Abstract
Erectile dysfunction (ED) is a common problem that seriously impacts men’s quality of life and mental health. Earlier studies have indicated that homocysteine (HCY) levels might be linked to the risk of ED, although these studies are limited by small sample sizes and insufficient correction for confounding factors. This study uses data from the 2001-2004 National Health and Nutrition Examination Survey (NHANES) to evaluate the relationship between HCY levels and ED risk in U.S. adult males. The analysis involved using a weighted generalized linear model to assess main effects and restricted cubic splines (RCS) to explore nonlinear relationships. Results showed that the association between HCY and ED was not statistically significant after adjusting for covariates. However, interaction analyses between age and the HCY-ED relationship showed that as age increases, the impact of HCY on ED strengthens. Based on this, subgroup analysis by age was carried out, revealing that in people aged 50 and above, HCY levels were significantly positively correlated with ED, especially when HCY levels exceeded 9.22 μmol/L, significantly increasing the risk of ED. Sensitivity analysis further confirmed the robustness of these findings. This study indicates that controlling HCY levels, especially in middle-aged and older men, might help prevent and treat ED, providing a foundation for future preventive strategies.
Keywords
Introduction
Erectile dysfunction is a prevalent condition that significantly affects men’s physical and psychological health and quality of life (Burnett et al., 2018). It is characterized by the inability to achieve or maintain an erection sufficient for satisfactory sexual activity. Reports indicate that ED affects about 20% to 50% of men (Kessler et al., 2019; Rosen et al., 2004). According to the 2021 National Health Survey, about 24.2% of adult males in the United States suffer from erectile dysfunction, impacting around 30 million men, and the incidence of ED increases significantly with age (Mark et al., 2024). As the global population ages, the demand for research into effective prevention and treatment strategies for ED intensifies.
The etiology of ED is multifactorial, encompassing psychological, neurological, hormonal, and particularly vascular factors, because adequate blood flow is essential for erectile function (MacDonald & Burnett, 2021; Miner & Kim, 2015). Elevated levels of HCY, a sulfur-containing amino acid, have been associated with endothelial dysfunction and the development of atherosclerosis, which may indirectly impair erectile function (Hermann & Sitdikova, 2021; Salvio et al., 2022).
Existing research suggests a correlation between HCY levels and ED risk; however, these findings are marred by inconsistencies and limitations such as small sample sizes, lack of representativeness, and inadequate adjustment for confounding factors (Demir et al., 2006; Giovannone et al., 2015). Especially in the United States, there is a lack of systematic research on a widely representative population. Thus, this research utilized comprehensive and nationally representative data from National Health and Nutrition Examination Survey (NHANES) to conduct a cross-sectional study assessing the relationship between homocysteine levels and erectile dysfunction in adult males in the United States (Wu et al., 2021).
Method
Study Population
This study utilized the 2001-2004 NHANES dataset, an open, de-identified health survey database specifically designed for research use. The NHANES program, operating under protocols approved by the National Center for Health Statistics Research Ethics Review Board, collects data that includes the batch used in my research, Protocol #98-12. All participants provided written informed consent, and the data were anonymized to comply with ethical standards and protect individual privacy. For comprehensive details about NHANES, please visit its official website at http://www.cdc.gov/nchs/nhanes/index.htm.
The survey period encompassed 21,161 participants. Initial screening excluded female participants. Subsequent exclusions were based on the absence of critical data, including (1) erectile dysfunction status; (2) homocysteine levels; (3) hypertension, diabetes, and cardiovascular disease status; (4) smoking and alcohol consumption habits; (5) waist-height ratio; and (6) folate and vitamin B12 levels. After applying these criteria, the final sample comprised 3,785 participants. The selection process is detailed in Figure 1.

Flowchart of the Participant Selection
Assessment of Homocysteine
From 2001 to 2004, NHANES quantified total plasma homocysteine (tHcy) levels using fluorescence polarization immunoassay (FPIA) methods developed by Abbott Diagnostics. In 2001, measurements were conducted using the Abbott HCY IMX assay, and from 2002 onwards, the more advanced Abbott AxSym system was employed. Both systems utilized identical reagents and shared a common methodology, which involved reducing homocysteine to free thiol forms using dithiothreitol, followed by conversion to S-adenosylhomocysteine (SAH) with the aid of SAH hydrolase. Detection was achieved using a monoclonal antibody targeted against a fluoresceinated SAH analog tracer, and the quantification was based on a calibration curve stored within the analysis machines. Method validation was continuously performed against high-performance liquid chromatography, affirming the reliability of the FPIA technique for measuring tHcy during these survey cycles.
Assessment of Erectile Dysfunction
In this research, the outcome variable, ED, was defined using responses from the KIQ400 questionnaire included in the NHANES 2001–2004 data. Participants were asked to assess their ability to achieve and maintain an erection sufficient for sexual intercourse. Responses of “Sometimes able” or “Never able” were classified as indicative of ED, while “Always or almost always able” and “Usually able” were considered as not having ED (O’Donnell et al., 2005).
Assessment of Covariables of Interest
This study incorporates multiple covariates, including age, race, waist-height ratio, diabetes, hypertension, cardiovascular diseases (CVD), smoking status, alcohol consumption, vitamin B12, and red blood cell folate levels (Lewis et al., 2010; McMahon, 2019; Zhang et al., 2023).
Hypertension is defined as having a self-reported diagnosis or average blood pressures that meet hypertension thresholds (systolic blood pressure ≥140 mmHg or diastolic blood pressure ≥90 mmHg). Diabetes includes individuals who self-report the condition, or have fasting blood glucose levels ≥7.0 mmol/L, or glycated hemoglobin levels ≥6.5%. CVD encompasses diagnoses of congestive heart failure, coronary artery disease, angina, or a history of heart attack.
Smoking Status is categorized as follows: non-smokers have smoked fewer than 100 cigarettes in their lifetime and do not currently smoke; former smokers have smoked more than 100 cigarettes but do not currently smoke; current smokers have smoked more than 100 cigarettes and continue to smoke. Alcohol Consumption is defined as current users having consumed alcohol at least 12 times in the past year, while ever drinkers have consumed alcohol more than 12 times in their lifetime.
Statistical Analysis
Descriptive Statistics
In response to the stratified multistage sampling design of NHANES, weighted procedures were applied to all statistical analyses to ensure that the results were representative and accurate. Analysis of variance (ANOVA) was used for continuous variables that are normally distributed and have equal variance. The Kruskal-Wallis test is used for those that do not follow a normal distribution. The chi-square test was used for categorical variables.
Model Development and Evaluation of Nonlinear Relationship
GLM based on a binomial distribution was chosen to assess the impact of HCY levels on ED (Tuerlinckx et al., 2006). The Generalized Variance Inflation Factor (GVIF) was calculated to ensure no multicollinearity was present (Kim, 2019). Residual plots were examined to verify the random distribution of residuals, confirming that the model assumptions were met. The model’s predictive capability was evaluated using the receiver operating characteristic (ROC) curve and the area under the curve (AUC) (Hickey et al., 2019; Namdar et al., 2021). RCS was also employed to explore the nonlinear relationship between HCY and ED.
Interaction and Subgroup Analyses
To elucidate the relationship between HCY levels and ED risk, and its interactions with variables such as age, hypertension, and diabetes status, interaction analyses were performed. Each model incorporated a single interaction term with HCY (Aickin, 2007). Finally, following the interaction analysis results, we carried out subgroup analyses based on age.
Sensitivity Analysis
A two-phase sensitivity analysis was conducted to validate the robustness of our findings. In the initial phase, data from the 2001 to 2002 cycles were excluded to mitigate potential period effects. Building on this, the second phase further refined the analysis by narrowing the definition of ED to “complete inability to achieve an erection.” This focused the investigation on a critical subgroup aged 50 and older, providing deeper insights into the impact of age on ED prevalence and severity.
Statistical Software and Significance
The statistical analysis was conducted using Decisionlinnc1.071 (https://www.statsape.com/), with a set significance threshold of
Results
Characteristics of Study Participants
In the study of 3,785 participants, significant differences were observed between the ED group and the non-ED group across multiple characteristics. The ED group exhibited higher average ages, homocysteine levels, and folate levels. In addition, notable differences were found in race, smoking habits, and the incidence of chronic diseases (refer to Table 1).
Baseline Characteristics of Participants
Analysis of HCY Levels and ED Risk
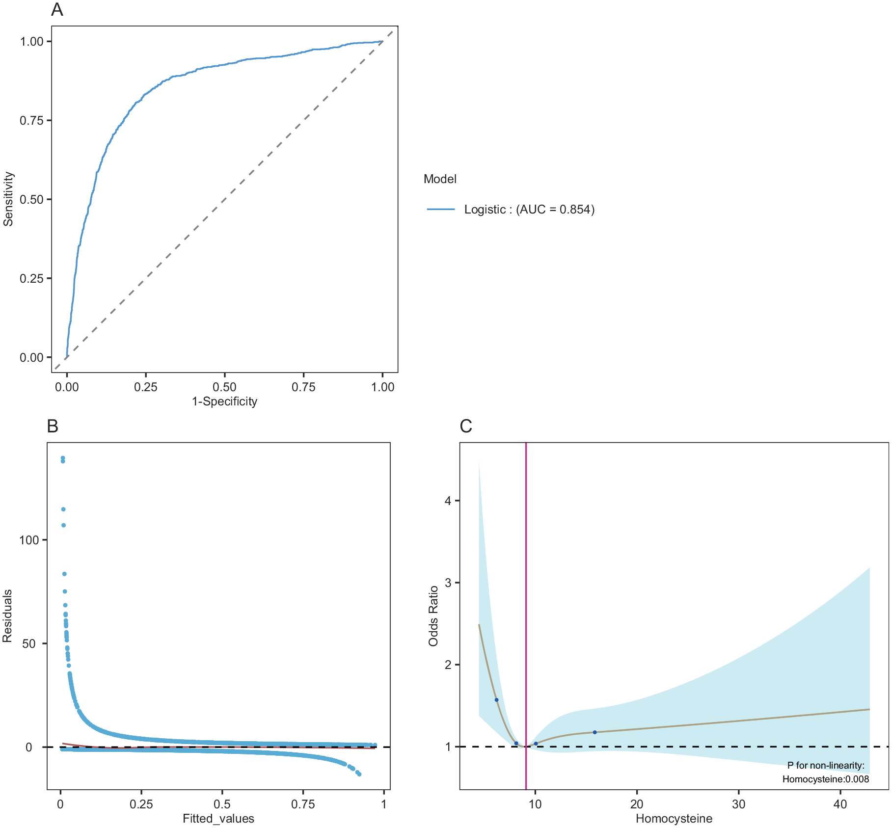
In the initial unadjusted model, a significant positive correlation between HCY levels and ED risk was observed, which became non-significant after adjusting for potential confounders (refer to Table 2). In Model 3, analysis confirmed the absence of multicollinearity among variables (refer to Supplemental Table 1). ROC analysis results demonstrated an AUC of 0.854, indicating strong classification capabilities of the model (refer to Figure 2A). The residual plot showed larger residuals in areas of low fitted values, suggesting a potential nonlinear relationship between HCY levels and ED risk (refer to Figure 2B). In addition, RCS analysis confirmed this nonlinear relationship (refer to Figure 2C).
Results of the Association Between HCY Levels and ED Risk

Analysis of Homocysteine Levels and Erectile Dysfunction Risk
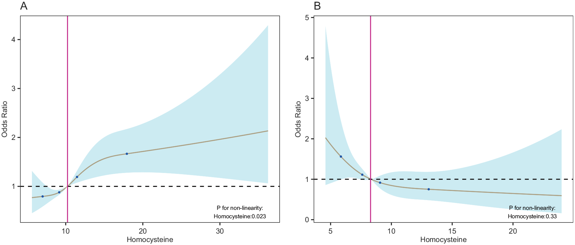
Interacting Effects and Analysis of Subgroup
Interaction analysis revealed a significant interaction between homocysteine (HCY) levels and age, suggesting the influence of HCY on erectile dysfunction (ED) risk intensifies with age (OR: 1.003, 95% CI: 1.000-1.005,
Results of Subgroup Analysis

RCS Analysis of HCY and ED Risk by Age
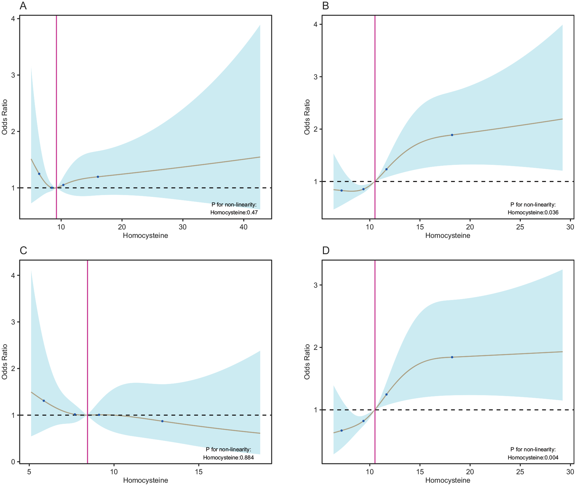
Sensitivity Analysis
In the initial phase, data from the 2001-2002 cycles were excluded to assess the stability of the results. The analysis following this exclusion remained fundamentally consistent with previous findings (refer to Supplemental Table 3). Subsequent subgroup analyses also aligned with our earlier results (refer to Supplemental Table 4). All models were adjusted for potential confounding factors.
In the second phase, building on the first, we redefined ED as a “Never able” and focused our analysis on the critical subgroup aged 50 and above. The adjusted results from this phase-matched our previous findings (refer to Supplemental Table 5).
Finally, we applied RCS analysis. The outcomes of this analysis further confirmed the correlations previously observed (refer to Figure 4 for details).

RCS Analyses Across Different Phases and Subgroups
Discussion
Our analysis, based on the NHANES dataset, revealed a significant positive correlation between plasma HCY levels and the risk of ED among individuals aged 50 and above. RCS analysis demonstrated a threshold effect at 9.22 μmol/L, below which there is no significant increase in ED risk; however, risks significantly rise with increasing HCY levels above this threshold. This suggests that elevated HCY levels might be a contributing factor to ED pathogenesis, particularly in middle-aged and elderly populations. Sensitivity analysis further substantiated the robustness of our findings.
Past research has indicated that high levels of HCY are linked to an increased risk of CVD due to direct endothelial damage, leading to endothelial dysfunction—critical for vascular tension regulation and penile erection (Blick et al., 2016; Dudman et al., 1999; Fang et al., 2018). In addition, elevated HCY levels can exacerbate oxidative stress, further impairing endothelial function, diminishing nitric oxide effectiveness, and triggering inflammatory responses, all of which could elevate ED risk by compromising penile blood flow and vascular functions (Lai & Kan, 2015).
Further studies support that homocysteine levels are inversely related to peak penile blood flow velocity, corroborating our findings that homocysteine may indirectly affect erectile function (Salvio et al., 2022). Importantly, homocysteine is closely associated with endothelial dysfunction and atherosclerosis, significant factors in cardiovascular disease development (Ahmad et al., 2020). Based on the artery size hypothesis, ED serves as an early indicator of cardiovascular health (Dong et al., 2011; Montorsi et al., 2005). Thus, this indicates that clinical monitoring of HCY levels could offer dual benefits for sexual and cardiovascular health, particularly in middle-aged and elderly individuals (Shah et al., 2016).
Moreover, evidence supports the enhanced effectiveness of combining folic acid with PDE5 inhibitors over using PDE5 inhibitors alone. One study found that the addition of folic acid to the standard PDE5 inhibitor treatment regimen increased the effectiveness of the treatment (Mobley et al., 2017). Another distinct study focused on patients with hyperhomocysteinemia due to mutations in the methylenetetrahydrofolate reductase gene. It demonstrated that a regimen combining sildenafil, folic acid, and vitamin B6 not only lowers HCY levels but also significantly improves the response to sildenafil (Lombardo et al., 2010). findings suggest that maintaining HCY levels below a certain threshold might effectively mitigate ED risk.
This study utilizes the nationally representative NHANES dataset and employs sophisticated statistical methods to explore the relationship between HCY levels and ed. While these methodologies augment the breadth and robustness of our analysis, we exercise caution in our conclusions. The cross-sectional design of our study limits our ability to establish causality between HCY levels and ED. In addition, the reliance on self-reported data for ED symptoms introduces potential reporting bias, which must be carefully considered when interpreting results. Furthermore, the presence of unmeasured confounders such as lifestyle habits and genetic predispositions could also influence the findings (Du et al., 2018). Consequently, while our research offers valuable insights, it underscores the necessity for further studies to confirm these associations and delve deeper into their implications.
Given these limitations, future research should encompass prospective cohort studies or randomized controlled trials to strengthen causal inferences and further assess the potential benefits of managing HCY levels in the prevention and treatment of ED. Such studies would clarify the specific mechanisms by which modulation of HCY levels can improve the health outcomes of ED patients, providing a more robust scientific basis for clinical interventions.
Conclusion
Our research emphasizes the potential benefits of managing HCY levels for the prevention and treatment of ED. Future studies need to confirm these relationships through longitudinal research and develop effective HCY-level management strategies to improve erectile function.
Supplemental Material
sj-pdf-1-jmh-10.1177_15579883241278065 – Supplemental material for Age-Dependent Effects of Homocysteine on Erectile Dysfunction Risk Among U.S. Males
Supplemental material, sj-pdf-1-jmh-10.1177_15579883241278065 for Age-Dependent Effects of Homocysteine on Erectile Dysfunction Risk Among U.S. Males by Xuewen Diao, Chenming Zhang and Zulong Wang in American Journal of Men's Health
Footnotes
Acknowledgements
Thanks to all NHANES staff.
The authors would like to acknowledge the use of ChatGPT4.0 for language polishing in the preparation of this manuscript. After using this tool, the authors reviewed and edited the content as needed and takes full responsibility for the content of the published article.
Author contributions
Declaration of Conflicting Interests
The author(s) declared no potential conflicts of interest with respect to the research, authorship, and/or publication of this article.
Funding
The author(s) disclosed receipt of the following financial support for the research, authorship, and/or publication of this article: This work was supported by The First Affiliated Hospital of Henan University of Chinese Medicine. This paper is supported by the National Natural Science Foundation of China (82174377), the National Traditional Chinese Medicine Advantage Specialty Construction Project (Grant No. Guozhongyiyao Yizheng Han [2024] No. 90), China Postdoctoral Foundation (2022M721068, 2023T160201), Henan Province colleges and universities young backbone teacher training program (2024GGJS067) and Innovative training project for college students in Henan Province (202410471036). All authors read and approved the final version of the manuscript.
Ethical Approval and Informed Consent Statements
The NHANES program, operating under protocols approved by the National Center for Health Statistics Research Ethics Review Board, collects data that includes the batch used in my research, Protocol #98-12. All participants provided written informed consent, and the data were anonymized to comply with ethical standards and protect individual privacy.
Data Availability
All data presented in this study were derived from the National Health and Nutrition Examination Survey (NHANES). The processed data have been fully disclosed in the manuscript and supplementary materials.
Supplemental Material
Supplemental material for this article is available online.
References
Supplementary Material
Please find the following supplemental material available below.
For Open Access articles published under a Creative Commons License, all supplemental material carries the same license as the article it is associated with.
For non-Open Access articles published, all supplemental material carries a non-exclusive license, and permission requests for re-use of supplemental material or any part of supplemental material shall be sent directly to the copyright owner as specified in the copyright notice associated with the article.
