Abstract
In this study, research materials for the spatial concentration and utilization sharing of research equipment were surveyed, and then the effect factor and the effectiveness were analyzed based on the research results. Also, information regarding research result creation was provided through research equipment utilization sharing. The research results of 100 researchers (25 national research institutes in the Ministry of Science, ICT (Information and Communications Technologies), and Future Planning of South Korea) were chosen for the effect analysis. For the study results, the medicine and pharmacy researchers showed better performance in research equipment utilization sharing than the natural science and engineering researchers. The number of research paper coauthors and the research equipment utilization sharing execution policy of research institutes influenced the rate of research equipment utilization sharing. The research field, the number of research paper coauthors, the research equipment utilization sharing execution policy of research institutes, and the research institute characteristics influenced the utilization sharing of research equipment in the research environment. Also, the utilization sharing of research equipment was statistically significantly influenced by the number of research papers and the impact factor (IF). The utilization sharing of research equipment was not statistically significantly influenced, however, by the IF mean. In this study, the quantitative performance index was found to be effective, and the qualitative performance index was found to be ineffective. In the analysis model, when the researchers followed the research equipment utilization sharing execution policy of the research institutes, the research results improved.
Keywords
Introduction
The national research facility and equipment budget in the South Korean government’s research and development (R & D) budget (US$5,855,883,611) for 5 years (2010–2014) was 5.6% (US$327,929,482). The Ministry of Science, ICT (Information and Communications Technologies), and Future Planning of South Korea continually tried to expand the research facility and equipment investment (2013, 4.8% → 2014, 3.9%) and the research equipment utilization sharing acceptance (2013, 59.7% → 2014, 60.5%). The said ministry has actively embarked on effective investment in and utilization sharing of the national research facilities and equipment (National Science & Technology Council, 2015). Also, the national research facilities and equipment have been opened to public use and sharing to produce synergy and for growth promotion. Research equipment are classified into solo research equipment and research equipment for utilization sharing. The research equipment for utilization sharing are classified into the general research equipment, sectorial research equipment, and exclusive research equipment. The research equipment spatial concentration model is shown in Figure 1. The spatial concentration classification system of research equipment is presented in Table 1. The national research institutes of South Korea have spatially concentrated the country’s research equipment through the corresponding annual plan. The Ministry of Science, ICT (Information and Communications Technologies), and Future Planning of South Korea selected excellent institutes for the utilization sharing service of research equipment, and then the selected institutes were designated as national research equipment centers in 2015 and have been serving as such ever since. Also, Open Lab construction has been promoted through the consigned management expansion of the enterprise and the service-oriented design. The research equipment utilization capacity service is deliberated on and is reflected in the research plan in the R & D planning. Integrated procurement of research equipment has been performed based on the results of a research equipment demand survey. Also, the exclusive organization of research equipment and manager appointment is needed in research institutes. Spatial concentration opening and research equipment utilization sharing are needed to produce synergy and for R & D growth promotion. For these, research institutes need research operation that is committed to the research institute of the service enterprise of the research equipment. Also, research institutes need high-quality test and data analysis service provision.

Research equipment spatial concentration model.
Spatial concentration classification of research equipment.
In this article, the effectiveness of the research results for the research institute and the researcher was verified through the analysis of the effect of the research results on research equipment spatial concentration and utilization sharing. Also, the contribution of the research results and the research productivity to the utilization sharing of research equipment was confirmed. This article proposes research support policy implications for the utilization sharing of research equipment. This research has academic value owing to its analysis of the effect of research results and its data survey on the spatial concentration and utilization sharing of research equipment. Information was provided for research result creation through the utilization sharing of research equipment.
Conceptual research and analysis framework for research result management
The purpose of the analysis of research results is to conduct a survey on the quantitative performance, qualitative performance, and influence of the research results. 1 It includes the following questions: How many research results are going to be created? How many research results are more excellent compared to those of other research institutes? Also, research results could provide objective analysis data to policy makers, decision makers, and evaluators for research support and fairness of evaluation. The important purpose of the provision of research results is to provide technology trend information to researchers for research objectivity and direction setting. 2 Research result analysis is classified into elemental analysis and in-depth analysis. Elemental analysis provides technology trend information and the statuses of paper publications for major countries and research institutes, of collaborative research for major countries, of coauthors, and of major journals, among others, through descriptive statistics and citation analyses. 3 The research productivity (of a country, an institute, and a researcher) can be analyzed through the number of paper publications. 4 In-depth analysis analyzes the qualitative performance with regard to the influence and the ripple effect through citation analysis, citation mining, and social network analysis. The journal impact factor (JIF) and the citation index are utilized for the influence level analysis of research results. 5,6 The analysis framework of research results is shown in Figure 2.

Research result analysis framework.
Research result management
Research result management is focused on intellectual property (the research report, research paper, patent, etc.). 7 It discusses the securing, maintenance control, and utilization of intellectual property and is applied to the market efficiency principle for the government sector as well as to result-oriented management rather than investment management in the R & D policy. In general, the concept of research result including the valuable and creative knowledge is created on the research process. The valuable and creative knowledge can be openly utilized. The output of research result consists of the patent, the paper, and the product. Recently, the research result includes the outcome for the economic effect, the social effect, the scientific and technological innovation, and so on. The research result can create the new value through the R & D diffusion, the implementation, and the commercialization. The research result management can expand the R & D diffusion through the transaction, the transfer, and the distribution for research result. The market efficiency principle for the government sector as well as of result-oriented management is becoming more and more important because the research result management is aimed at the economic and social utilization of research result. 8 –11
Research result evaluation
Research result evaluation is focused on research project evaluation. 12 It considers the research objectives, expected results, and research result evaluation method of research projects. Also, it has been used for the measurement and evaluation of the mission accomplishment of research institutes and for the attainment of the objectives of R & D projects. 13 It is currently being actively applied to R & D program evaluation. In particular, economic-result measurement research has been performed in the OECD (Organization for Economic Cooperation and Development) countries for objective result measurement. 14
Research productivity index
In general, the research productivity index has been used for the quantitative analysis of research inputs and outputs. 15 Research results (papers, conference presentations, etc.) are surveyed, after which the ratio of data types is confirmed. Also, paper publication results are analyzed in terms of the research fund (the research cost support organization, the government research cost, the R & D cost, etc.). Most researchers announce the research fund, which is acknowledged by the research paper. The representative index is being used for the paper publication number analysis for the science citation index (SCI) journal of Thomson Reuters. 16 The number of paper publications of SCI can be analyzed through the research institute announcements. 17 The journal-to-field impact score (JFIS) can be used for the analysis of the qualitative productivity of the journal and of the number of papers published by the journal. Below is the detailed formula.
where FI is the mean citation number for publication journal
The JIF is used for measuring research results through journal paper number analysis (the top rank or the ranks in the top 5%). Below is the detailed formula.
where
The activity index (AI) is used for the comparative analysis of the research institute level and the global average R & D and technology level. Below is the detailed formula.
where
The relative AI (RAI) can be obtained through a detailed analysis of the research field level and the world standard. Below is the detailed formula.
where
Citation index
The citation index is widely utilized for quantitative and qualitative analyses. In general, the citation index is high for old research papers and differs from one research field to another. 18,19 Therefore, it is utilized for basic data research. Relative comparison is better than using the absolute standard for analysis of research results. The citation index is used for the normal analysis of research results. 20,21
The citations per publication (CPP) refers to the mean influence of the research paper. Below is the detailed formula.
where
The field citation score (FCS) is utilized for the research institute level and the world average. Below is the detailed formula.
where
The influence can be measured through the mean citation index of research papers. The field citation mean (FCSm) can be calculated through the citation number of the field concerned. Below is the detailed formula.
where
The h-index can be considered reflective of both the quantity and quality of a research institute’s research papers. It is the point at which the citation number is higher than or the same as the research paper number. The conceptual diagram of h-index is shown in Figure 3. The JIF indicates the relative importance of a journal for the research field.

Conceptual diagram of h-index.
where CI is the total citation number of
The journal citation score (JCS) is utilized to establish the result level of a research paper and is determined through the influence analysis of the research paper. Below is the detailed formula.
where
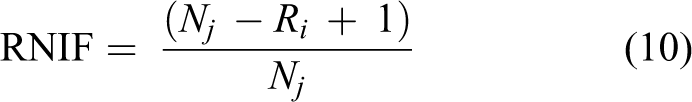
The rank-normalized IF (RNIF) can be determined through the journal rank and influence analysis. 22 Below is the detailed formula.
where
The scope-adjusted IF (SAIF) was devised for the fair evaluation of specific field journals. When the citation index of a specific field journal is high, the SAIF declines. Below is the detailed formula.
where JII is the journal influence index and CPN is the citation paper number.
The citation index of a specific field journal and the citation index of another same-field journal are compared. 21 Below is the detailed formula.
where MCI is the mean citation index, CPP is the citations per publication, and FCSm is the field citation mean.
Research result influence and spread effect analysis
The research result influence analysis method utilizes the citation information. 23,24 The paper publications of a journal are surveyed through influence measurement. Also, the qualitative influence is analyzed through excellent paper selection. The research result ripple effect analysis targets the economy, society, culture, technology, and so on and is focused on technologies and studies. 25 The IF information is collected for the calculation of the journal’s influence.
Research method for research result effect analysis
Research object and data collection
In this article, the research results of 100 researchers (25 national research institutes in the Ministry of Science, ICT (Information and Communications Technologies), and Future Planning of South Korea) were chosen for effect analysis (2015). All the researchers had a PhD in natural science, engineering, or agriculture, fisheries, and oceanography. This is based on the research result report (2016) of National Research Council of Science & Technology. Data on the research results on the spatial concentration and utilization sharing of research equipment were collected from 25 national research institutes.
Dependent variables
The dependent variables included the number of research papers, the average IF, and the sum of IF, which are presented in Table 2. Such dependent variables can show both the quantity and quality of research results. The number of research papers is a widely utilized variable. In this study, the number of SCI journals was utilized for 3 years (2013–2015). For the research variables, the average IF and the sum of IF was added to the JIF. The IF is the citation index of Thomson Reuters. It was calculated based on the citation number of a research paper for 2 years. The sum of IF indicates both the quantity and quality of research results.
Dependent variables.
IF: impact factor; SCI: science citation index.
Independent variables
The independent variables in this study are presented in Table 3. The spatial concentration and utilization sharing of research equipment are defined as the free provision of analysis support and utilization sharing service to researchers. In this study, the spatial concentration of research equipment refers to the number of research paper publications through the utilization sharing of research equipment. The research fields were natural science, engineering, and agriculture, fisheries, and oceanography. The research field was coding in preparation for medicine and pharmacy. The research environment consisted of the research fund and the number of coauthors. The research institute characteristics consisted of the research paper number per researcher, the research project number per researcher, and the research equipment utilization sharing execution policy.
Independent variables.
Two-stage least squares estimation using an instrumental variable
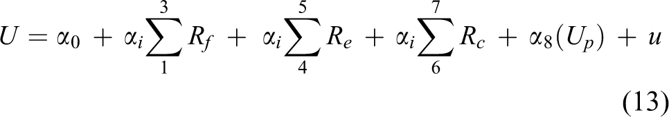
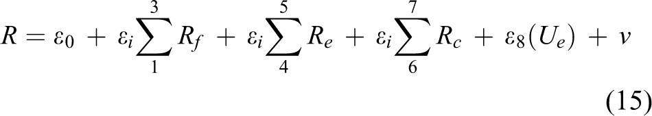
In this article, a verification model is proposed for the effect analysis of the research results on the spatial concentration and utilization sharing of research equipment. Below is the detailed formula for the spatial concentration and utilization sharing of research equipment.
where
Below is the detailed formula for the ordinary least squares (OLS).
where R is the research result,
When the regression coefficient of the variable is unreliable, two-stage least squares (2SLS) estimation is utilized through the instrumental variable. In 2SLS, the instrumental variable acts independently through one-stage least squares estimation. Also, the research equipment utilization sharing execution is limited to the external variation. It can explain the correlation of the error term (
where R is the research result,
The instrumental variable needs the correlation for the endogenous explanatory variable. When the
LSDV fixed-effect model
The least squares dummy variable (LSDV) is a statistical model that represents the observed quantities in terms of explanatory variables that are treated as if the quantities were nonrandom. This is in contrast to random effects models and mixed models in which either all or some of the explanatory variables are treated as if they arise from random causes. This model is called the fixed-effect model. 28 –31,32 The panel data analysis is a statistical method, widely used in social science, epidemiology, and econometrics, which deals with two and n-dimensional panel data. In the model of panel fixed effect, the term fixed effects estimator is used to refer to an estimator for the coefficients in the regression model. 33 In this article, the panel data and the mean were utilized for the research paper publication period. The LSDV fixed-effect model was utilized for the effect analysis of the research results for the spatial concentration and utilization sharing of research equipment. Therefore, the LSDV was utilized. Below is the detailed formula.
Research result effect analysis
The descriptive statistical analysis results for the research field are presented in Table 4. They show that there are 39 researchers (39%) in the engineering field, 35 (35%) in the medicine and pharmacy field, 19 (19%) in the natural science field, and 7 (7%) in the agriculture, fisheries, and oceanography field. The descriptive statistical analysis results for the research results, research environment, and research institutes, on the other hand, are presented in Table 5. They show that the researchers presented 15.3 papers on average for 3 years (2013–2015). This means that the researchers presented 5.1 papers on average for 1 year. The mean IF was thus 2.8, which is the average number of research papers completed by the researchers for 3 years (2013–2015). For the research fund, a log value was utilized for the actual analysis. The total research fund was US$6,051,000 on average for 3 years (2012–2014) and US$410,000 on average per year. The mean number of coauthors per year was 6.1 persons. The average number of research papers per researcher per year was 0.59, and the average number of research projects per researcher per year was 1.61. The cross-analysis results for research equipment utilization sharing and for the research equipment utilization sharing execution policy are presented in Table 6. They show that there were 82 researchers (82%) who published a research paper through research equipment utilization sharing. There were 77 researchers who officially claimed to have engaged in research equipment utilization sharing and 23 who claimed not to have done so. Based on the analysis results for the research equipment utilization sharing execution policy, it was found that the said policy promotes the utilization sharing of research equipment. The results of the mean difference analysis for the utilization sharing of research equipment are presented in Table 7. The research paper number, the mean IF, and the total IF had significant differences in terms of research equipment utilization sharing. The research equipment utilization sharing execution group had higher mean research result index values than the research equipment utilization sharing nonexecution group. Moreover, the research paper number and total IF values obtained by the research equipment utilization sharing execution group were twofold higher than those obtained by the research equipment utilization sharing nonexecution group. The difference in the mean IF value, however, was small. Based on these results, it can be said that the research equipment utilization sharing execution influenced the research results. There were significant differences between the natural science and engineering fields in terms of the independent variable values. This means that the variables have correlations. Also, the selection bias possibility can be suggested for research equipment utilization sharing. 2SLS was utilized for accurate analysis. The linear probability model and the probit for research equipment utilization sharing are shown in Table 8. Among the research fields studied, the correlation between the natural science and engineering fields was statistically significant. Also, such fields showed a strong possibility of being able to execute research equipment utilization sharing. In the agriculture, fisheries, and oceanography field, the rate of research equipment utilization sharing was lower, but the difference was not statistically significant. The number of coauthors showed a statistically significant correlation with the research execution. The research fund, research paper number per researcher, and research project number per researcher showed statistically insignificant correlations with the rate of research equipment utilization sharing. With regard to the research institute characteristics, the research equipment utilization sharing execution policy was a strong variable. The results of this study have academic value in that they verify the influence variable of research equipment utilization sharing.
Descriptive statistical analysis results for the research fields.
Descriptive statistical analysis results for the research results, research environment, and research institutes.
IF: impact factor.
Cross-analysis results for research equipment utilization sharing and the research equipment utilization sharing execution policy of research institutes.
Mean difference analysis results for research equipment utilization sharing.
IF: impact factor.
Linear probability model and probit for research equipment utilization sharing.
*
**
***
In this study, research equipment utilization sharing was the endogenous explanatory variable, and 2SLS was utilized for endogeneity control. The estimated effects of research equipment utilization sharing on the research paper number are presented in Table 9, along with the OLS analysis results. The
Estimated effect of research equipment utilization sharing on the research paper number.
OLS: ordinary least squares; 2SLS: two-stage least squares.
*
**
***
Estimated effect of research equipment utilization sharing on the mean IF.
IF: impact factor; OLS: ordinary least squares; 2SLS: two-stage least squares.
*
**
***
Estimated effect of research equipment utilization sharing on the total IF.
IF: impact factor; OLS: ordinary least squares; 2SLS: two-stage least squares.
*
**
***
Fixed-effect model of research equipment utilization sharing for research results.
IF: impact factor.
*
**
***
In this article, 2SLS was utilized for the effect and factor analysis of research results for the spatial concentration and utilization sharing of research equipment. The medicine and pharmacy researchers executed research equipment utilization sharing more often than the natural science and engineering researchers did. The number of coauthors of research papers and the research equipment utilization sharing execution policy of research institutes were influenced by the utilization sharing of research equipment. The research field, number of coauthors, and research equipment utilization sharing execution policy of institutes were influenced by the utilization sharing of research equipment in the research environment and by the research institute characteristics. Also, the utilization sharing of research equipment was statistically influenced by the research paper number and the IF but was not statistical significantly influenced by the mean IF. The quantitative performance index was effective, and the qualitative performance index was not. A comparative analysis of OLS and 2SLS estimation was performed for the effect and factor analysis of the research results for the spatial concentration and utilization sharing of research equipment. The analysis model for the instrument variable was more effective than OLS for the utilization sharing of the research equipment. The research equipment utilization sharing execution policy of institutes can greatly improve the research results.
Conclusions and policy implications
In this article, the effect analysis of research results and the characteristics of the research equipment utilization sharing of research institutes are discussed. Conclusions were drawn from the research results and their discussion. The first effect factors of research equipment utilization sharing were the research environment (the research field, research partner, and research equipment utilization sharing execution policy of institutes) and the research institute characteristics. The second effect factors were the research paper number and the IF. Research equipment utilization sharing was not statistically significantly influenced by the average IF. In conclusion, a number of policy implications can be proposed for the spatial concentration and utilization sharing of research equipment. First, a research equipment utilization sharing execution policy can be expected for research result enhancement. Utilization sharing of research equipment in accordance with the government R & D policy is needed for the efficient operation of research equipment. Utilization sharing of research equipment provides more opportunities for the research achievement and the research equipment can be based on the research result. In particular, utilization sharing of research equipment can provide the research opportunity for young researchers, and researchers can study without the research equipment. Also, utilization sharing of research can contribute to an increase in utilization rate and prevents usable idle research equipment and usable underutilized research equipment. Second, an ecosystem and platform can be constructed for connecting the service supply and demand through the utilization sharing of research equipment. This can contribute to generating research results for the R & D innovation system without having to buy research equipment. The R & D budget is reduced and the research efficiency can be increased through the utilization sharing of research equipment. Third, excellent research results can be created through the research equipment utilization sharing of research institutes and through the mutual cooperation among such institutes (test analysis information sharing, conference opening, and researcher networking). This can contribute globally to the research activity promotion, the research result sharing, and the new discovery. This research has academic value through the research result effect analysis and data survey results for the spatial concentration and utilization sharing of research equipment. An attempt at information provision for research result creation was attempted through the utilization sharing of research equipment. In this article, the research field is classified for the natural science, the engineering, the medicine and pharmacy, and the agriculture, fisheries, and oceanography. However, the research field is not evenly distributed. The distribution of research field is the research limitation of this study. In future, research will be conducted on the R & D budget, research network, research innovation cluster, equal distribution of research field, and research equipment platform for the spatial concentration and utilization sharing of research equipment.
Footnotes
Declaration of Conflicting Interests
The author(s) declared no potential conflicts of interest with respect to the research, authorship, and/or publication of this article.
Funding
The author(s) received no financial support for the research, authorship, and/or publication of this article.
