Abstract
Homework as an essential component of the academic process supports teaching and learning by consolidating what the students learn in class and promoting their study skills and self-paced work capacities. While homework characteristics and its efficacy are reported to be interrelated, there is a lacuna in the research on the effectiveness of homework policy in learning outcomes in online classes, particularly under adverse conditions. As a result, the current study investigated the effects of homework policy (leniency vs. strictness) on EFL learners literacy (reading and writing) development, focusing on their academic self-regulation (ASR) level in a distance learning course amid the COVID-19 pandemic. Data were gathered from 36 K-10 students organized into homework packet and homework leniency groups. Their literacy skills and ASR were assessed before and after the study. Due to schools closure during the COVID-19 pandemic, both groups participated in distance learning courses delivered via the national mobile-based LMS. The results of the two-way Analysis of Variance primarily revealed a significant development in the reading and writing skills of the homework-packet group. Despite the marginal difference between the reading performance of high and low self-regulated participants of both homework conditions at the end of the study, a significant difference in the development of the writing skills of high self-regulated participants of the homework-packet condition was observed. The critical role of homework strictness in online courses and promoting learners’ self-regulation skills to benefit from the assigned homework, particularly in teaching writing, is underscored.
Plain language summary
Purpose: The study examined the role of homework policy (leniency vs. strictness) on L2 learners’ reading and writing development, focusing on their academic self-regulation level in a distance learning course amid the COVID-19 pandemic. Methods: Data were gathered from thirty-six K-10 students organized into homework packet and homework leniency groups. Their literacy skills and ASR were assessed before and after the study. Due to schools’ closure during the COVID-19 pandemic, both groups participated in distance learning courses delivered via the national mobile-based LMS. Concussions: The results primarily revealed a significant development in the reading and writing skills of the homework-packet group. Despite the marginal difference between the reading performance of high and low self-regulated participants of both homework conditions at the end of the study, a significant difference in the development of the writing skills of high self-regulated participants of the homework-packet condition was observed. Implications: The critical role of homework strictness in online courses and promoting learners’ self-regulation skills to benefit from the assigned homework, particularly in teaching writing, is underscored.
Introduction
The COVID-19 pandemic outbreak in 2019 has had a far-reaching impact on personal, social, and professional aspects of people’s lives across the world. One of the most disastrous consequences of the widespread lockdowns was school closures and halting the traditional education by replacing it with distance education and online learning. In spite of the fact that many governments considered the establishment or development of e-learning as a significant national priority to speed up this shift, the pandemic has influenced the quality of education in many respects. The rate of dropouts and absenteeism in online sessions has increased dramatically in many countries. Even those who attend remote schooling show more symptoms of stress and anxiety and have lower learning motivation (Di Pietro et al., 2020). Due to social distancing, all teachings and class participation, interaction, and collaboration are now done in online environments. In this way, real social education has turned into virtual social education, affecting students’ achievement, and learning as students may spend less time studying than when they attend school (Huber et al., 2020).
Paradoxically, previous research is indicative of the abundant advantages of online courses for students and teachers. This includes flexible and personalized instruction as well as anywhere-anytime learning that assists students in having a more convenient learning experience (Davidson-Shivers et al., 2018). Preparing an online course needs so much forethought and preparation that explains this seeming paradox. One should note that critical issues such as organizational support systems, teachers’ readiness and IT literacy, technological infrastructures, parents’ socioeconomic status and involvement in their children’s education, and students’ attitudes, learning preferences, and technology access and use affect the success of online courses. Further, the sad truth is that the dropout rate of online courses has already been reported to be 10% to 20% higher than traditional face-to-face courses (Stover, 2005). Sometimes in these courses, students feel psychologically isolated and detached from the learning community and do not receive the support they deserve from their teacher or peers (Arbaugh, 2001). This may lead to confusion about the instruction and eventually bring about more absenteeism or dropping out of the remote school. These findings alarm educationists about how teachers should prepare instructional materials and monitor students’ learning and achievement by assigning regular tasks to promote self-regulated and autonomous learning in online learning environments. When students believe they do not own the required time management or study skills for online courses, they may quit the course (Irvin et al., 2009).
As an essential component of the academic process, homework can support online learning by consolidating what the students learn in class and extending the learning process outside the class (Perrenoud, 1995). Homework helps students develop their study skills and habits (Bempechat, 2004), fosters independence and responsibility (McPherson, 2020), and motivates students to learn (Blazer, 2009). Through assignments, the teacher can reinforce learning and help students promote their self-directed and self-paced work capacities (Cooper et al., 2006).
Despite the obvious advantages of homework for beneficiaries of the educational system, mixed findings regarding the effect of homework on students’ achievement are reported in the literature. In this framework, the inconsistencies regarding the predictive role of homework duration and frequency in students’ learning outcomes (Cooper et al., 2006) have provoked interest in the interdependence between homework characteristics and its efficacy (Magalhães et al., 2020). Implementing different homework policies to define homework characteristics through delineating diverse task goals and objectives, time, and type, as well as monitoring and evaluation procedures and teacher/parent involvement (Pfeiffer, 2018) would lead to varying degrees of students’ engagement in doing the tasks and motivation to complete homework.
This assumption is supported by recent models of homework that take into account the theories of Expectancy-Value (Eccles & Wigfield, 2002) and self-efficacy (Bandura, 1997) underscoring the fact that “students’ homework effort is influenced by expectancy and value beliefs” (Trautwein et al., 2006, p. 438). Considering the fact that homework is done outside the classroom, its completion entirely depends on students’ motivation and needs to do the tasks successfully (Trautwein, 2007). This demands the formulation of a homework policy that would create and assign meaningful activities to assist students in reaching their goals by raising their self-regulatory skills. In this scheme, the leniency versus strictness homework policy operationalized in terms of homework quantity, quality, teacher feedback, and task type is a contentious issue. From a humanistic point of view, homework leniency and flexibility, particularly when students are demotivated or under emotional pressure, are preferable to strictness policy. This leniency would strengthen the teacher-student relationship and encourage students to work harder (Gonser, 2021). On the other hand, a lenient policy can have the effect of increasing procrastination that in the short and long runs may harm students’ mental health and cause higher levels of stress and depression; and ultimately may lead to bad habits in further academic and professional careers (Sathe, 2019).
Despite relatively rich literature on the merits and demerits of homework assignments for students’ learning in face-to-face classes, studies on the effects of homework policy on learning achievement in online courses are rare, particularly when the students’ self-regulation skills are considered. The need to address this issue is vital at present due to the diverse academic and personal challenges students face amid the COVID-19 pandemic (Oyedotun, 2020), especially in underdeveloped and developing countries.
As a result, the current study probes into the impact of homework policy on EFL learners’ literacy development in a distance learning course during the pandemic in Iran, considering the participants’ level of academic self-regulation. The goal of this study is twofold:
a. comparing the effects of two practice conditions, homework-packet assignment versus homework leniency, on the development of EFL learners’ literacy (reading and writing) in a distance learning course, and
b. incorporating the participants’ levels of self-regulation into the design of the study and comparing the effects of two practice conditions on the development of their English literacy (reading and writing) in a distance learning course.
Review of Literature
The Role of Homework in Learning Gains
Homework is an essential component of teaching that extends the instruction beyond the class for practice and reinforcement of the learned materials (Dodson, 2014); and paves the way for diagnosing students’ problems and promoting their skill proficiency (Blazer, 2009). As a set of activities that are to be fulfilled by students without teachers’ direct supervision, homework is also seen to have non-instructional purposes such as improving proper study skills and independent learning (Cooper et al., 2006); and assisting students to gain and develop management/organizational skills, perseverance, sense of responsibly, and self-confidence (Blazer, 2009).
The effectiveness of homework as an instructional tool, however, has been a contentious issue among educators for decades and empirical studies on homework and its benefits and/or drawbacks have a history of around 100 years (Hagan, 1927, as cited in Cooper et al., 2006). Most stakeholders of the education system hold both positive and negative attitudes toward homework, whether it should be assigned at all, and how much of it is enough. This love-hate relationship with homework seems to develop under the influence of educational paradigm shifts and social and political issues at the local and international levels.
To provide conclusive evidence for the positive effects of homework on learning gains and have an overall picture of the situation, some researchers have carried out review studies within a given period of time. Cooper (1989), for instance in an early review study, analyzed 20 studies done from 1962 to 1986 and found that high school students who did homework outperformed those no-homework classes in standardized tests or grades. In another systematic review study, Cooper et al. (2006) reviewed the studies done on homework from 1987 to 2003 and reported a positive effect of homework on achievement, emphasizing the fact that in higher grades this correlation was stronger. Similarly, Blazer (2009) reviewed the literature on homework in the United States showing that the majority of parents, students, and teachers hold positive attitudes toward homework; believe that homework load is suitable, and think that homework helps students do well in school. It was also reported that in spite of the media reports, students are not overburdened with homework and inconclusive results about the role of homework in achievement are related to certain factors such as the grade level, test types, amount of homework, and homework type.
While plenty of research studies support a significant association between homework and learning achievement, the number of studies that cast doubt on the effectiveness of homework is not rare as well. Certain complaints about homework such as the burden on parents, stress for children, family conflict, less time for other activities, and less interest in learning are reported regarding homework assignments (Kohn, 2006). Some critics of homework believe that this complication should be interpreted within individual and contextual variables; and factors such as the load of the homework, its type, the age of the students, teacher feedback on homework, and the media of presenting the homework should be taken into account. In support of this issue, Bryan et al.’s (2001) study showed that the type of homework and its purpose can impact students’ attitudes to homework. Also, Cooper et al. (2000) reported that the level of education (elementary to junior high school) affects students’ ideas about homework and consequently can change the dynamics of homework practices.
It is evident that students’ problems with homework are often deeply rooted in their attitudes to homework including “their experiences that lead to success or failure, their personal expectations and standards for performance, and confidence in their ability to do well” (Letterman, 2013, p. 113). To address this matter, pedagogues have called for a reevaluation of homework by creating assignments that are “stimulating and provocative rather than banal” (Gardner, 2000, as cited in Painter, 2003, p. 8). In this framework, homework is expected to be interesting, relevant to student’s needs and learning preferences, and manageable in terms of time (Painter, 2003). It is necessary to develop strategies so that homework addresses the genuine needs of the students and can truly be an opportunity for their academic success (Costa et al., 2016). In this way, students are motivated to do their homework regularly and carefully without copying from other students or sources. More benefit for homework is reported when the assignments are appropriate and meaningful for students (Letterman, 2013); and that effort spent on homework correlates stronger with achievement in comparison to time spent on homework (Canadian Council on Learning, 2009).
The Role of Homework in Developing Language Skills
The vital role of homework in some school subjects such as mathematics, science, and language arts is evident in the literature. In the same vein, success in foreign language learning requires daily practice through widespread educational activities in class or at home. As a result, almost all foreign language teachers believe that “daily practice of the foreign language through homework is a vital component of success in language learning” (Wallinger, 2000, p. 483). Due to this importance, most EFL textbooks are published with a workbook and a variety of activities that are supposed to be done outside the class. In spite of this, research on the educational value of homework in foreign language learning is limited.
In an early study on homework in language classes, Kazmierzak (1994) reported that the type of homework assignment is more important than the time spent on homework or its completion. Writing homework that helped individualized learning and had written feedback on were found to be the most useful assignments for students in a German language class. In another study, Wallinger (1997) asked language teachers to express their beliefs and thoughts about homework in language classes. The teachers believed that as oral skills (speaking and listening) are worked on in class time, homework is good to practice the skills that are overlooked in class time including reading and writing. They also believed that for beginners the most useful homework should be for practicing grammar and vocabulary.
Similarly, Wallinger (2000) examined the role of homework in foreign language teaching and learning by analyzing the amount of homework foreign language teachers assigned to their students. The results showed that foreign language teachers at all levels strongly believed that homework is essential to language teaching and learning. Homework in lower-level classes included rote exercises while in upper-level classes assisted students to integrate and apply the language skills they were learning. Swezey (2004) compared the effects of learning-style self-awareness and homework prescriptions with traditional homework on learning achievement in mathematics and language arts. Their findings showed that the experimental group did better in all achievement and attitude outcomes in both school subjects in comparison to students in the control group.
Minotti (2005) investigated the effects of individualized learning style-based homework prescriptions on the math, language arts, science, and social studies achievement and attitudes of students. It was found that while both groups made statistically significant gains in all four content areas, the learning styles homework group outperformed the control group in all four areas. Similarly, Pool (2005) reported that a homework intervention program significantly impacted homework completion and follow-up achievement in reading and math on standardized tests.
Amiryousefi (2016) examined both EFL teachers’ and learners’ attitudes toward English homework. Results revealed that English homework can help EFL learners with their language learning and enables them to improve their reading, writing, vocabulary, and grammar. They, however, believed that the homework assignments that are now used are not very interesting and cannot help EFL learners improve all their English skills. Bolton (2018) investigated the impact of assigning leveled books and reading responses as homework on reading comprehension. The results revealed that the homework reading program did show a significant impact on students’ reading level growth but not on their reading comprehension scores. It was also found that the homework groups were more motivated to read and do the activities.
Reynolds and Shih (2019) studied English reading skill-based instruction in addition to completing homework requiring the construction and review of 100 vocabulary word cards for unknown words incidentally encountered during class reading versus skill-based instruction. Significant differences in L2 reading proficiency and vocabulary acquisition were shown in favor of the intervention group while only a negligible growth in second language vocabulary size was shown for both groups.
Borzabadi and Rajaei (2021) examined the effect of different types of homework on learners’ language achievement and motivation including practice, preparation, extensive, guided discovery, real-world, and project homework. It was found that the group with extensive homework outperformed other groups in the oral exam and had the highest level of motivation. Similarly, Rodríguez-Fuentes and Swatek (2021) investigated the impact of two types of homework, that is, a corpus-informed textbook and a traditional grammar self-reference book on grammar learning of learners of English as a second language. The results showed that the corpus-informed textbook offered more straightforward cues to students to incorporate certain lexical bundles, collocations, and grammar structures into their L2 performance, particularly in the use of the target construction.
Akopyan and Saks (2022) examined the effects of practicing reading through a designed web-based reading platform on improving learners’ English reading skills with the intent to transform them into self-regulated reading skills. The results showed that the platform contributes to the advancement of L2 reading skills of the students, encourages changes in their L2 reading behavior, fosters metacognitive abilities, and reinforces intrinsic reading motivation.
Despite the key role of practice in learning English as a source of comprehensible input and output, research on the effectiveness of outside-class activities is rather scarce in L2 literature. As the above review shows, those few studies that have worked on homework in this domain have primarily focused on homework type and the issue of homework policy in L2 classes is still open to further research.
Distance Learning and Educational Disruption
Distance learning is generally defined as “instruction that exists where instructors and learners are separated by time and/or location” (Davidson-Shivers et al, 2018, p. 6). Since its long journey from correspondence courses in the 1800s to web-based instructions in the 20th century, its first and most universal use has taken place during the COVID-19 pandemic while more than 1.6 billion students in 190 countries started using online courses of different types. Many instructors and teachers experienced their first participation in online courses at this time and many of these courses commenced with haste and minimum preparation. As a result, the mismanagement of the crisis caused lots of confusion and dissatisfaction with respect to delivering instructional content, administering exams, and keeping students engaged in classes (Engelhardt et al., 2021).
In this situation, teachers bear intense pressure of redesigning their instructional materials to be suitable for online teaching. Limited access to ICT devices, low quality of the Internet connection, bureaucratic, and often illogical decisions of the administrators as well as students’ issues with device and connection access, absenteeism, and cheating in tests or assignments damaged teaching and learning efficiency badly. This brought about anxiety, stress, and depression for many experienced and exemplary teachers whose teaching was now put under the microscope not only by the students and parents but a universal audience. In this situation “COVID-19 can be considered as a stress test” (Daumiller et al., 2021, p. 2) for teachers and educators.
At the same time, economic problems and the unemployment rate during the pandemic have impacted many families’ lives immensely. Students have become more involved in their family’s problems and challenges as they are at home most of the time. Some children may be prone to abuse and violence (de Miranda et al., 2020) and are forced to work part-time. They experience higher levels of anxiety and pressure as a result of family, academic, social, and personal issues. In this situation, many teachers show caring behavior and emotional leniency to instructional procedures and activities such as class presence, test participation, or assignment completion. Unfortunately, when students are not trained to be autonomous and self-directed, loosening the teacher’s control of their study time and reducing the amount of out-of-class activities may lead to learning disruption (Alpert et al., 2016).
The quality of students’ schoolwork during the pandemic has been examined by a few studies. Amir et al. (2020) evaluated Indonesian students’ perspective of online learning during the pandemic and reported lower learning satisfaction felt by the students and more difficult communication either with instructors or with peer students in distance learning. Student readiness to distance learning, time management, difficulty to stay focused for long online learning duration, and stress were also among the challenges the students faced during this type of instruction. In another study, Debbarma and Durai (2021) examined the causes of educational disruption among Indian students during the pandemic. They found that due to the emotional distress caused by the pandemic the students fail to concentrate on their studies, and due to the closure of educational institutions they have become uncertain of their future plans. Lack of communication resources and financial support are among other sources of educational disruption.
Barrot et al. (2021) examined the experience of online teaching during the pandemic among students in the Philippines. The greatest challenge of the students was found to be their learning environment at home, while their least challenge was technological literacy and competency. The findings also revealed that the COVID-19 pandemic had a great impact on the quality of the learning experience and students’ mental health. The sources of their anxiety included the threats of COVID-19 itself as well as social and physical restrictions, unfamiliarity with new learning platforms, technical issues, and concerns about financial resources.
Howard et al. (2021) investigated the changes in students’ learning in England over the duration of the COVID-19 pandemic. Their findings showed that learning has been generally disrupted for most students during the pandemic. While for a small proportion, learning has been severely disrupted, for some others there have been some learning gains. Most learning losses are reported to be in literacy and math. Practical qualifications and practical aspects of courses have also been particularly disrupted and learning has been the most disrupted for the most deprived and disadvantaged students, and least disrupted for socioeconomically advantaged students.
Despite these studies on students’ problems during the pandemic and the status of educational disruptions, it is still unknown if teachers’ and administrators’ homework policy and their tendency to leniency or strictness could have any impacts on students’ learning outcomes. It is logical to hypothesize that a homework policy would be one possible way to alleviate the educational or psychological problems caused by the dramatic changes in the learning environment and teaching medium during the COVID-19 pandemic and assist students in gaining better results from the instruction.
The Context of the Study
Iran, a country in southwest Asia, has faced five waves of the coronavirus pandemic since the official cases were reported in the country in February 2020. The country is amid the 5th wave and social distancing and wearing masks are still mandatory. The schools were closed since the outbreak of COVID-19 and more than 15,000,000 students experienced remote learning. The students attended the schools on very limited days just for comprehensive exams till the end of the academic year in June 2021.
Method
Participants
Thirty-six K-10 students participated in the study. They were taking part in emergency remote learning in the academic year 2020 to 2021 during the COVID-19 pandemic. For the purpose of this study, the participants were organized into two groups: the homework-packet group (
Instrumentation
B1 Preliminary
B1 Preliminary “is an intermediate level qualification in practical everyday English language skills” (Cambridge English Qualifications, 2020, p. 1) delivered by Cambridge Assessment English. Observing the criteria of the Common European Framework of Reference (CEFR), there are three broad levels of proficiency and six associated tests in Cambridge English Qualifications: basic (A1 and A2), independent (B1 and B2), and proficient (C1 and C2).
B1 Preliminary has four papers that evaluate both receptive (listening and reading comprehension) and productive (writing and speaking) language skills. The writing and reading papers of the B1 Preliminary English Test were used as the pre-test and post-test before and after the study to assess the participants’ literacy skills. The details of these papers are summarized in Table 1.
B1 Preliminary Reading and Writing Papers (Cambridge English Qualifications, 2020, pp. 7, 20).
The reliability of the reading paper was estimated by KR-21 and found to be .85 and .88 for the pre-test and post-test respectively. The intra-rater reliability of the writing paper was found to be .91 and .87 for the pre-test and post-test, respectively
Academic Self-regulated Learning Scale (A-SRL-S)
To assess participants’ academic self-regulation, the academic self-regulation scale (A-SRL-S) was used (Magno, 2011). The scale has 55 items and 7 factors: memory strategy, goal setting, self-evaluation, seeking assistance, environmental structuring, learning responsibility, and organizing. The items are anchored on a four-point Likert scale from 1 (strongly disagree) to 4 (strongly agree).
The Persian version of the scale has been used among Iranian participants and its reliability has been reported to be .76 for the whole scale and .91, .88, .83, .87, .86, .8, and .81 for the components respectively (Meidani & Sharifi, 2015). In this study, the reliability of the scale was estimated to be .85.
The Textbook
Secondary high-school students in Iran study Vision Series (1, 2, and 3), the EFL textbooks developed by the local experts based on “an adapted version of communicative approach labelled ‘the self-esteemed and active approach’” (Rahimi & Alavi, 2017, p. 486). The books have been designed based on Nation’s four strands proposition (Nation, 2007) where all four language skills are important to be mastered. At the end of the EFL curriculum that lasts 6 years, the students are expected to use English competently for different communicative purposes.
The assigned book for K-10 grade in the educational system is Vison 1 (Alavi Moghaddam et al., 2018a). The book has four lessons with the following themes: saving nature, wonders of creation, value of knowledge, and traveling the world. Each lesson has seven main sections that focus on teaching four macro language skills (listening, speaking, reading, and writing) and three language micro-skills (vocabulary, grammar, and pronunciation). Two sections, one at the beginning and one at the end of the lesson, focus on previewing and reviewing the lesson.
The LMS
To hold the ERT, the official LMS of the Ministry of Education labeled SHAAD (Student Education Network) was used. SHAAD is one of the largest interactive applications in Iran as more than 15 million users are active in this digital ecosystem. SHAAD is a virtual school and principals, teachers, and students have access to their own administrative and educational dashboards. All teachings, instructional materials, and homework are delivered in this LMS by teachers. The students have access to the educational content via the student panel and can deliver their homework and assignments in the LMS.
Homework
Homework for the Leniency Group
The homework-leniency group was asked to do the activities of their workbook outside the class for practicing what was taught in the class. The textbook Vision 1 is accompanied by a workbook (Alavi Moghaddam et al., 2018b) that provides students with practice opportunities after the instruction. The activities of the workbook have roughly good correspondence with the textbook and consist of five parts. The details of the workbook activities are summarized in Table 2.
Workbook Activities, and Their Cognitive Process Dimensions, for the Homework-Leniency Group.
As can be seen in Table 2, the activities of the homework mostly cover two initial levels of Bloom’s taxonomy of cognitive processes including remembering and understanding that focus on lower-order thinking skills. Since the number of activities was limited, the students were not required to spend a lot of time doing them. The students were instructed to upload their assignments into the LMS.
Homework for the Packet Group
The homework-packets group received worksheets designed carefully by the teacher based on Bloom’s taxonomy to provide students of this group with both lower and higher-order thinking skills in their after-class practice time (Table 3). The students were supposed to spend quality time on doing the assignments at home and then upload them into the LMS.
Sample Activities and Their Cognitive Process Dimensions for the Homework-Packet Group.
Research Design
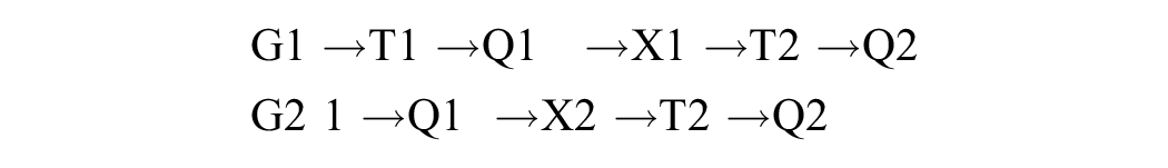
Pre-test-post-test control group research design was used to carry out the current study. The schematic representation of the research design is as follows:
Where:
G1 is the homework-packet group
G2 is the homework leniency group
T1 is reading and writing pre-test administration
Q1 is A-SRL-S pre-test administration
X1 is the homework strictness policy
X2 is the homework leniency policy
T2 is reading and writing post-test administration
Q2 is A-SRL-S post-test administration
Procedure
Prior to the study, both groups participated in B1 Preliminary and completed A-SRL-S. Both groups received instruction based on the Communicative Language Teaching (CLT) approach and studied the same textbook.
Each main section of the lesson was taught based on the ESA (Engagement, Study, Activate) cycle (Harmer, 2000) where first the students’ interest in the point was aroused, then the point was taught by utilizing a variety of techniques, and ultimately the students were provided with practice opportunities inside and outside the class.
In the current study, the Engagement and Study phases were implemented in the same way in both classes. The Activate phase was designed and executed based on two different homework policies, that is, leniency versus strictness. Homework policy was operationalized in terms of homework quantity, quality, time allocation, and monitoring and evaluation procedure (Table 4).
Operationalization of Homework Policy.
Activate Phase of the Leniency Group
The students were asked to upload their homework before the deadline into the LMS. The teacher extended the deadline three times. Then she corrected the assignments and recorded the results into the system. She reviewed the homework in one online class session and reminded students of their mistakes. The students’ scores were not considered in the evaluation scheme.
Activate Phase of the Packet Group
The students were asked to upload their homework before the deadline into the LMS. No leniency was shown in extending the submission deadline. One session was spent on giving feedback to students in the class while all activities were checked one by one. The students could work collaboratively and peer feedback was welcomed. The students’ scores were considered in the formative evaluation scheme.
At the end of the experiment, both groups took part in B1 Preliminary and completed A-SRL-S again. The gathered data were inserted into SPSS 24 for running descriptive and inferential statistics. First, a multivariate analysis of variance (MANOVA) was run on pre-test scores of reading and writing papers to examine the homogeneity of both groups regarding their English literacy prior to the experiment. Then a two-way analysis of variance (ANOVA) was run to compare the groups’ post-test scores, by taking into account their academic self-regulation levels, to examine the effectiveness of the intervention in the participants’ development of English literacy. The graphical representation of the procedure of the study is displayed in Figure 1.

The graphical representation of the research procedure.
Results
First, the entry-level English literacy of both groups was assessed before the study by conducting a MANOVA. No significant difference between the means of the groups was found (Wilks’ Lambda = .849,
To examine the participants’ development of literacy at the end of the experiment, a two-way analysis of variance (ANOVA) was conducted on both groups’ reading and writing post-test scores. In this analysis, B1 Preliminary served as the dependent variable, and type of instruction (two levels: homework-packet and homework-leniency) and self-regulation (two levels: high and low) were the independent variables. The two-way analysis of variance technique is normally used to look at the individual and joint effect of two independent variables on one dependent variable (Pallant, 2020).
Before running the main ANOVA, Tests of normality and Levene’s test for Equality of Variances were conducted. As Table 5 shows, Kolmogorov-Smirnov and Shapiro-Wilk statistics are less than the significance level (
Test of Normality of Reading and Writing Post-Test Scores.
Also, as Table 6 shows the results of Levene’s test for Equality of Variances for reading and writing post-test scores are not significant (
Levene’s Test of Equality of Error Variances.
As no violation of the assumptions was observed, the ANOVA was conducted. The result of multivariate tests revealed a significant difference between the two groups on the combined dependent variable for both the first main effect, that is, type of intervention (Wilks’ Lambda = .579,
As a significant result has been obtained on the multivariate test, each dependent variable (reading and writing) was tested separately (Table 7).
Multivariate Tests.
Examining the first main effect (type of intervention) (Table 7) suggested a statistically significant difference between the post-test scores of the two groups in both reading (
Descriptive Statistics of B1 Preliminary Post-Scores Across Two Groups.
Examining the second main effect (levels of self-regulation) (Table 7) revealed that the difference between writing post-test scores of the participants with different levels of self-regulation reached statistical significance (
Examining the descriptive statistics (Table 9) and profile plots (Figure 2a) supports a non-significance difference between reading mean values of highly and low self-regulated participants of homework-packet and homework-leniency groups.
Descriptive Statistics of B1 Preliminary Post-Scores Across Groups.

Profile plots for comparing the performance of groups in reading (a) and writing (b) papers.
However, as shown in Table 9 and profile plots (Figure 2b), the mean values of writing post-test scores of highly self-regulated participants in the homework-packet (Mean = 14.25,
Discussion
The current study examined the way teachers’ strictness or leniency on homework assignments affect the learners’ development of literacy (reading and writing) skills considering their level of academic self-regulation in an emergency remote learning during the COVID-19 pandemic.
The results primarily showed a significant difference between the two groups’ performance in reading and writing post-tests in favor of the homework-packet group. In other words, the homework practices that were developed carefully based on a sound theoretical framework, and addressed the learning needs of the students contributed more to the development of the learners’ literacy skills in a distance course. The importance of regular and well-developed homework in boosting academic success and promoting learning outcomes in online courses is evident (Rahimi & Miri, 2014). What this finding adds to the homework literature is that homework strictness is not harmful to students’ learning motivation when their preferences and needs are addressed in the process of designing the homework assignments. This finding is supported by what Tuncer and Karataş (2022) reported as ELT students’ recommendations for homework for the development of their language skills in the ERT during the COVID-19 pandemic. The students demanded to have a fair amount of homework that is, interesting, related to their needs, and promote their creativity. They also asked for clear instructions for homework, activities, and tasks.
The study also shed light on the mixed findings of other researchers with respect to the educational values of homework and shows that concentrated effort and quality time invested in doing homework are predictors of achievement (e.g., Cooper et al., 2006). The value of online assignments in comparison to traditional ones has been supported by different empirical and review studies (e.g., Magalhães et al., 2020). This benefit is specifically reflected in the findings of those works that reported significant improvement in literacy skills among language learners as a result of incorporating online extensive reading activities into the ERT (e.g., Akopyan & Saks, 2022; Meinawati et al., 2021).
It was further found that more self-regulated participants outperformed low self-regulated students in developing their writing skills in the homework-packet condition. This finding can be interpreted by focusing on the interplay between self-regulation, online instruction, writing skills, and homework policy. First and foremost, the vital role of self-regulatory skills in doing online activities is underscored by many studies. The reason is that, in distance education, in contrast to face-to-face instruction, teachers’ support in terms of monitoring, giving feedback, interacting, and directing as well as peers’ emotional and motivational support are missing, and as a result course preparation and implementation need careful consideration of self-regulatory skills (Edisherashvili et al., 2022). Further, self-regulation is the requirement for successful language learning as self-regulated students are “proactive in their efforts to learn because they are aware of their strengths and limitations and because they are guided by personally set goals and task-related strategies” (Zimmerman, 2000, p. 14). Self-regulated learners are aware of their learning needs, and are more intrinsically motivated to reach their goals as they are aware of how to regulate their learning and manage the learning task and thus do better in their learning. This happens because “self-regulated learners monitor their work, which provides internal feedback on progress” (Ramdass & Zimmerman, 2011, p. 198). This finding shows that for the success of emergency remote learning, the students should be trained with self-regulation practices to be able to do their tasks and assignments in the virtual class and out of it as certain types of self-regulatory strategies are required in the ERT that are dependent on the subject matter and students’ variations (Carter et al., 2020). Self-regulation training and guidance for online courses can improve learners’ comprehension, transfer them from dependent to independent readers, and develop their learning skills (Hawamleh et al., 2022).
Second, the role of self-regulation skills in the writing process is evident in the literature. Homework plays a great role in mastering writing as a process. Writing consists of certain components including choosing the topic, outlining, writing the first draft, editing, and writing the final draft. The whole process needs to be carefully planned, organized, and managed in a way that each step is completed in an appropriate manner and thus the final product is fabricated. In this way, the students are expected to be responsible for their writing from the beginning up to the end and express their thoughts and feelings as they desire (Brown, 2001). The responsibility of writing demands high self-regulation skills from the side of students to be able to plan, regulate, and finalize the writing task. The benefit of deploying self-regulatory skills in online writing courses is also evident in the literature. It is suggested that when students use self-regulated learning strategies in learning writing via online instruction, they can control their performance and benefit from online learning by adjusting their behaviors (Imani & Emaliana, 2021). It is also set forth that the deployment of self-regulatory strategies in revising writing assignments increases when feedback comes from sources of teachers and peers (Tian et al., 2022). This can be one possible reason for the development of writing skills among highly self-regulated skills in the packet group in the current study.
Third, it should be noted that although some studies recommend educators show compassion and empathy during the ERT (Hodges & Barbour, 2021), consideration of students’ self-regulatory skills and how they can be responsible for their learning should not be overlooked. As the findings of this study clearly show, students with more self-regulated skills benefit from less flexible and more organized assignments. Students who lack self-regulatory skills would suffer seriously from the flexibility of education during remote teaching if they are trained to be self-regulated. The finding is in agreement with the literature that self-regulation is an essential factor for learners’ success in emergency remote learning (Alhazbi & Hasan, 2021; Carter et al., 2020) and that more self-regulated students have higher learning achievement.
Conclusions
The results of the study primarily supported the effectiveness of homework strictness in the development of literacy skills among students in comparison to homework leniency in the adverse conditions of the COVID-19 pandemic. Further, it was found that self-regulated learners benefited more from the homework-packet condition to improve their writing skills.
What can be concluded from the finding is that despite some educators’ recommendations for showing empathy and leniency in adverse conditions, strictness in homework policy is essentially required in online classes. Needless to say, being a strict teacher does not necessarily mean being cruel and indifferent to the needs of the students. On the contrary, a homework policy that is formulated based on a deep understanding of students’ needs and preferences would ultimately impact their learning gains in a positive manner. In other words, realistic conditions for doing the homework such as the required time, the students’ levels, their study skills abilities and parental involvement, and teachers’ competencies should be taken into account while educational policies are adopted and implemented. Based on the results of the current study, operationalizing strictness in terms of practical criteria such as homework quality, quantity, and evaluation procedure would assist students in increasing their learning outcomes and reaching their goals. It is also inferred from the findings that promoting students’ self-regulatory skills in online classes is a must to help them manage their own learning outside the classroom, even if they live in a critical condition like the COVID-19 pandemic. One main reason for students’ educational disruption during the pandemic is reported to be the home learning environment and lack of support from teachers and peers. In this situation, in line with the expectancy-value and self-efficacy theories, students are required to become aware of their own needs, strengths, and weaknesses to be able to regulate their own learning process and guarantee their future success by overcoming the challenges they face in the ERT. The findings of the current study should be interpreted by considering the limitations the researchers faced during carrying out the study. First and foremost, due to the type of instruction (ERT) and the assignment of students into classes by the school principals, the researchers could not manage to recruit a large sample size. Further, students from different grades, language proficiency levels, and socioeconomic status could not be included in the design of the study. Last but not least, all online classes were held in the official LMS of the Ministry of Education and no other platforms were allowed to be used. Therefore, both students and the teacher sometimes faced limitations in communicating or interacting as a result of system breakdown.
Footnotes
Declaration of Conflicting Interests
The author(s) declared no potential conflicts of interest with respect to the research, authorship, and/or publication of this article.
Funding
The author(s) received no financial support for the research, authorship, and/or publication of this article.
Research Ethics
The participants took part in the study voluntarily and with informed consent. To ensure confidentiality, their personal identifiers were removed prior to processing the data.
Data Availability
The data are available by contacting the corresponding author.
