Abstract
Tannery industrial effluent is one of the most difficult wastewater types since it contains a huge concentration of organic, oil, and chrome (Cr). This study successfully prepared and applied bimetallic Fe/Cu nanoparticles (Fe/Cu NPs) for chrome removal. In the beginning, the Fe/Cu NPs was equilibrated by pure aqueous chrome solution at different operating conditions (lab scale), then the nanomaterial was applied in semi full scale. The operating conditions indicated that Fe/Cu NPs was able to adsorb 68% and 33% of Cr for initial concentrations of 1 and 9 mg/L, respectively. The removal occurred at pH 3 using 0.6 g/L Fe/Cu dose, stirring rate 200 r/min, contact time 20 min, and constant temperature 20 ± 2ºC. Adsorption isotherm proved that the Khan model is the most appropriate model for Cr removal using Fe/Cu NPs with the minimum error sum of 0.199. According to khan, the maximum uptakes was 20.5 mg/g Cr. Kinetic results proved that Pseudo Second Order mechanism with the least possible error of 0.098 indicated that the adsorption mechanism is chemisorption. Response surface methodology (RSM) equation was developed with a significant
Keywords
Introduction
Wastewater generated from the tanning industry represents one of the major sources of environmental pollution since it contains many contaminants, such as heavy metals, chloride, total organic compounds (TOC) (Abdel-Aziz & Fayyadh, 2021). Represented in biological oxygen demand (BOD) and chemical oxygen demand (COD), toxic chemicals, lime with high suspended and dissolved salts, and other pollutants (Hamdy et al., 2019; Mohan et al., 2008; Mostafa & Peters, 2016; Saryel-Deen et al., 2017). Heavy metal pollution has a significant area of concern due to high concentrations released into the environment (Masindi & Muedi, 2018). chrome contamination is one of the worst types of pollutants that can cause different health problems and classified as carcinogenic material (Group A) in US-EPA (B. He et al., 2013; Z. Li et al., 2014; Lu et al., 2015). Chromate and dichromate salts are widely used for leather tanning, nuclear power plants and textile industries (Förstner & Wittmann, 2012; Garg et al., 2009; Nriagu, 1988). Chromium has several oxidation states divalent, trivalent, pentavalent, and hexavalent mainly found in tanning industries and the hexavalent chromium ion is the most dangerous material for plants, animals and humans (Agrawal, 2012; Annadhasan et al., 2019; Chiu et al., 1998). A high concentration of trivalent chromium may cause several diseases as allergic skin reactions (Langat, 2018) although the low concentration is necessary for plant and animal metabolism. Chromium can replace other metals in biological systems with toxic effects and its accumulation throughout the food chain leads to serious ecological and health problems (Jaishankar et al., 2014; Wuana & Okieimen, 2011).
Thus, it is necessary to get rid of chromium from wastewater before releasing it into the environment. Some kinds of literature have reported that more than 65% of used Cr salts react with leathers, while the Cr leftover remains in the effluent (Karabay, 2008; Kurniawan et al., 2011).
Several treatment technologies, like chemical precipitation, filtration, electrocoagulation, bioremediation, ion exchange, and adsorption, were tested to remove chromium from aqueous solutions and real wastewater (El-Shafei et al., 2016; Peng & Guo, 2020). Many research works have been recently published regarding the utilization of nanoparticles, especially nano Zero Valent Iron (nZVI), which is a promising material for the removal of chromium atoms from polluted water and wastewater due to its high surface area and reactivity (J. Li et al., 2020; Mystrioti et al., 2015). Loading nZVI with another catalytic metal, like palladium (Pd), nickel (Ni), and copper (Cu), can provide more active sorbent sites and donate free electrons on nanoparticles’ surface (Abdel-Aziz et al., 2020; Mahmoud, Ismail, et al., 2020; T. Zhou et al., 2010). New adsorption and degradation technique called a bimetallic system was developed to reinforce the reduction capability of nZVI with the rise of reaction potential by adding the zerovalent copper (Cu0) (Abdel-Aziz et al., 2019; Stefaniuk et al., 2016). Few kinds of research have been conducted on chromium removal from real industrial wastewaters, especially tannery wastewater using nanosorbent.
Several sorbent materials were used to establish the best removal percentages for different chromium concentrations such as coconut tree sawdust, coconut tree sawdust, avocado kernel seeds (AKS),
In this study, Fe/Cu NPs were prepared using chemical reduction in aqueous solutions through acidic conditions. The incorporation of copper with iron enhances the stability and adsorption behavior (Mahmoud, Ismail et al., 2020a). The prepared Fe/Cu nanoparticles were tested for the removal of Cr from both aqueous solutions and real tannery wastewater. The optimum conditions were obtained by addressing the effect of different operating parameters (Fe/Cu) nanoparticles dose, contact time, pH, initial Cr concentration, and stirring rate) on the Cr removal efficiency. Based on the obtained optimum conditions, the Fe/Cu nanoparticles were examined for the removal of different contaminants from real tannery wastewater, such as COD, TSS, BOD, total-nitrogen (TN), total phosphorus (TP), chromium (Cr), lead (Pb), copper (Cu), cadmium (Cd), boron (B), mercury (Hg), nickel (Ni), cyanide (CN), phenols, hydrogen sulfide (H2S), oil, arsenic (As), and tin (Sn). The novelty of this study represented using Fe/Cu NPs for the first time in real tannery wastewater treatment.
Materials and Methods
Chemicals and reagents
The following chemicals (Powder and solutions) were used in the current study: Ferric chloride (FeCl3.6H2O, 98.5% pure, Arabic Lab.), Sodium borohydride (NaBH4, 98% pure, CDH Company), copper (II) sulfate pentahydrate (CuSO4.5H2O, 99.5%, WINLAB), Ethanol (C2H5OH 99%, World co. for sub & med industries), sulfuric acid (H2SO4, 95–97%, Honeywell Co.), sodium hydroxide (NaOH, 99% pure, Oxford Co.), and standard chrome solution, Cr(NO₃)₃, 998 ± 5 mg/L, Merck company.
Preparations and characterization of sorbent material
Preparations of nZVI
About 1.0812 g from ferric chloride (FeCl3.6H2O) was completely dissolved in 60 mL 4/1 (v/v) ethanol/ deionized water mixture. The reducing agent was prepared by dissolving exactly 0.7564 g NaBH4 at 200 mL of deionized water. The reducing NaBH4 solution was poured into a burette and slowly dropped into the FeCl3 solution at a rate of 25µL/s. The black precipitate immediately formed after the first drops of NaBH4 solution as explained in Eq. 1. The chemical reduction between NaBH4 and FeCl3 was used to form black nZVI. The mixture was stirred for another 10 min after adding the excess amount of NaBH4 to complete FeCl3 reduction. Then, the normal filtration technique was applied to the separation and washing of nanoparticles from the aqueous solution. Finally, the prepared iron nanoparticles were dried at 80⁰C for 3 hr. For the storage purpose, the prepared nZVI were protected against oxidation by adding a layer of acetone (Mahmoud, Mostafa, & Nasr, 2019)
Preparation of bimetallic Fe/Cu
The nano Fe/Cu was prepared according to a study conducted by Zin et al. (2013). About 1 g from freshly prepared nZVI was added into copper sulfate (CuSO4.5H2O) solution at a flow rate of 0.1 g per 60 s with powerful stirring. CuSO4.5H2O solution was prepared by mixing 0.1 g from CuSO4 with 100 mL ethanol/distilled water (DW) (1:1) at 60ºC. After that, the solution was allowed to settle for 15 min. The color of black nZVI was changed into coppery color. The solution was filtrated using two sheets of filter paper—Whatman- number 1 circle and diameter 150 mm. After filtration, the bimetallic Fe/Cu nanoparticles were washed two times with 20 mL of absolute ethanol (99.99%, HPLC grade). The prepared Fe/Cu NPs was dried in an oven at 60ºC for 5 hr. The prepared Fe/Cu NPs were stored under nitrogen and covered with a thin parafilm layer (Mahmoud, Mostafa, & Nasr, 2019).
Characterizations
The x-ray diffraction pattern (XRD) was used for investigating the material structure of the prepared bimetallic Fe/Cu nanoparticles (Mahmoud et al., 2018). A Philips XRG 3100 diffractometer (Netherlands) was used for performing the XRD analysis, where a graphite monochromator and a copper K-alpha radiation were utilized to generate x-rays with a wavelength of 1.5418 A⁰ (Mahmoud, Farag, et al., 2019). The X-Ray was operated at a voltage of 40 kV and a current of 40 mA. After placing the prepared Fe/Cu NPs in a stainless-steel holder, the sample was scanned in a range from 5⁰ to 70⁰ and at a rate of 0.0167⁰/s (Mahmoud et al., 2018, Mahmoud, Ismail, et al., 2020). The surface structure of the prepared Fe/Cu NPs was also examined using scanning electron microscope (SEM) (Philips Quanta 250 FEG, USA). The SEM instrument was operated at a voltage of 20 KV and a magnification of 120,000x.
Experimental setup
The adsorption of chromium ions was equilibrated with Fe/Cu NPs by batch technique. The effect of different operating parameters from pH, bimetallic Fe/Cu dose, time, rate, and Cr initial concentration was listed in Table 1. A known weight of Fe/Cu NPs was equilibrated with 1000 mL of synthetic concentration of Cr in Erlenmeyer flasks and shacked at 150 r/min for 20 min. After equilibration, the solution was filtrated by Whatman filter paper No. 2, and the remained concentration was detected by atomic absorption spectroscopy (AAS) according to ASTM 2005 stander method for water and wastewater (Water Environment Federation, American Public Health Association, 2005). The removal percentages were calculated by equation (2). The amount of chrome sorbed by Fe/Cu NPs was calculated using equation (3)
Batch Experiments at Different Operating Parameters.
where Co is the initial chromium concentration in solution (mg/L) and Ce is the equilibrium concentration in solution (mg/L)
where Q e is the equilibrium adsorption capacity (mg/mg), m is the dry weight of the Fe/Cu NPs (mg), and V is the volume of aqueous solution (L)
The tannery wastewater samples were collected and tested to detect the initial chromium concentration, and the results were 8.2 and 2.73 for raw and secondary treated wastewater, respectively. Other wastewater contaminants were tested to make a comparison between them before, after different treatment processes and the allowable limits. At pH 3, stirring rate 200 r/min, contact time 20 min the effective dose was calculated to be 1.75 g/L. Samples and the selected dose were placed in Erlenmeyer flasks, shacked, filtrated, and measured to detect and compared the results as shown in Table 6.
Isotherm studies
The nonlinear adsorption model isotherms are equilibrated equations that are applied to conditions the adsorption process after the sorbent/adsorbate interaction for enough time to range the equilibrium process. The mathematical nonlinear equations of all implemented models. The Langmuir, Freundlich, Redlich–Peterson, Hill, Khan’s model, Toth model, Sips, Koble–Corrigan, and Jovanovich adsorption isotherm models’ descriptions with mathematical equations were placed in Supplementary material “Table S4.”
Kinetic studies
The standard solutions were contacted with sorbent material until the equilibrium state during the period at a constant temperature. The quantity of sorbed chromium at time
where “Co” is the initial chromium concentration (mg/L), “C
Different kinetics models were tested to explore the suitable kinetic model which illustrates the kinetics of contaminants removal mechanism at different times. The pseudo-first-order (PFO) Proved that the bond between sorbate and sorbent is caused by hydrogen bonds and Van der Waals forces. The pseudo-second-order (PSO) assumes chemisorption reaction. Avrami model describes the solid transformation from the current phase to another phase at a constant temperature. Elovich’s model describes the transfer of contaminants from the aqueous solution phase to the solid phase. Finally, the Intraparticle nonlinear model describes sorbent adsorbate transformation (Avrami, 1940; Fola et al., 2016; Ho & McKay, 1998a, 1999; Zeldowitsch, 1934b).
Validation of adsorption isotherms and kinetics
Five error function equations were selected to validate the best adsorption isotherm and kinetic models which describe the mechanism of removal (Mahmoud, Farag, & Elshfai, 2020). These error function equations include the Sum of the Squares of the Errors (ERRSQ), Marquardt’s percent standard deviation (MPSD), Average Relative Error (ARE), a Composite Fractional Error Function (HYBRD), Chi error, and the Sum of the Absolute Errors (EABS) (Mahmoud, Farag, & Elshfai, 2020). Supplementary Table S1 includes an equation for each error function.
Neural network structure
An artificial intelligence neural network architecture was recognized to predict chromium removal efficiency. The ANN model involves input covariable (pH, Dose, time, stirring rate, and concentration), hidden layers (weight and bias), and the output layer or dependent layer (removal %). The structure of ANN was expressed as 5 – 4 – 1 as shown in Supplementary Figure 1. The collected data from the five covariables are transferred into the input layer and divided into standard values for testing, training, and validation. The network name is “Multilayer perceptron (MLP).” The MLP model uses a feedforward backpropagation style and can have multiple hidden layers (in this case four hidden layers). It is one of the most regularly used ANN techniques for water and wastewater treatment (Mahmoud, Farag, & Elshfai, 2020; Mahmoud, Farag, et al., 2019).
Response surface methodology
The RSM regression statistical model shows a simultaneous confidence band for the fitted response surface. A diagram was designed to demonstrating a contour of RSM for best chromium removal. The independent covariables were pH, dose, time, rate of stirring, and concentration. The linear regression analysis was working to describe the RSM relation plots by using the experimental data
where, Y is the predicted percentages response of chromium removal efficiency (%), x1is pH (3–11), x2 is adsorbent dose (0.1–1.0 g), x3is stirring rate (100–300 RPM), x4 is time (10–50 min), x5 is initial chromium concentration (1–9 mg/L), β0 is the model intercept, and β1, β2, β3, β4, and β5 are the linear coefficients of x1, x2, x3, x4, and x5, respectively.
Results and Discussion
Characterization of Fe/Cu NPs
Figure 1(a) shows The XRD pattern for prepared pure nZVI with two peaks at 2θ = 44.6° and 64.99° for planes Fe (110) and Fe (200), respectively. A sharp peak at 2θ = 44.6° indicated domination of zero-valent iron (Fe0) in the prepared sample. The maximum half-peak width (FWHM) for 2θ = 44.58 and 64.99° was 0.0067 and 0.002898 radian, respectively indicated the formation of nano iron with an average size of 26 nm ± 3 nm. Figure 1(b) shows the XRD pattern for Fe/Cu nanoparticles with (2θ) from 5–70 indicated the formation of Fe/Cu NPs by three fundamental peaks at 2θ 43.3° for Cu, 44.7° for Fe, and 50.8° for Cu (Lucas et al., 2002; Omar, 2016). Figure 1(c) shows an SEM image of the synthesized bimetallic Fe/Cu nanoparticles. The SEM results indicated the formation of Fe/Cu NPs crystals with sizes 22.93, 19.23, 8.598, and 39.51 nm. The average Fe/Cu NPs size was 22.57 ± 11.1 nm. Figure 1(d) shows Energy-dispersive X-ray spectroscopy (EDAX) analysis for the selected nanoparticles 22.9 nm shows the formation of iron as the main peak, copper, outer oxide, and carbon layers.

(a) XRD result of nZVI, (b) XRD of Fe/Cu NPs, (c) SEM of Fe/Cu NPs, and (d) EDAX of Fe/Cu NPs.
Several nano-sorbents were used for the wastewater treatment process. Shape-dependent properties including size and reactivity are the main criteria for the reactivity of nanoparticles toward different contaminant removal. Yuan et al. (2009) studied the effect of size magnetite nanoparticles with size 25 nm for Cr(VI) and the obtained results indicated that the maximum Cr(VI) uptake about 18 mg/g throughout the Physico-chemical interaction mechanism (Yuan et al., 2010). S. Zhou et al. (2014) studied the effect of Ni/Fe bimetallic nanoparticles on Cr(VI) removal with an average size of 30–60 nm. The maximum uptake was about 21 mg/g via both mechanisms adsorption/reduction process indicating the other metal facilitates the flow of electron transfer which can increase the reactivity of nano bimetallic (S. Zhou et al., 2014).
Effect of operating conditions
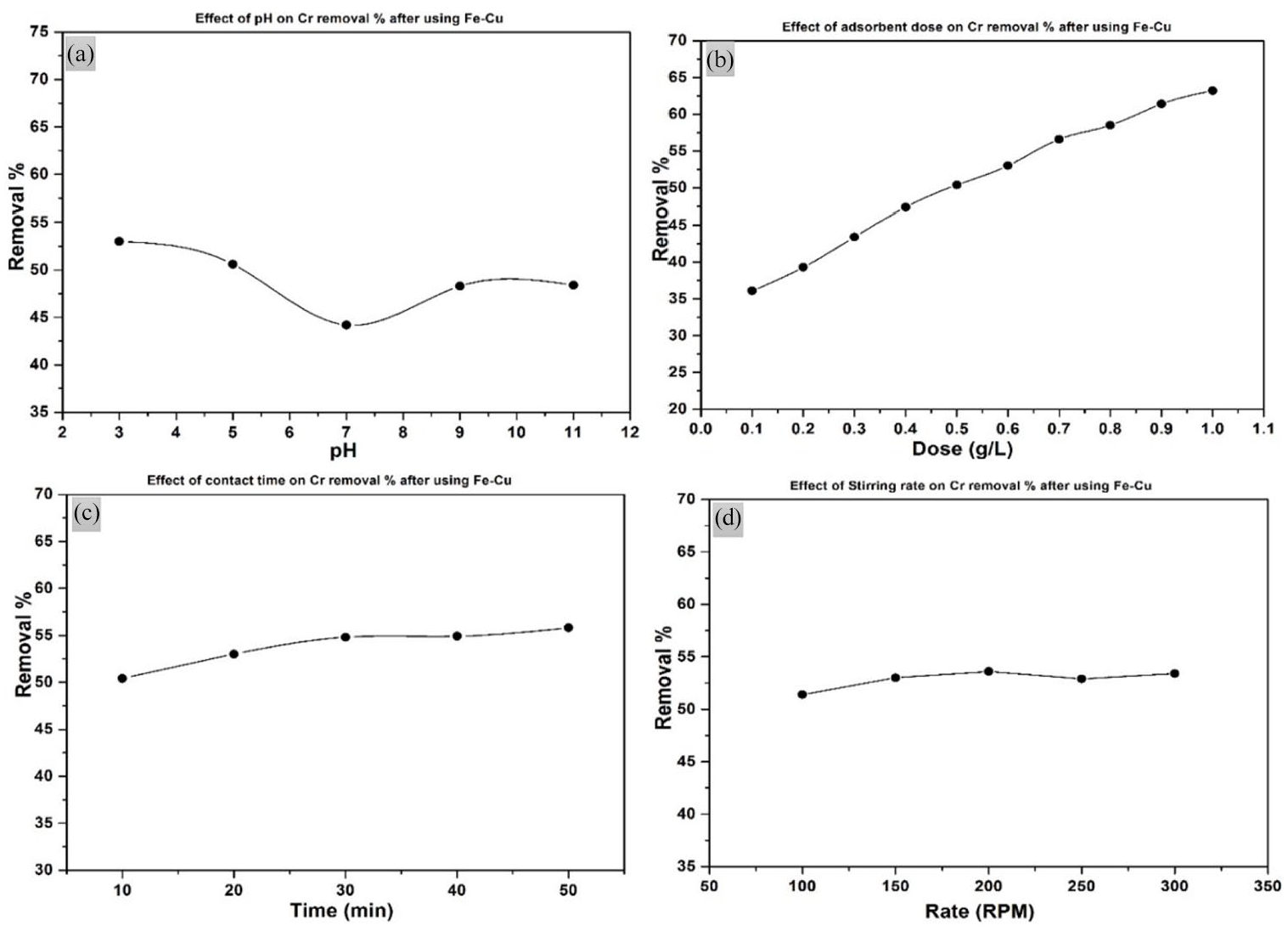
Effect of pH
The pH measurements of the aqueous solution are one of the most effective operating conditions in Cr removal. The pH can affect species distribution and the rate of Cr removal. The effect of pH on Cr removal efficiency was studied under the following operating conditions (Fe/Cu NPs dosage = 0.6 g/L, Cr initial conc.= 5 mg/L, contact time = 20 min, and stirring rate = 200 r/min). As illustrated in Figure 2(a), the Cr removal efficiency reached its maximum at pH 3 reaching 53%. With an increase in pH into neutral and alkaline medium, the removal efficiency decreased to 50% at pH 5.0% and 44% at pH 7. However, the removal efficiency increased to 48% at pH 11. This is maybe attributed to the alkaline conditions, where the OH- in the solution can react with iron to produce an iron oxide passivation layer covering the surface of the nanoparticles, occupying the particle surface active sites and inhibiting the reduction reaction (Y. He et al., 2018; Mostafa et al., 2017). This suggested that acidic conditions are more favorable for Cr removal by Fe/Cu nanoparticles. It could be because the H+in the solution can dissolve the iron oxide film formed on the surface of the nanoparticles, which increased the exposure of the particle surface active site, thus improving the removal efficiency of Cr (Guan et al., 2015). Considering the removal efficiency and the feasibility of actual operation, an initial pH of 3.0 was used as the optimum pH in this experiment. Lv et al. (2012) have tested the efficiency of highly active (nZVI)–Fe3O4 nanocomposites on the chromium (VI) removal, and the optimal pH for the removal of Cr was also reported as pH 3.

Effects of experimental factors on Cr removal of efficiency using Fe/Cu NPs: (a) pH, (b) dosage, (c) contact time, and (d) stirring rate.
Effect of adsorbent dose
The effect of different adsorbent doses of Fe/Cu bimetallic nanoparticles on the Cr removal efficiency was studied under the following operating conditions (pH = 3, contact time = 20 min, Cr initial conc.= 5 mg/L, and stirring rate = 200 r/min). As illustrated in Figure 2(b), an increase in the adsorbent dosage from 0.1 to 1 g/L resulted in an increase in the removal efficiency from 49% to 63% for 5 mg/L of Cr. The increase in the adsorption behavior is related to the increase in the availability of active sites on the bimetallic nanoparticles, in addition to the free electrons for the degradation process (Mahmoud, 2017). Mutongo et al. (2014) studied the aqueous Cr(VI) adsorption by using powder of potato peelings as a low-cost sorbent, and the achieved results indicated that Cr(VI) removal efficiency from the solution increased steadily with the increase in the absorbent dose (Mutongo et al., 2014). Low et al. (2001) have test quaternized wood as sorbent for hexavalent chromium, and the achieved results indicated that by increasing the sorbent dosage, the percentage uptake increased which agrees with the obtained results (Low et al., 2001).
Effect of contact time
The effect of contact time on the Cr removal efficiency was studied under the following operating conditions (pH = 3, Fe/Cu NPs dose = 0.6 g/L, Cr initial conc. = 5 mg/L and stirring rate = 200 r/min). As indicated in Figure 2(c), the Cr adsorption efficiency has increased with the increase in contact time until reaching the equilibrium state after 30 min. The rapid increase in the chromium adsorption efficiency at the beginning of the reaction is mainly attributed to the existence of enormous vacant active sites in the adsorbent surface. However, by increasing the time the validity of vacant sites on Fe/Cu NPs surface become limited, which makes the adsorption efficiency reach the equilibrium state. Garg et al. (2009) have studied the effect of using banana peel as a green sorbent for removal of Cr(VI) from industrial wastewater. They have achieved Cr(VI) removal efficiency of 95% at the following optimum conditions: contact time 10 min, pH 2, and stirring rate 100 r/min. Another study indicated that the effective time to remove 50 mg/L of chrome using modified sugarcane bagasse at pH 2 and stirring rate 250 r/min was 60 min (Garg et al., 2009).
Effect of stirring rate
The effect of rate on the chromium removal efficiency was studied under the following operating conditions (pH = 3, Fe/Cu NPs dose = 0.6 g/L, Cr initial conc. = 5 mg/L, and contact time = 20 min). The effect of agitation speed on Cr removal efficiency was examined in the range of 100–300 r/min. As illustrated in Figure 2(d), the results revealed that the Cr removal efficiency remains constant beyond the agitation speed of 150 r/min. Weng et al. (2009) reported that this phenomenon can be attributed to the little resistance of the boundary layer and high mobility of the system. Hence, the agitation speed of 150 r/min was selected as the optimal mixing speed in this study. Two types of adsorption occur in nZVI surfaces; physical and chemical adsorption (Boparai et al., 2011). Chemical adsorption depends on the charge between the absorbed molecule and sorbent charge (Farag et al., 2018). Physical adsorption depends on vacant sites on the surface by Van der Waals force. Chemical adsorption is more stable than physical adsorption and mainly the stirring rate effect cannot decrease its stability—covalent bond—(Graham, 1953; Ho & McKay, 1998; Lin & Dufresne, 2013). The amount of adsorbed molecules in physical adsorption equals the summation of adsorbed materials for all individual active sites (Gilliland et al., 1974; Meyers & Liapis, 1999). The adsorption technique depends on binding energy between adsorbed molecules and sorbents. The adsorption energy decreased gradually until vanishes with the complete adsorption process (Zeldowitsch, 1934a). So, the little increase in the removal efficiency due to stirring rate is relative to chemisorption reaction and this agrees with the kinetic data (Ho & McKay, 1999).
Effect of initial concentration
The effect of initial chromium concentration on the removal efficiency was studied under the following operating conditions (pH = 3, Fe/Cu NPs dose = 0.6 g/L, stirring rate = 200 r/min, and contact time = 20 min). In this study, the removal of Cr was investigated at initial Cr concentrations of 1, 3, 5,7, and 9 mg/L. As shown in Figure 3(a), the Cr removal efficiency reached 68% at an initial concentration of 1 mg/L. Then, the removal efficiency decreased to 53%, 42%, and 33% at an initial Cr concentration of 5, 7, and 9 mg/L, respectively. In addition, it has been noticed that the amount of Cr uptake increased with the increase in the initial Cr concentration to reach a maximum uptake at concentration of 5 mg/L. This phenomenon may be attributed to the rise in the concentration gradient, which agrees with the results reported by Luo et al. (2013).

Effects of experimental factors on Cr removal of efficiency using Fe/Cu NPs: (a) Cr initial concentration and (b) uptake/removal% relation.
Adsorption studies
As shown in Table 2, Khan Model has the lowest summation of errors of 0.199. Khan’s model describes the adsorption process for pure solutions and identifies the maximum uptake of the adsorbent into the solution. According to Khan Model, the maximum uptake is 20.54 mg/g. Supplementary Table 2 shows the results of the experimental and calculated Qe (mg/g) for all nonlinear isotherm models after using Fe/Cu NPs. The adsorption isotherm for adsorption of chrome onto Fe/Cu NPs indicated that Khan Model is the most preferred model which better describes the adsorption process.
Results of Isotherm Models After Using Fe/Cu NPs for Chromium Removal.
NPs: nanoparticles; ERRSQ: Sum of the Squares of the Errors; HYBRD: Composite Fractional Error Function; MPSD: Marquardt’s percent standard deviation; ARE: Average Relative Error; EABS: Sum of the Absolute Errors.
Kinetics studies
Figure 4 describes the nonlinear relations between different kinetic models and Supplementary Table 3 shows the results of the experimental and calculated Q t (mg/g) for all nonlinear kinetic models after using Fe/Cu NPs. The kinetic isotherms were solved a nonlinear equation of PFO, PSO, Elovich Model, Avrami, and Intraparticle kinetic models. The achieved results indicated that the kinetic data is a better fit than the PSO model, with the lowest summation of errors equal to 0.098 (Table 3). PSO kinetic mechanism indicated that the desorption of chrome onto Fe/Cu NPs is dependent on concentration and dose together, and the adsorption mechanism is chemically rated controlling. Also, electrons are covalently exchanged or shared between sorbate and sorbent, meaning that the reaction is chemisorptions (Ho & McKay, 1999).

(a) Adsorption isotherm, and (b) kinetic models for chrome removal using bimetallic Fe/Cu NPs.
Results of Different Kinetic Models After Using Bimetallic Fe/Cu Nanoparticles for Chrome Removal.
PFO: pseudo-first-order; PSO: pseudo-second-order; ERRSQ: Sum of the Squares of the Errors; HYBRD: Composite Fractional Error Function; MPSD: Marquardt’s percent standard deviation; ARE: Average Relative Error; EABS: Sum of the Absolute Errors.
Artificial intelligence
Artificial neural network (ANN) was trained using the back-propagation algorithm using sample training 76.7% and testing 23.3% for 30 valid results with a total number of 30 runs. The network trained by making a continuous process connection between weight and bias in which the network is implanted as shown in Supplementary Figure 1 with Rescaling Method for Covariates Standardized test, activation Function-Hyperbolic tangent-test, the sum of squares error was 0.042 and relative error 0.022. Results showed that there was a small deviation between the predictive values and normalized values as shown in Figure 5. Also, there was a small deviation between the residual value and predictive value (-0.4, +0.2%) indicating the reality of the result and the effectivity of model results to label the relation between chrome removal efficiency and other variables. Figure 6 shows the sensitivity analysis results which indicated that the Fe/Cu NPs dose is the most effective parameter with normalized importance of 100% followed by initial concentration 82.3%, pH 29.5%, stirring rate 16.4%, and finally contact time 14.5%.

(a) ANN relation between residual and predicted removal %, and (b) ANN relation betweem predicted and true removal % for chrome removal using bimetallic Fe/Cu NPs.

ANN importance and normalized importance result for chrome removal using bimetallic Fe/Cu NPs.
Response surface methodology (RSM)
Linear regression statistical equations (General Linear Model [GLM]) were estimated for chrome removal as a dependent parameter with pH, dose, stirring rate, contact time, and concentrations as Predictors by using Enter methods (Mahmoud, Farag, et al., 2019; Edwards, 2002; Edwards & Parry, 1993; Larson-Hall, 2015) with R2 98.6% and Std. The error of Estimate 1.4. The achieved results indicated that the model was significant (
ANOVA Analysis for “Chromium Removal as Dependent Variable” and “Predictors.”.
ANOVA: analysis of variance.
Dependent variable: chrome removal.
Predictors: (Constant), pH, dose, time, stirring rate and concentration.
The B Statistics, t-Value and p-Value for Case Study Variables and Chrome Removal.
Dependent variable: Bulimia Nervosa.

(a) P-P plot regression plot, and (b) residual histogram for chrome removal using bimetallic Fe/Cu NPs.
Equation (6) shows all-regression models (significant and insignificant). For simplicity, the insignificant factors were excluded, and a new regression model was obtained (equation [7])
where, Y is the predicted response of different wastewater contaminants removal efficiency (%), x1 is pH (3–11), x2 is Fe/Cu NPs dose (0.1–1.0 g), x3 is rate (100–300 r/min), x4 is time (10–50 min), x5 is initial Cr concentration (1–9 mg/L), β0 is the model intercept, and β1, β2, β3, β4, and β5 are the linear coefficients of x1, x2, x3, x4, and x5, respectively.
Removal of chromium and other contaminants from tannery wastewater
The third column in Table 6 represents the characteristics of the raw tannery wastewater, while the fourth column represents the characteristics of the wastewater after subjecting to secondary treatment. The concentration of most of the tested parameters has exceeded the allowable limits specified in law 93/1962 for discharging treated wastewater to the public sewers. In this study, the efficiency of the prepared bimetallic Fe/Cu NPs was applied as a tertiary treatment for the treatment of secondary treated tannery wastewater. The most efficient Fe/Cu NPs dose of 1.75 g/L was estimated using the obtained RSM equation No. 6 to reach 100% removal of Cr. Regarding the other variables, the optimum conditions were obtained from the batch experiments conducted in this study: pH 3, stirring rate 200 r/min, contact time 20 min. The pH was adjusted using sodium hydroxide and sulfuric acid. The results showed a significant decrease in COD (61.5%), BOD (49.5%), TSS (44.8%), TP (100%), TN (38.9%), Cr (96.3%), H2S (88.7%), and oil (29.4%). The results also showed that the concentration of all tested parameters did not exceed the allowable limits specified in law 93/1962. A zero concentration was also reported for some parameters at the treated effluent, such as Cu, Cd, Sn, Hg, and B (Table 6), which confirms the safety use of Fe/Cu NPs in wastewater treatment. As illustrated in Table 6, the suspended solids deposits after 10 and 30 min did not exceed the limits specified in law 93/1962. Egyptian and international standards for discharging to different sources were placed in Supplementary material Table S5.
Characteristics of Real Tannery Wastewater and Corresponding Removal Efficiencies.
NPs: nanoparticles.
Limits 93/1962: discharge of wastewaters to public sewers.
Based on the obtained results, the Fe/Cu NPs with the selected ratio proved the ability to degrade and adsorb a wide range of wastewater contaminants especially COD, BOD, TSS, and heavy metals. So, it is necessary to specify the removal conditions and limitations on future works.
Adsorption of chromium by various adsorbents
Table 7 summarizes the removal efficiencies of Cr using various adsorbents. The Fe/Cu NPS used in this study exhibited a lower removal performance than the other adsorbent materials listed in Table 7. This is mainly due to the low adsorbent dose applied in this study (only 0.6 g/L) compared to the other adsorbents listed in the table, such as Coconut tree sawdust, Papaya peels (PP), avocado kernel seeds (AKS), Juniperus procera, sawdust, P. Shell, C. F. Leaves, and rice husk ash, where the adsorbent dose ranging from 10 to 16.6 g/L. However, the Fe/Cu NPS exhibited a higher removal performance than the other adsorbents when it is applied for tannery wastewater treatment and the dose increased to 1.75 g/L. In addition, the Fe/Cu NPS achieved an enhanced removal efficiency at a lower contact time compared to the other adsorbents. Generally, there are a big variation in the Cr removal efficiencies using different adsorbents, and this is mainly due to the variation in the experimental conditions (e.g., adsorbent dosage, initial Cr concentration, pH, contact time, stirring rate, etc.).
Adsorption of Chromium Using Various Adsorbents.
NA: not available; NPs: nanoparticles.
Conclusion
This study showed that the bimetallic Fe/Cu NPs were efficient in the removal of Cr from aqueous solutions, achieving a maximum removal efficiency of 68% at an initial concentration of 1 mg/L, pH 3 using 0.6 g/L Fe/Cu dose, stirring rate 200 r/min, and contact time 20 min. The isotherm study indicated that the adsorption data for Fe/Cu NPs are in good agreement with Khan Model, while the kinetic study indicated that the PSO model best describes the data. These findings showed that the desorption of chrome onto Fe/Cu NPs is dependent on concentration and dose together, and the adsorption mechanism is chemically rated controlling. The RSM with an
Supplemental Material
sj-docx-1-asw-10.1177_11786221211028162 – Supplemental material for Effective Chromium Adsorption From Aqueous Solutions and Tannery Wastewater Using Bimetallic Fe/Cu Nanoparticles: Response Surface Methodology and Artificial Neural Network
Supplemental material, sj-docx-1-asw-10.1177_11786221211028162 for Effective Chromium Adsorption From Aqueous Solutions and Tannery Wastewater Using Bimetallic Fe/Cu Nanoparticles: Response Surface Methodology and Artificial Neural Network by Ahmed S. Mahmoud, Nouran Y. Mohamed, Mohamed K. Mostafa and Mohamed S. Mahmoud in Air, Soil and Water Research
Supplemental Material
sj-docx-2-asw-10.1177_11786221211028162 – Supplemental material for Effective Chromium Adsorption From Aqueous Solutions and Tannery Wastewater Using Bimetallic Fe/Cu Nanoparticles: Response Surface Methodology and Artificial Neural Network
Supplemental material, sj-docx-2-asw-10.1177_11786221211028162 for Effective Chromium Adsorption From Aqueous Solutions and Tannery Wastewater Using Bimetallic Fe/Cu Nanoparticles: Response Surface Methodology and Artificial Neural Network by Ahmed S. Mahmoud, Nouran Y. Mohamed, Mohamed K. Mostafa and Mohamed S. Mahmoud in Air, Soil and Water Research
Supplemental Material
sj-docx-3-asw-10.1177_11786221211028162 – Supplemental material for Effective Chromium Adsorption From Aqueous Solutions and Tannery Wastewater Using Bimetallic Fe/Cu Nanoparticles: Response Surface Methodology and Artificial Neural Network
Supplemental material, sj-docx-3-asw-10.1177_11786221211028162 for Effective Chromium Adsorption From Aqueous Solutions and Tannery Wastewater Using Bimetallic Fe/Cu Nanoparticles: Response Surface Methodology and Artificial Neural Network by Ahmed S. Mahmoud, Nouran Y. Mohamed, Mohamed K. Mostafa and Mohamed S. Mahmoud in Air, Soil and Water Research
Footnotes
Declaration of Conflicting Interests
The author(s) declared no potential conflicts of interest with respect to the research, authorship, and/or publication of this article.
Funding
The author(s) disclosed receipt of the following financial support for the research, authorship, and/or publication of this article: This research was supported by the Egyptian Housing Building Research Center (HBRC), especially Prof Dr. Khaled Youssri for research tools support, Prof Dr. Khaled El-Zahaby and Prof Dr. Amr Hefnawy for management support and Badr University in Cairo (BUC).
Supplemental Material
Supplemental material for this article is available online.
References
Supplementary Material
Please find the following supplemental material available below.
For Open Access articles published under a Creative Commons License, all supplemental material carries the same license as the article it is associated with.
For non-Open Access articles published, all supplemental material carries a non-exclusive license, and permission requests for re-use of supplemental material or any part of supplemental material shall be sent directly to the copyright owner as specified in the copyright notice associated with the article.
