Abstract
Maceral compositions take a great role in coalbed methane adsorption. Two controversial viewpoints coexist on the effect of maceral compositions to coalbed methane adsorption. One is vitrinite has better adsorption capacity than inertinite and the other is inertinite has enhanced adsorption capacity than vitrinite. In order to clarify this issue, a series of coal samples were collected and highly purified vitrinite and inertinite concentrates were gained by heavy-fluid flotation and centrifugal separation. Isothermal adsorption experiments of methane were performed to these concentrates with equilibrium moisture and their ultimate adsorption volume were obtained finally. The results show that the adsorption capacity of vitrinite is weaker and the capacity of inertinite is stronger for low-rank coal. For high-rank coal, the adsorption capacity of vitrinite is stronger and the capacity of inertinite is weaker. Along with the increase of coal rank, the adsorption capacity of vitrinite rises gradually and the adsorption capacity of inertinite declines little by little. This result shows that the adsorption capacity of coal to methane not only relates to contents of vitrinite and inertinite, but also relates to metamorphic grade of the coal, because with the increase of metamorphism of coal, molecular structure, functional group and pore characteristic of vitrinite and inertinite change gradually, which results in tremendous changes in the adsorption capacity of coal.
Introduction
Coalbed gas is a kind of natural gas associated with coal and its main component is methane. Coalbed methane is also clean, high-efficient and supplemental energy. Main coal production countries all over the world have paid attention to exploration and exploitation of coalbed methane for its great strategic significance (Qin, 2005; Zhou, 2017). More than 80% of coalbed methane exists in coal with adsorbed state (Chang et al., 2015; Qin, 2003; Qin and Shen, 2016). Factors affecting adsorption capacity of coalbed methane include properties of adsorbent medium, such as component, texture, structure and moisture content of coal (Bustin et al., 1995; Gayer and Harris, 1996; Li, 2018; Liu et al., 2014; Singh, 2011; Wang et al., 2004, 2018; Wen, 2007; Zhang et al., 2015; Zhong and Zhang, 1990), and geological conditions of adsorbent medium, such as temperature and pressure (Liu, 2018; Zhang, 2018; Zhong, 2004). In these factors, maceral composition of coal dominates adsorption capacity of coalbed methane. Maceral compositions include vitrinite, inertinite and liptinite, which play positive role in adsorption of coalbed methane (Beamish and Crosdale, 1995; Chattaraj et al., 2016; Crosdale and Beamish, 1993; Li et al., 2012). Inorganic microscopic compositions of coal include clay minerals, carbonate minerals, sulfide minerals and so on, which play negative role in the adsorption of coalbed methane (Chattaraj et al., 2016; Lamberson and Bustin, 1993; Ryan, 2010).
Research on the influence of maceral compositions to the adsorption capacity of coalbed methane started from 1960s and continues today. Some authors find that inertinite has better adsorption capacity (Ettinger et al., 1966; Faiz and Cook, 1991; Fu et al., 2005; Wang et al., 2018; Zhang et al., 2018), while other authors argue that vitrinite has better adsorption capacity (Fu et al., 2002; Levine et al., 1993; Zhong and Zhang, 1990). Some researchers think that adsorption capacity of vitrinite and inertinite is different at different pressure or Langmuir volume (Bustin et al., 1995; Crosdale et al., 1998; Kadlec, 2001), while other researchers consider that adsorption capacity does not have certain correlation with vitrinite or inertinite (Chalmers and Bustin, 2008; Laxminarayana and Crosdale, 2002).
The researches above show that there is a great dispute on correlation between the adsorption capacity of coalbed methane and maceral composition. Most adsorption experiments of the studies were carried out to whole coal of lump or powder, which means, the adsorption volumes are caused by all maceral compositions and inorganic substances. Although some researchers analyzed contents of different maceral compositions, they could not point out the adsorption volume of a certain maceral composition accurately. In this research, we separated and purified maceral compositions and we performed isothermal adsorption experiments of methane to them with equilibrium moisture. By these, we hope to reveal the adsorption capacity of a certain maceral composition.
Sample collection and experimental process
Sample collection
Six coal samples were collected from carboniferous-Permian coalbeds in Handan-Xingtai, North China. All the samples were collected from new exposed coal wall following the state standard of coal sample collection method (GB/T19222-2003). Before collecting, the target coal wall was cleaned to make it flat and fresh and collecting information such as sample number, location, stratigraphic age, coalbed thickness, attitude and date are recorded. Two parallel lines normal to beddings were drawn on the coal wall with a chalk and the space between the two lines was kept in 10 cm. Coals outside the parallel lines were removed and the coals inside the parallel lines were reserved for collecting. A homogeneous coal block 10 cm × 5cm × 5cm was collected and then enclosed into a sealed plastic bag. All the collected samples were stored at 5°C in refrigerator before testing.
Industrial analysis
In order to obtain basic information of the samples, such as moisture, ash, volatile and fixed carbon, industrial analysis has been carried out using SDTGA5000 industrial analyzer. This analyzer works as per the state standard GB/T212-2008. Moisture content is measured by means of air exsiccation. Ash yield was measured by means of slow ashing. Volatile content was measured by means of air-free heating. For coal rank determination vitrinite reflectance has been measured on the HD fully automatic microscope photometer and the operation process is according to the state standard GB/T6948-2008. The block coal polished section was prepared and then exsiccated in dryer for 10 hours. Vitrinite reflectance was measured with oil immersed polished section under optical microscope. One hundred points were measured for each sample and average value of these measurements was used as the final reflectance.
Separation of maceral compositions
In this study, the method of centrifuge separation with heavy liquid was used to separate maceral. At first, the raw coal samples were broken preliminarily and the coal fragments were divided into two parts by hand pick. The vitrain-clarain part was used to extract vitrinite and the durain-fusain part was used to extract inertinite and liptinite. Secondly, these two parts were crushed into the coal powder of 0.18–0.28 mm in diameter. Thirdly, vitrinite, inertinite, liptinite and inorganic matter were separated with centrifugal machine and heavy liquid for their density variations. The centrifugal machine used in this experiment is HITACH120PR252D fully automatic high-speed centrifuge.
The heavy liquid used in this experiment is ZnCl2 solution. According to the density needed, the accurate quality of solid ZnCl2 was weighed and accurate volume of deionized water was measured. ZnCl2 is weak electrolyte and it easily hydrolyzed to yield insoluble matter. When the ZnCl2 solution was prepared, a small amount of concentrated hydrochloric acid was added to inhibit its hydrolysis; vitrinite is medially dense. The 2.0 g/cm3 ZnCl2 solution was prepared to remove densest inertinite and inorganic matter. The 1.1 g/cm3 ZnCl2 solution was prepared to remove the least dense liptinite. The 1.3 g/cm3 ZnCl2 solution was prepared to get floating vitrinite and the 1.3 g/cm3 ZnCl2 solution was prepared to get submerged inertinite. The separated maceral compositions were washed with DI water until the filtered fluid did not appear white precipitation when AgNO3 solution was added.
In order to test the separated result, a little part of each maceral composition was made into a polished grain mount and they were examined under a polarized light microscopy. In reflected light, the vitrinite grains are gray or dark gray and inertinite grains are white or bright white. If testing result showed content of a single maceral composition was not more than 90%, the process of centrifuge separation with heavy liquid was re-performed until purity of all maceral compositions reached more than 90%.
Isothermal adsorption experiment
The depth of coalbed in Handan-Xingtai is 600–700 m, where the corresponding temperature is about 40°C. At this temperature, equilibrium moisture samples of the separated maceral composition were prepared and then isothermal adsorption experiment was carried out. The equipment used in the adsorption experiment is HCA high-pressure volumetric gas adsorption device following the state standard of GB/T19560-2008. Equilibrium moisture sample was loaded into samples vat and system temperature was set at 40°C. Helium with purity 99.99% was charged into the experimental system and final pressure must be 1 MPa higher than the highest pressure of the designed isothermal adsorption experiment. This final pressure must be kept 6 hours, which means, air tightness of the experimental system meets the requirement. The volume of free space needs to be measured three times and errors among them are not more than 0.1 cm3.
Carbon dioxide with purity 99.99% was charged into the experimental system and until the pressure of the referenced vat reaches the target pressure. After the temperature becomes stable, the time, temperature and pressure of adsorption reaction were automatically recorded by a computer program. Nine pressure points of equilibrium adsorption were set at a maximum pressure of 12 MPa. For every pressure point, equilibrium time lasted 12 hours. At last, the Langmuir volumes were calculated with Langmuir’s mono molecule layer adsorption theory. All the experiments were performed in Key Laboratory of Coalbed Methane Resources and Reservoiring Process, Ministry of Education, China University of Mining and Technology.
Results
The results of industrial analysis of six coal samples shows that moisture content is 0.92–2.35%, ash yield is 10.2–15.3%, and volatile content is 8.5–32.6%. Maximum vitrinite reflectance of these samples is 0.71–2.44%. More details are shown in Table 1.
Results of industrial analysis.
After centrifuge separation with heavy liquid, the separation results of maceral compositions are ideal. The tests of polished grain mounts showed contents of vitrinite and inertinite of all the separations reached 92–93%. The content of liptinite of all the six samples are very low, and the quantities of liptinite separated were too small to meet the adsorption experiments.
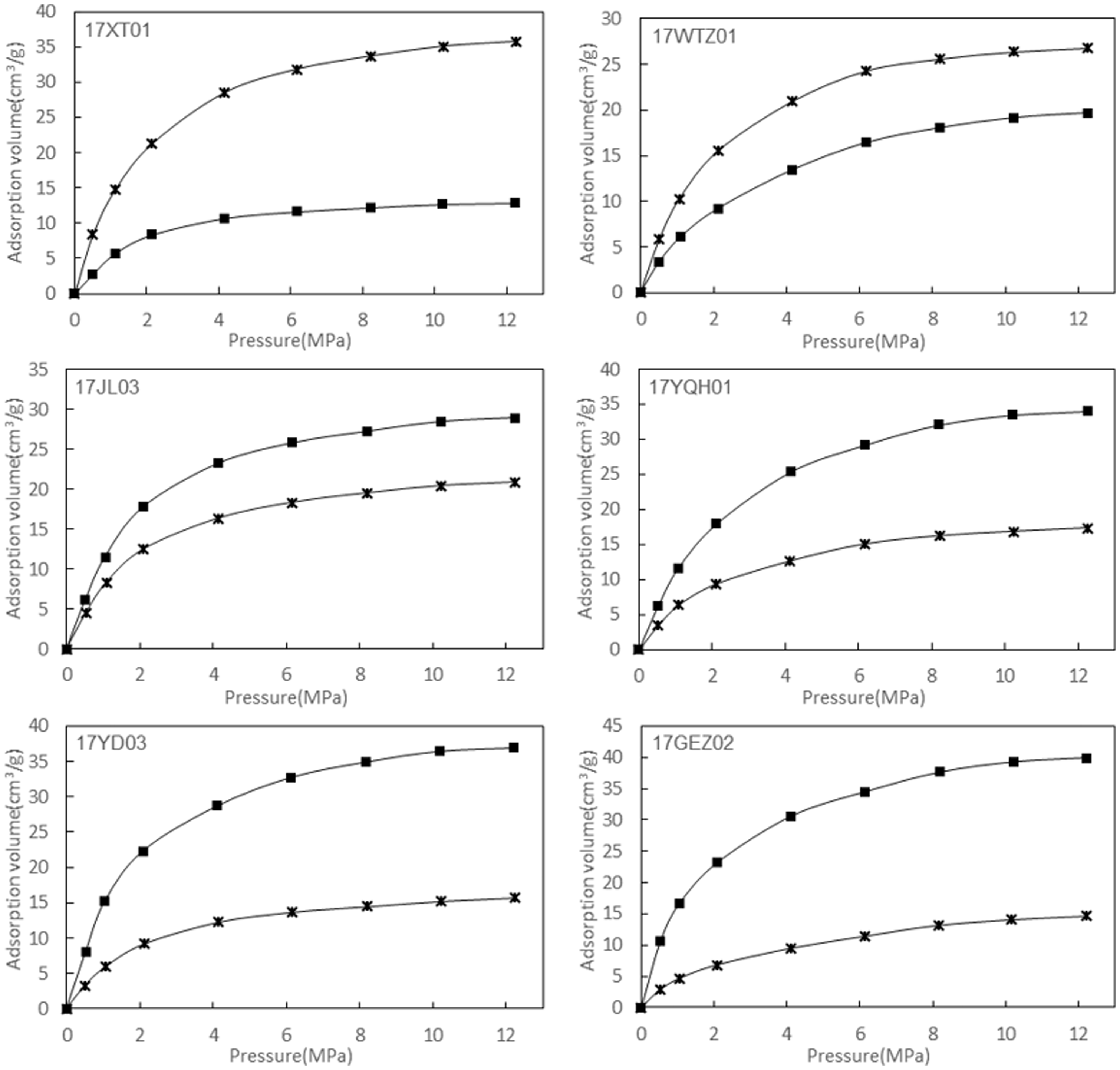
In the state of equilibrium moisture, the moisture content of vitrinite and inertinite of 17XT01 is 4.63% and 4.68%, respectively. The moisture contents of vitrinite and inertinite of the other five samples are similar; they are between 3.53% and 3.94%. The results of isothermal adsorption experiments show that with the rise of pressure, the adsorbed volumes of vitrinite and inertinite of all the samples increase. While the rates of increase and the ultimate adsorption volumes are different (Figure 1). Look through all the samples, along with increase of metamorphic grades, the ultimate adsorption volumes of vitrinite increase from 12.88 cm3/g to 39.95 cm3/g gradually and the ultimate adsorption volumes of inertinite decrease from 35.73 cm3/g to 14.64 cm3/g gradually (Figure 1).

Isothermal adsorption diagrams of maceral compositions (■: vitrinite;
The results show that for low-rank coal (Ro, max < 1%), the adsorption capacity of vitrinite is weaker and the adsorption capacity of inertinite is stronger. The former is 1/2–1/3 of the latter. For high-rank coal (1.5% < Ro, max < 2.5%), the adsorption capacity of vitrinite is stronger and the adsorption capacity of inertinite is weaker. With the increase of rank the adsorption capacity of vitrinite enhances gradually and outstrips inertinite, while the adsorption capacity of inertinite weakens gradually and it is under vitrinite. The adsorption capacity of vitrinite and inertinite crosses at about Ro, max = 1.2% (Figure 2). The adsorption capacity of coal is close related with not only content of maceral composition, but also with the rank of coal.

Relationship between adsorption capacity and metamorphic grade (■: vitrinite; Ж: inertinite).
Discussion
According to the changing rules of the adsorption capacity of maceral composition of this study, plenty of previous research results can be explained reasonably. For low-rank coal (Ro, max < 0.8%), in high pressure, the adsorption capacity of inertinite is about 1.5–2 times of vitrinite, and in low pressure, the adsorption capacity of inertinite is still stronger than vitrinite (Ettinger et al., 1966). In our study, for low-rank coal (Ro, max = 0.7%), the adsorption capacity of inertinite is about three times of vitrinite. Adsorption data of low-rank bitumite of Permian in Sydney Basin, Australia, showed that the inertinite-rich coal contained more methane than vitrinite-rich coal, which indicated inertinite has better adsorption capacity than vitrinite (Faiz and Cook, 1991). Our research also shows similar result. The isothermal adsorption experiments of ash-free medium-volatile bituminous coals (1.02% < Ro, max < 1.14%) of Albian in northeast British Columbia, Canada, showed adsorbed volume of methane increased with the content of inertinite and small change of inertinite content lead to larger change of adsorbed volume (Lamberson and Bustin, 1993). Our study showed that at this coal rank, the adsorption capacity of inertinite is slightly better than vitrinite and small change of inertinite content cannot result in great change in adsorption capacity. In condition of equilibrium moisture, Langmuir volume of long flame coal decreased with increasing vitrinite content and increased with increasing inertinite content. While for anthracite, its Langmuir volume added with increasing vitrinite content and reduced with increasing inertinite (Amankwah and Schwarz, 1995).
Fu et al. (2002) conducted adsorption experiment with extra-high-rank coal (4.0 < Ro, max < 8.61%) under the condition of equilibrium moisture content. The results showed when Langmuir volume was below 25 m3, the adsorption quantity increased with the increase of vitrinite content and decreased with the growing of inertinite content. The adsorption data of inertinite are very discrete. When Langmuir volume exceeded 25 m3, maceral compositions had little effect on the adsorption quantity. Three years later, they performed adsorption experiment to low-rank coal (0.38% < Ro, max < 0.65%) of Xinjiang, China, and found that adsorption quantity increased with the increase in inertinite content and reduced with the increase in vitrinite content (Fu et al., 2005). The adsorption capacity of lower Cretaceous Coals in northeastern British Columbia, Canada, has close relationship with the content of vitrinite (Ryan and Lane, 2003). The adsorption quantity of low-medium rank coals in Yima, China, increased with the increase of content of inertinite/vitrinite (Zhang et al., 2018). These results from many places of the world amply demonstrated that for low-rank coal, inertinite has stronger adsorption capacity than vitrinite, and for high rank, vitrinite has stronger adsorption capacity than inertinite. The adsorption capacity of macerals of different coal ranks is significantly different, which indicates that the adsorption capacity of certain maceral probably has some changing rules. Ranks of coals in the above researches are located at the both ends of metamorphic sequences of our study, which indicates that the changing rules of the adsorption capacity of this study is still applicable to lower and higher ranks.
Adsorption experiments of different rank coals from Bowen Basin, Australia, in condition of non-equilibrium moisture showed that vitrinite-rich coals had better adsorption capacity than inertinite-rich coals and moisture restricted adsorption of inertinite (Levine et al., 1993). In our study, vitrinite does not always have good adsorption capacity. In Bowen Basin, vitrinite-rich coals in the same rank dominated the adsorption capacity of the coalbed (Laxminarayana and Crosdale, 1999), but this tendency was not been found in Indian coals (Laxminarayana and Crosdale, 2002). That is because surface features, pore sizes and distribution characteristics decided by macerals influence adsorption capacity of coals.
A total of 140 coal samples spanning from long flame coal to anthracite from Northeast, Southwest, North and South China were collected to carry out isothermal adsorption experiment in the text of equilibrium moisture. The results showed that the adsorption capacity of methane had very good positive correlation with the content of vitrinite and had very good negative correlation with the content of inertinite, and the correlation coefficients reached 0.866 and 0.895, respectively (Zhang and Yang, 1999). This law is a coincident with our research of high-rank coal, but it is not a coincident with our research of low-rank coals.
For low-medium rank coals, their adsorption capacity of methane increases along with the increase in vitrinite content, and it firstly increases and then reduces along with the increase in inertinite. For high-rank coals, their adsorption capacity increases along with the increase in vitrinite content and it reduces along with the increase in inertinite content (Li et al., 2012). These results are contradictory with ours for both low- and high-rank coals. Content of vitrinite controls adsorption capacity of coalbed for low-medium coal and for high-rank coal, fusinite had more control over adsorption capacity of coalbed (Zhang et al., 2017). Content of vitrinite of anthracite from Sihe Ming, Qinshui Basin, China had negative correlation with the adsorption capacity of coalbed methane, while its content of inertinite had positive correlation with the adsorption capacity (Wang et al., 2018).
Most experimental subjects in researches above are whole coals, which contain vitrinite, inertinite, exinite and inorganic matter; so the adsorption capacity of these researches is holistic adsorption capacity of all macerals. Although some researchers analyze the content of vitrinite and inertinite, it was difficult to tell contribution of each maceral to the holistic adsorption capacity.
Adsorption experiment of different rank coals of Sydney Basin shows that in low temperature, the adsorption capacity of methane increases with the increase in the content of vitrinite, while in high temperature, the adsorption capacity of methane increases with the increase in the content of inertinite (Bustin et al., 1995). For coals of different rank, the content of vitrinite had positive correlation with Langmuir volume generally, but this rule was not continuous but saltatorial (Kadlec, 2001; Qin et al., 1999).
The adsorption experiment of coals from north Shaanxi, east Shanxi and South China showed that the relationship between the adsorption capacity and the content of vitrinite was discontinuous. All the coals with the inertinite content more than 30% had great the adsorption capacity, and the content of vitrinite had no influence on the adsorption capacity (Zhang et al., 2011).
Binary gas isothermal adsorption experiment showed that the influence of difference of content of maceral compositions to the preferential adsorption of methane and carbon dioxide lacked remarkable regularity. The sample with the largest adsorbed volume is neither the highest content of vitrinite, nor the highest content of inertinite (Clarson and Bustin, 2000). The adsorption experiment of coals of Pennsylvanian from Indiana, the America, showed that the content of vitrinite and pore characteristic had no prominent correlation with the adsorption capacity (Mastalerz et al., 2008). Some authors thought there was no deterministic relation between coal compositions and adsorption capacity (Laxminarayana and Crosdale, 2002). Other authors argued that for low-rank coal, adsorption capacities of bright coal and dull coal were almost the same, while when coal rank rose, the gap of adsorption capacities gradually widened between them (Chalmers and Bustin, 2008).
Mechanism of maceral compositions influence the adsorption of coalbed methane
The reason why so many researchers cannot come to an agreement on the relationship between maceral compositions and adsorption capacity is the mechanism of maceral compositions influence adsorption of coalbed methane is not clear. Two factors influence the adsorption capacity of maceral compositions. One is the component of maceral compositions, such as molecular structures and functional groups, and the other is the structure of maceral compositions, which means pore characteristics.
Influence of molecular structure and functional group to the adsorption capacity
Vitrinite is formed of roots, stalks and leaves of plants in condition of overlying water by gelatinization. In the stage of low rank (0.5% < Ro, max < 1.3%), the metamorphism of vitrinite is cracking and falling off of aliphatic chain. In the stage of medium rank (1.3% < Ro, max < 2.0%), the metamorphism of vitrinite is aromatization. Oxygen-containing groups fall off in abundance and the proportion of aromatic carbon atoms increases relatively. Aromatic rings enlarge and molecular structures turn reticular. In the stage of high rank (2.0% < Ro, max < 4.0%), the metamorphism of vitrinite is further condensation of aromatic rings. The condensation degree of carbon net heightens and they form regular aromatic structure system. Along with the development of aromatization, the adsorption capacity of vitrinite enhanced gradually (Li, 2015; Liu, 2018; Xiao, 2016).
Simulation experiment of metabolism of biomethane showed that for the vitrinite-rich coal, the total gas volume, methane-generated quantity, methane concentration and rangeability of pH value of reaction liquid are higher. For the inertinite-rich coal, all the indicators are lower. These results showed that vitrinite is easily transformed into methane, that does not mean vitrinite easily adsorbs methane, because hydrocarbon-generation potential is different from the adsorption capacity (Chen, 2016).
The aromatic structure of inertinite is highly condensed in the stage of ulmification; so in the early phase of coalification, the adsorption capacity of inertinite is stronger, and in the middle-late phase, it is weaker (Qin et al., 1999). Medium-volatile bituminous coals from Australia, northeastern British Columbia and Canada have similar coal rank and their vitrinite have the same adsorption capacity. But for whole coal, the Australian coal has higher adsorption capacity than the Canadian coal, which is because the inertinite of the former has higher adsorption capacity than the later (Bustin and Clarkson, 1998). The molecular structure of inertinite had a lot of oxygen-containing groups, such as hydroxyls or carbonyl in free state or in benzene rings, which made inertinite have better adsorption capacity than vitrinite (Zhang et al., 2018).
Influence of pore characteristic to adsorption capacity
The direct reasons of difference of the adsorption capacity of maceral composition are the difference of pore-type, connectivity, pore volume and specific surface area. The diameter of typical methane molecule is 0.20–0.35 nm. Methane adsorption potential function of coal showed that the adsorption potential trended to zero where methane molecule was 0.5 nm away from pore surface of coal, which indicated the adsorption of pore surface of coal are dominated by one-layer adsorption. Adsorption capacity enhanced with the increase of pore volume and specific surface area of micro-pores of coal (Sun and Xian, 1999). Vitrinite is formed by gelatinization, so its cellular structure is less developed than inertinite. During the late coalification, dehydration and devolatilization enlarged the molecular structure of vitrinite and increased its micropores, which made its specific surface area larger than inertinite (Zhang and Yang, 1999). Collotelinite is a sub-component of vitrinite and it influences the volume of mesopore and micropore, while another sub-component of vitrinite collodetrinite makes the volume of mesopore and micropore small (Mastalerz et al., 2008). In addition, vitrinite had more metamorphic pores, which made its micropore volume and specific surface area developed than inertinite and exinite. This is the direct reason why the adsorption capacity of coal strengthens with the increase of content of vitrinite (Qin et al., 1999). Vitrinite contains more open pores than inertinite, so its pore connectivity is better than inertinite (Chen, 2016).
Researches on coals with different ranks from Huainan Ming, China, showed the evolution mechanism of nanometer pore of vitrinite with coalification. In the early stage (0.7% < Ro, max < 1.2%), pore volume and specific surface area of nanometer pores of vitrinite declined gradually, because hydroxy and carboxyl in vitrinite bound and formed water and the water discharged off under lithostatic pressure making vitrinite denser. In the middle stage (1.2% < Ro, max < 1.9%), pore volume and specific surface area of nanometer pores of vitrinite rose inch by inch, because methyl, methylene and methine in fat structure of vitrinite started dissociation and detachment and they produced increasing number of methane, which made the increase of nanometer pores in vitrinite. In the late stage (1.9% < Ro, max < 2.2%), pore volume and specific surface area of nanometer pores of vitrinite declined again gradually, because condensation and thickening of aromatic rings reduced interplanar spacing and unstable gases were transformed into stable functional group, such as carbonyl (Guo, 2016). Micropore-rich structure of inertinite destined it had the strong adsorption capacity in early coalification. Inertinite had higher proportion of pore, which was because fusinite developed more prominent three-dimensional space network and plenty of incompletely filled biogenetic texture pores, which contributed a lot to the adsorption capacity of methane (Wang et al., 2018; Zhang et al., 2018).
This study also has some limitations. Because of restricted experimental conditions, the purity of maceral compositions only achieved 92–93%. In this case, the separated vitrinite or inertinite must mix some other impurity, which may affect the experimental results to some extent. We smashed blocky raw coal into fine powder that damaged original pore structure and affected its adsorption capacity. In addition, we just collected coals in Handan-Xingtai region with vitrinite reflectance in 0.71–2.44%, so the representativeness of region and coal rank of coal samples is limited.
Conclusions
Isothermal adsorption experiment of maceral composition with equilibrium moisture showed that for low-rank coal (Ro, max < 1%), the adsorption capacity of vitrinite is weaker than inertinite and the Langmuir volume of former is about 1/2–1/3 of the later. For high-rank coal (1.5% < Ro, max < 2.5%), the adsorption capacity of vitrinite is stronger than inertinite and the Langmuir volume of former is about 2–3 times of the later. Along with the increase of coal rank, the adsorption capacity of vitrinite rises gradually and the adsorption capacity of inertinite declines little by little and they reached the same level at about Ro, max=1.2%. The adsorption capacity of coal to methane relates to not only contents of maceral compositions, but also metamorphic grade of the coal. That is because with the increase of metamorphism of coal, molecular structure, functional group and pore characteristic of maceral compositions change gradually.
Footnotes
Acknowledgements
The authors appreciate the constructive comments and suggestions from the reviewers and the editors.
Declaration of conflicting interests
The author(s) declared no potential conflicts of interest with respect to the research, authorship, and/or publication of this article.
Funding
The author(s) disclosed receipt of the following financial support for the research, authorship, and/or publication of this article: This work was financially supported by Open Fund of Key Laboratory of Coalbed Methane Resources and Reservoiring Process, Ministry of Education (Grant No. 2018-002) Youth Talent Program of Institution of Higher Learning, Hebei Province (Grant No. BJ2018010), and National Natural Science Foundation of China (Grant No. 41604069).
