thank all investigators and staff involved in data collection and management. The authors are also grateful to all participants who contributed to this study.
Ethical Considerations
This study was exempt from the Institutional Review Board approval.
Consent to Participate
Not applicable.
Consent for Publication
Not applicable.
Funding
The authors disclosed receipt of the following financial support for the research, authorship, and/or publication of this article: This work was supported by the Health Commission Scientific Research Project of Anhui Provincial (No. AHWJ2023A20506).
Declaration of Conflicting Interests
The authors declared no potential conflicts of interest with respect to the research, authorship, and/or publication of this article.
