This article investigates uncertainty analysis for system with aleatory and epistemic uncertainties and defines a sensitivity analysis indicator to measure the effect of imprecise parameter with epistemic uncertainty on system output, and an efficient numerical simulation methodology is proposed to evaluate the uncertainty analysis and sensitivity analysis indicator. System inputs have aleatory uncertainties defined by probability density functions, and distribution parameters of probability density functions are imprecise due to epistemic uncertainties and are defined by fuzzy sets with membership functions. System will fail to operate when output is less than or equal to zero, and we define membership function of reliability index as system output for uncertainty analysis, and sensitivity analysis indicator associated with an imprecise parameter is defined by absolute difference between original membership function and conditional membership function of reliability index when eliminating epistemic uncertainty relevant to the parameter of interest. Direct evaluation is a time-consuming coupled several-loop Monte Carlo sampling procedure. Thus, we propose an improved importance sampling method for efficient evaluation of uncertainty analysis and sensitivity analysis indicator. Using the proposed improved importance sampling method, only one importance sampling run with a set of input–output importance sampling samples is required to solve uncertainty analysis and sensitivity analysis indicator. Three examples are employed to demonstrate computational efficiency of the proposed method.
Engineering systems meet various uncertain factors within the durations, such as the fluctuation of load, the variation of material properties, and the tolerance of geometric dimensions, and system output performance is commonly affected by these uncertain elements.1 Engineers are usually interested in how these uncertain parameters affect the performance of interest and focus on quantifying the effect. Sensitivity analysis (SA) is a critical technique of risk assessment determining the effect of the system input uncertain parameter on the output performance, and the major inputs and minor ones can be further identified by the magnitude of sensitivity analysis indicator (SAI), which is very significant in risk analysis and risk control, and then available resources can be assigned to these risk sources according to their importance. Recently, many SA methods focusing on epistemic uncertainty have been proposed in the available references, such as screening methods,2 scatter plots and correlation coefficients methods,3,4 linear regression methods,5 variance-based sensitivity methods,6–9 moment-independent methods,10–13 information-based methods,14–18 non-parametric approa-ches (input–output correlation),19,20 time-independent method21 and dynamic methods,22–26 fuzzy sets-based method,27–29 and so on. Some works have summarized the recent advances of the SA techniques.30–33 These SAIs are appropriate for systems with epistemic uncertainty.
Available studies also focus on another situation in which the system inputs have aleatory uncertainties described by probability density functions (PDFs) but distribution parameters of the PDFs of the system inputs are not well known, and these imprecise distribution parameters can be described by epistemic uncertainties.34,35 Based on this basic idea, the authors and the previous co-authors have proposed a variance-based sensitivity indicator of failure probability of system subjected to both aleatory uncertainties and epistemic uncertainties in the previous works,36–38 and the authors have also developed an efficient simulation method to solve the proposed sensitivity indicator.39 Available studies34–39 have employed another PDF to define the epistemic uncertainty associated with the imprecise distribution parameter. In fact, non-probabilistic methods, including interval theory, fuzzy set with possibility theory, and evidence theory, are also effective methodologies to deal with the imprecision associated with engineering problems.40 Compared with the PDF, the non-probabilistic methods require less sample data and are appropriate for the situation of the epistemic uncertainty in the imprecise distribution parameter.40 In this study, we employ the PDFs to define the aleatory uncertainties in the system inputs and use fuzzy set with membership function (MF) to rationally define the epistemic uncertainty associated with the imprecise distribution parameter, and then we investigate the output performance of system under the mixed uncertainties. SA of the output performance with respect to epistemically uncertain parameter is investigated. A direct solving method and an improved method are proposed to estimate the output performance and the SA. Three examples are employed to verify the computational efficiency of the proposed method.
This article is organized as follows: section “Uncertainty analysis of system with the mixed uncertainties” proposes uncertainty analysis of system with the mixed uncertainties, and section “SA for epistemically uncertain parameter” proposes SAI. Section “Direct sampling–based solving method” proposes the direct solving method, and section “Proposed importance sampling–based method” develops the improved simulation method. Three examples are given in section “Examples.” Finally, conclusions are obtained in section “Conclusion.”
Uncertainty analysis of system with the mixed uncertainties
For the system with both epistemic and aleatory uncertainties, the corresponding performance function is defined by
where y denotes system output, and are n system inputs with aleatory uncertainties defined by PDFs; and are p imprecise distribution parameters due to the presence of epistemic uncertainties described by fuzzy sets using MFs.
Detailed discussions on the characteristics, similarities, and differences for aleatory uncertainty and epistemic uncertainty can be found in the literature.41–44 More discussions on the mixture of aleatory and epistemic uncertainties both described by the PDFs can be found in the literature.34–39 We will focus on equation (1) with the mixture of aleatory uncertainties described by PDFs and epistemic uncertainties defined by fuzzy sets using MFs. System inputs are independent normal inputs with mean vector and standard deviation vector , and mean vector are imprecise due to epistemic uncertainties, which are defined by fuzzy sets using MFs. It is supposed that imprecise mean has the following MF
where is the MF of imprecise mean , and and represent the lower and upper limits of imprecise mean with ; and is the core of imprecise mean with . In this work, is denoted by as shown in Figure 1, and , , and are the core vector, lower limit vector, and upper vector of imprecise mean vector .
Membership function of .
For a certain membership level (ML) , that is, , imprecise mean will degrade into an ML-interval , and imprecise mean vector will become an ML-interval set . Imprecise mean vector takes any value within the ML-interval set , such as , the PDF of system inputs X with aleatory uncertainties are denoted by .
In this work, standard deviation vector is a constant vector, and thus a value of corresponds to a unique PDF of system inputs X, leading to a unique value for failure probability, implying that failure probability can be uniquely expressed by the function of . The failure probability for equation (1) is defined by
where is the PDF of system inputs X with imprecise mean vector and constant standard deviation vector ; represents failure domain where system output is less than or equal to zero; denotes the whole space of system inputs X; , while if and otherwise, is a failure indicator function. It is evident that failure probability is a fuzzy set defined by a membership function because imprecise mean vector has epistemic uncertainties defined by fuzzy sets using MFs.
For the sake of convenience, reliability index will be used, and in equation (3) can be accordingly transformed as
where is the inverse cumulative distribution function of standardized normal distribution. For the same reason, reliability index is also a fuzzy set defined by a membership function due to uncertainty propagation from imprecise mean vector . MF of reliability index will be regarded as system output performance.
It is noted that the epistemic uncertainty associated with the imprecise distribution parameter is defined by the PDF in the previous work.36 The different descriptions of the epistemic uncertainty can affect the uncertainty analysis (UA). In the work by Wang et al.,36 the system output can be defined by a family of the PDFs (leading to a family of failure probabilities) because of the fact that a realization of the epistemic uncertainties can lead to a unique PDF of the aleatory uncertainties and a unique PDF of the system output. In other words, the epistemic uncertainties in the imprecise distribution parameter can affect the aleatory uncertainties in the , and the aleatory uncertainties can further affect the uncertainty of the system output defined in equation (1), and finally they can affect the uncertainty of the failure probability. For the sake of the convenience, the variance of the failure probability is regarded as the standard of the UA in the study by Wang et al.36
In this work, the epistemic uncertainty associated with the imprecise distribution parameter is defined by the fuzzy sets, according to the work by Aven et al.40 The system output can be affected by the aleatory uncertainties defined by the PDFs and the epistemic uncertainty defined by the fuzzy sets. Meanwhile, the epistemic uncertainties in the imprecise distribution parameter can affect the aleatory uncertainties in the , and the aleatory uncertainties can further affect the uncertainty of the system output defined in equation (1), and finally they can affect the uncertainty of the failure probability in equation (3) and the reliability index in equation (4). In this work, the MF of the reliability index is considered as the standard of the UA, as defined by equation (4).
SA for epistemically uncertain parameter
In section “Uncertainty analysis of system with the mixed uncertainties,” we have investigated UA of systems subjected to both aleatory uncertainties of system inputs defined by PDFs and epistemic uncertainties of imprecise mean vector defined by fuzzy sets using MFs. Next, we will propose an SAI to measure the effect of an imprecise mean with epistemic uncertainty defined by a fuzzy set using MF on system output performance, and a discussion on the proposed SAI will be given.
Proposed SAI
The area surrounded by the membership function can measure uncertain degree associated with system output performance, that is, reliability index . If more data have been collected and epistemic uncertainty in an imprecise mean can be reduced or eliminated, indicating that is not uncertain but is a deterministic value, uncertain degree in reliability index, and the area should be decreased at this time, and the reduced area can be employed to define the sensitivity of system output performance with respect to and measure the effect of on system output performance. Thus, a simple and effective SAI can be defined by
where |•| means the sign of absolute value; is SAI of imprecise mean , as illustrated in Figure 2, in which the total area with shadow defines the effect of on system output performance.
The illustration for .
Analogous to equation (5), another SAI, which defines the sensitivity of system output performance with respect to two epistemically uncertain means and measures the joint effect of two imprecise means on system output performance, can be defined by
Analogous to equations (5) and (6), the third SAI, which measures the residual effect of on system output performance on condition that epistemic uncertainty relevant to has been eliminated and has become a deterministic value, can be defined by
It is noted that the epistemic uncertainty associated with the imprecise distribution parameter is defined by the PDF in the previous work.36 The different descriptions of the epistemic uncertainty can affect the SA. In the study by Wang et al.,36 the percentage of the expected reduction in the variance of failure probability after eliminating the epistemic uncertainty in (or taking different realizations) is employed to define the SAI for . In this work, the absolute area difference in the MF of the reliability index after eliminating the epistemic uncertainty in (or taking the core ) is employed to define the SAI for , as defined in equation (5).
Discussion on the SAI
The following will discuss the mathematical properties of proposed SAI.
1. Property 1: .
This property bounds the possible range of . It is easy to understand that
holds due to the fact that inequality
always holds.
2. Property 2: .
This property gives the possible bound of joint effect .
Proof of property 2:
(a) Proof: .
If y is dependent on but is completely independent of , then should be equal to , and we can have
If y depends on both and , it is evident that holds. Thus, we can get .
(b) Proof: .
The indicator can be rewritten as the following form
Next, we will give the direct sampling-based method to solve UA and SA, that is, MF of reliability index in equation (4) and SAI in equation (5).
In section “Uncertainty analysis of system with the mixed uncertainties,” we have investigated UA of system with both epistemic and aleatory uncertainties, in which system inputs with aleatory uncertainties are defined by PDFs and imprecise means with epistemic uncertainties are defined by fuzzy sets using MFs. We find that system output performance has become a fuzzy set due to uncertainty propagation from the epistemic uncertainties of imprecise means. When ML takes value of , MF of imprecise mean vector will degenerate into an ML-interval set . When imprecise mean vector takes different values within the ML-interval set , we can get a series of different values for failure probability, and all these values can be bounded by the minimum and maximum limits, that is, and .
When ML takes different values , we can get a number of minimum limits and maximum limits . If we can obtain the estimated results of the limits and , MF of failure probability can be obtained, and MF of reliability index can be further obtained by equation (4). Evaluations of maximum limits and minimum limits for failure probability at different MLs are the core of UA. The following provides the detailed procedure of evaluation of UA:
ML takes values , and imprecise mean vector will become an ML-interval set at , and imprecise failure probability and imprecise reliability index will also become an ML-interval set and , respectively. Optimization algorithm and stochastic sampling method can be employed to estimate the lower and upper limits of the ML-interval set, and stochastic sampling method is used here.
Uniformly generate values for imprecise mean vector within the ML-interval set at , and can be evaluate using Monte Carlo simulation method45
where is the pth sample generated by the PDF using the pseudo-random number generator, and is the total number of sample.
Estimate the lower and upper limits of the ML-interval set and as follows
Repeat steps 1–3 to obtain the minimum and maximum limits for imprecise reliability index at different MLs, that is, and , and estimate membership function of imprecise reliability index .
Repeating steps 1–4 can estimate the MF for imprecise reliability index on condition that , that is, , and then can be estimated by equation (5) by any numerical integration method.
Equation (10) shows that we require samples to estimate MF for imprecise reliability index, that is, . Equations (5) and (10) show that we need samples to estimate , and need samples to estimate all for .
Proposed importance sampling–based method
In this section, we will discuss the shortcomings of classical importance sampling (IS) method. And we will discuss the common properties relevant to aleatory uncertainties defined by PDFs in equation (10) where imprecise mean with epistemic uncertainty has taken a certain value , and an improved IS method will be proposed. Finally, an improved IS-based procedure will be proposed to efficiently estimate UA in section “Uncertainty analysis of system with the mixed uncertainties” and SA in section “SA for epistemically uncertain parameter.”
Traditional IS method
The IS method focuses on the situation with normal independent system inputs. For other situations, such as non-normal random system inputs and correlated normal random system inputs, the Nataf transformation46,47 and Copula function48,49 can be employed to transform them into normal independent inputs. For limit state function , the corresponding failure probability can be estimated by IS method as follows
where denotes the PDF of random inputs X; is the failure domain; , while if and otherwise, is an indicator function; is an IS PDF introduced to reduce variance of the estimator; are importance weights; is the expectation. Failure probability can be approximated by
where the sample points are generally generated by the pseudo-random number generator according to the IS PDF .
A good choice for is crucial to improve simulation efficiency and computational accuracy for equation (16). The traditional IS method is to shift sampling center from original points in the standard Gaussian space to design points on the failure surface.50 In general, design points can be identified by the Hasofer–Lind–Rackwitz–Fiessler (HLRF) algorithm, which was originally developed by Hasofer and Lind51 and later was extended to non-normal variables by Rackwitz and Fiessler.52 The IS PDF in equation (16) can be constructed at the obtained design points, and then IS method can be performed.
In this study, in order to estimate MF of imprecise reliability index, that is, as shown in section “Direct sampling-based solving method,” we require to estimate a number of failure probabilities in equation (10). If all of these failure probabilities are estimated by the traditional IS method in equations (15) and (16), we have to construct an individual IS PDF and to perform an independent IS run for evaluation of an individual , as shown in section “Direct sampling-based solving method,” and we have to construct IS PDFs and we have to carry out independent IS runs. If an individual IS run requires samples, we need samples in order to estimate the MF of imprecise reliability index, that is, . Thus, using the traditional IS method to solve may result in a heavy computational cost.
Next, we will analyze the common characteristics associated with in equation (10), and then we will propose an improved IS method to circumvent the difficulties in the traditional IS method when solving .
Improved IS method
As discussed in equation (1), we are coping with the situation with normal independent system inputs with aleatory uncertainties defined by PDFs , in which imprecise mean vector have epistemic uncertainties defined by fuzzy sets using MFs, specifically, and , in which , , and hold.
All of the conditional PDFs in equation (10) are normal independent system inputs with same standard deviation vectors but different mean vectors. It is noted that the values of , that is, , are produced by the membership functions , as shown in sections “Uncertainty analysis of system with the mixed uncertainties,”“SA for epistemically uncertain parameter,” and “Direct sampling–based solving method.”
In order to estimate in equation (10) using IS method, we can construct a global common IS PDF for them as , in which are the cores of imprecise means defined by and p is the scaled parameter. The choice for the scaled parameter p is very crucial to the proposed improved IS method. Increasing the standard deviation can lead to enhance the probability that the IS PDF samples will fall into the failure domain. This indicates that uses the cores of as mean vector but has the augmented standard deviation vector due to the usage of the scaled parameter p compared with . Thus, employing as the IS PDF can produce more failure samples for than at the same sample size when coping with general situation that failure is determined by extreme values of variables. Since we have constructed the global common IS PDF for all , and thus only a set of IS PDF samples generated by is required to estimate all .
In order to construct the IS PDF, the traditional IS method needs to solve the design points beforehand. As shown in section “Traditional IS method,” we have to perform independent traditional IS runs for evaluation of , which may be prohibitive. However, constructing the proposed IS PDF is more easier, and only an IS run is needed to obtain .
It is noted that the improved IS method is similar to the one developed in the work by Yuan.53 In the work by Yuan53 the weighted approach (analogous to the improved IS) is employed to estimate the function of the failure probability with respect to the imprecise distribution parameters defined by the interval variables. In this work, the improved IS method is employed to solve the UA of the failure probability or the reliability index with respect to the imprecise distribution parameters defined by the fuzzy sets. In addition, the improved IS method is employed to solve the SAI for individual imprecise distribution parameter .
Proposed IS-based procedure
Based on the proposed improved IS method in section “Improved IS method,” we will provide detailed procedure to estimate in equation (4) and in equation (5). Detailed steps are summarized as follows
Construct the global common IS PDF as , where are cores of epistemic variables , are standard deviation vector of aleatory variables , and p is the scaled parameter.
Generate independent IS samples according to , and evaluate performance function in equation (1) corresponding to to obtain a set of input–output IS PDF samples .
where is the PDFs of aleatory uncertainties X with ; represents the lth IS PDF sample generated by as shown in step 2; , while if and otherwise, is the failure indicator function.
Perform the steps 3 and 4 of the direct sampling–based method in section “Direct sampling-based solving method,” and we can get the MF of reliability index, that is, .
In order to estimate defined by equation (5), we have to estimate the MF for imprecise reliability index on condition that , that is, . Repeat the steps 1–4 of the proposed IS-based method and using the same set of input–output IS PDF samples in step 2 can estimate . Finally, can be estimated by the same set of input–output IS PDF samples without any additional evaluations of the performance function.
It is important to note that the computational cost involved in the proposed method consists of evaluations of the performance function at the to obtain a set of the input–output IS PDF samples , as shown in step 2. In addition, for other epistemic variables can also be estimated using the same set of IS PDF samples . Thus, compared with the direct sampling–based procedure in section “Direct sampling-based solving method,” the proposed method requires fewer evaluations of performance function and lower computational cost.
It is noted that the proposed UA and SA only fit the specific system where the system inputs have aleatory uncertainties defined by the normal variables with the Gaussian distributions and the means of the Gaussian inputs have epistemic uncertainties defined by the fuzzy sets. Also, the improved IS method is only suitable for the case where the standard deviations of the Gaussian inputs are constants.
Examples
All examples have the following setting: the number of ML is 10, that is, , and ML takes values as ; and the number of values of epistemic uncertain imprecise mean at each is 100,000, that is, ; and the number of IS PDF samples is denoted by .
Basic idea of the proposed improved IS method
We employ a simple example to explain basic principle of the proposed improved IS method. The limit state function is given as follows: , where x is a normal system input, that is, . Here, mean is imprecise and has epistemic uncertainty, and we use a fuzzy set with membership function to define its uncertainty.
At ML , will degenerate into an ML-interval set , that is, . It is evident that , where means that set A contains set B. We focus on due to the fact that all are contained by .
Now, uniformly generate the samples within the interval . To estimate failure probability , the global common IS PDF is constructed as .
For the sake of simplicity, we give three IS PDFs as , and . Figure 3 gives the comparison of the PDFs and previous three IS PDFs. The zones with shade are formed by . As shown in Figure 3, the region less than zero for three IS PDFs are larger than ones for . Thus, employing the IS PDFs can generate more failure samples than at the same sample size. In addition, all can be estimated by the global common IS PDF through only one set of input–output IS PDF samples.
Comparison of the PDFs.
A nonlinear limit state function
Consider a nonlinear limit state function defined by
where are independent identically distributed (i.i.d.) normal random system inputs with aleatory uncertainties, that is, ; and is imprecise and has epistemic uncertainty defined by fuzzy set with membership function .
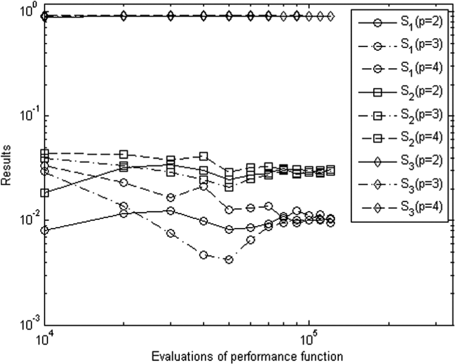
We construct the global common IS PDF as , and we can get three IS PDFs when the scale parameter p takes values of 2, 3, and 4. We first investigate the effect of different values of the scale parameter p. Figure 4 gives the convergence of the estimated results for with the increasing IS PDF sample, that is, , in which the abscissa and vertical coordinates represent the number of the IS PDF samples and the estimated results of . For the sake of convenience, they are shown by a log transformation. As shown in Figure 4, we can find that the estimated results of converge to the same ones for different p. Good estimated results of and can be obtained with IS PDF samples, and a good result of can be obtained with samples. In addition, Figure 4 further shows that different values of p do not affect the estimated results of for this example. Different values of p lead to the identical convergence of the estimated results.
Convergence of the estimated results with the increasing IS PDF samples for example 2.
Table 1 summarizes the estimated results of the SAI by the proposed method. In order to show the accuracy and the advantages of the proposed method, the direct sampling–based solving method defined in section “Direct sampling–based solving method” is also employed to solve this example. The number of the Monte Carlo (MC) samples for equation (10) is , and the number of values of epistemic uncertain imprecise mean at each is 10,000, and thus we need to generate MC samples to estimate . Two high-performance workstations are employed to estimate the results as , , and . The results show that the proposed method can obtain the estimated results of the SAI with very lower computational cost.
Comparison of the results for Example 1.
S1
S2
S3
S12
S13
S23
0.0101
0.0293
0.9143
0.0412
0.9267
0.9518
S1|2
S1|3
S2|1
S2|3
S3|1
S3|2
0.0119
0.0124
0.0312
0.0376
0.9166
0.9225
It is noted that all the items can be evaluated by the improved IS method through the same set of input–output samples from the global common IS PDF. The results reveal that is the most important parameter on the system output performance, followed by and . Besides, the results reveal that the mathematical properties 1 and 2 (in section “Discussion on the SA indicator”) hold.
Furthermore, Figures 5–7 give the comparison between and . As revealed by these figures, the difference between and is the greatest, and the next is the difference between and , and the last is the difference between and . This result is in accordance with the one obtained by Table 1.
Comparison between and .
Comparison between and .
Comparison between and .
A 10-bar truss structure
Consider a 10-bar truss structure depicted in Figure 8. The length L of the horizontal and vertical bars is 914.4 cm. The cross-sectional areas of all the bars are 10 cm2. The elastic modulus of the material E (unit: kN/cm3), applied loads (unit: kN) , and admissible maximal vertical displacement of node 2 (unit: cm) are independent normal system inputs with aleatory uncertainties as listed in Table 2, and their means are imprecise and have epistemic uncertainties defined by fuzzy set with MFs as follows
A 10-bar truss structure.
Distribution parameters of system inputs.
Random variable
Variable sign
Mean
Standard deviation
E (kN/cm3)
344.75
P1 (kN)
22.24
P2 (kN)
22.24
P3 (kN)
88.96
vmax (cm)
1.25
Truss structure will be failure if vertical displacement of node 2 exceeds admissible maximal value . Thus, the corresponding limit state function can be defined by
We first construct the global IS PDF as , where and are the cores of epistemic uncertainties and standard deviation vector of aleatory uncertainties X, that is, and . Based on the global common IS PDF, Figure 9 illustrates the convergence of the estimated results of with the increasing IS PDF samples for different values of scale parameter p.
Convergence of the estimated results with the increasing IS PDF samples for 10-bar truss structure.
Figure 9 demonstrates that the estimated results of approach the same ones for different values of p. Good estimated results of and can be obtained with IS PDF samples, and good estimated results of , , and can be obtained by IS PDF samples. Different values of p have led to the same convergence of the estimated results for . The results reveal that is the most influential variable on the system output performance, followed by , , , and .
Conclusion
It is common for the practical applications with the mixture of the aleatory and epistemic uncertainties due to the fact that the available data are usually too lacking to determine the precise distribution parameters. In this article, the system inputs with aleatory uncertainties are defined by PDFs, and the imprecise mean with epistemic uncertainties is defined by fuzzy sets with MFs. UA for the system with such a mixed situation is investigated, and SA of the output performance with respect to imprecise mean with epistemic uncertainties is investigated. An improved IS method is developed to solve the UA and SA. Examples show that the proposed model and method is rational, in which the results can provide scientific guide for the relevant engineers.
Footnotes
Acknowledgements
Comments and suggestions from all reviewers and the Editors are very much appreciated.
Handling Editor: José Correia
Declaration of conflicting interests
The author(s) declared no potential conflicts of interest with respect to the research, authorship, and/or publication of this article.
Funding
The author(s) disclosed receipt of the following financial support for the research, authorship, and/or publication of this article: Authors gratefully thank the support of the National Natural Science Foundation of China (51875087), the Sichuan Science and Technology Program (2018GZ0170), the Key R&D and transformation plan of Tibet science and technology, and the Fundamental Research Funds for the Central Universities (ZYGX2018J047).
MorrisMD.Factorial sampling plans for preliminary computational experiments. Technometrics1991; 33: 161–174.
3.
KleijnenJPCHeltonJC. Statistical analyses of scatterplots to identify important factors in large-scale simulations, 1: review and comparison of techniques. Reliab Eng Syst Safe1999; 65: 147–185.
4.
CookeRMvan NoortwijkJM.Graphical methods. In: SaltelliAChanKScottEM (eds) Sensitivity analysis. New York: John Wiley & Sons, 2000, pp.245–264.
5.
HeltonJCJohnsonJDSallaberryCJet al. Survey of sampling-based methods for uncertainty and sensitivity analysis. Reliab Eng Syst Safe2006; 91: 1175–1209.
6.
SobolIM.Sensitivity analysis for nonlinear mathematical models. Math Mod Comput Exper1993; 1: 407–414 (in Russian).
7.
SaltelliATarantolaSChanKPS. A quantitative model-independent method for global sensitivity analysis of model output. Technometrics1999; 41: 39–56.
8.
LiLYLuZZ.Variance-based sensitivity analysis for models with correlated inputs and its state dependent parameter solution. Struct Multidiscip Opti2017; 56: 919–937.
9.
YunWYLuZZZhangKCet al. An efficient sampling method for variance-based sensitivity analysis. Struct Safe2017; 65: 74–83.
10.
BorgonovoE.A new uncertainty importance measure. Reliab Eng Syst Safe2007; 92: 771–784.
11.
BorgonovoECastaingsWTarantolaS.Moment independent importance measures: new results and analytical test cases. Risk Anal2011; 31: 404–428.
12.
BorgonovoECastaingsWTarantolaS.Emulators in moment independent sensitivity analysis: an application to environmental modelling. Environ Modell Softw2012; 34: 105–115.
13.
YunWYLuZZJiangXet al. Borgonovo moment independent global sensitivity analysis by Gaussian radial basis function meta-model. Appl Math Model2018; 54: 378–392.
14.
ParkCKAhnKI.A new approach for measuring uncertainty importance and distributional sensitivity in probabilistic safety assessment. Reliab Eng Syst Safe1994; 46: 253–261.
15.
LiuHChenWSudjiantoA.Relative entropy based method for probabilistic sensitivity analysis in engineering design. J Eng Mech: ASME2006; 128: 326–336.
16.
FelliJCHazenG.Sensitivity analysis and the expected value of perfect information. Med Decis Making1998; 18: 95–109.
17.
CritchfieldGCWillardKEConnellyDP.Probabilistic analysis methods for general decision models. Comput Biomed Res1986; 19: 254–265.
18.
TangZCLuZZJiangBet al. Entropy-based importance measure for uncertain model inputs. AIAA J2013; 51: 2319–2334.
19.
StorlieCBHeltonJC.Multiple predictor smoothing methods for sensitivity analysis: description of techniques. Reliab Eng Syst Safe2008; 93: 28–54.
20.
StorlieCBSwilerLPHeltonJCet al. Implementation and evaluation of nonparametric regression procedures for sensitivity analysis of computationally demanding models. Reliab Eng Syst Safe2009; 94: 1735–1763.
21.
BorgonovoEAlieeHGlaßMet al. A new time-independent reliability importance measure. Eur J Oper Res2016; 254: 427–442.
22.
XiaoSNLuZZWangP.Multivariate global sensitivity analysis for dynamic models based on energy distance. Struct Multidiscip O2018; 57: 279–291.
23.
ShiYLuZZLiZet al. Cross-covariance based global dynamic sensitivity analysis. Mech Syst Signal Pr2018; 100: 846–862.
24.
ChenCLuZZWangF.New global sensitivity measure based on fuzzy distance. J Eng Mech: ASCE2017; 143: 04017125.
25.
XiaoSNLuZZWangP.Multivariate global sensitivity analysis for dynamic models based on wavelet analysis. Reliab Eng Syst Safe2018; 170: 20–30.
26.
XuLYLuZZLiLYet al. Sensitivity analysis of correlated outputs and its application to a dynamic model. Environ Modell Softw2018; 105: 39–53.
27.
ShiYLuZZZhouYC.Global sensitivity analysis for fuzzy inputs based on the decomposition of fuzzy output entropy. Eng Optimiz2018; 50: 1078–1096.
28.
TangZCLuZZWangPet al. An entropy-based global sensitivity analysis for the structures with both fuzzy variables and random variables. Proc IMechE, Part C: J Mechanical Engineering Science2013; 227: 195–212.
29.
SongSFLuZZCuiLU.A generalized Borgonovo’s importance measure for fuzzy input uncertainty. Fuzzy Set Syst2012; 189: 53–62.
30.
SaltelliAChanKScottEMet al. Sensitivity analysis. New York: John Wiley & Sons, 2000.
31.
BorgonovoEPlischkeE.Sensitivity analysis: a review of recent advances. Eur J Oper Res2016; 248: 869–887.
32.
BorgonovoE.Sensitivity analysis: an introduction for the management scientist. New York: Springer, 2017.
33.
WeiPFLuZZSongJW.Variable importance analysis: a comprehensive review. Reliab Eng Syst Safe2015; 142: 399–432.
34.
Krzykacz-HausmannB.An approximate sensitivity analysis of results from complex computer models in the presence of epistemic and aleatory uncertainties. Reliab Eng Syst Safe2006; 91: 1210–1218.
35.
HoferEKloosMKrzykacz-HansmannBet al. An approximate epistemic uncertainty analysis approach in the presence of epistemic and aleatory uncertainties. Reliab Eng Syst Safe2002; 77: 229–238.
36.
WangPLuZZTangZC.An application of the Kriging method in global sensitivity analysis with parameter uncertainty. Appl Math Model2013; 37: 6543–6555.
37.
WangPLuZZXiaoSN.Variance-based sensitivity analysis with the uncertainties of the input variables and their distribution parameters. Commun Stat Simulat2018; 47: 1103–1125.
38.
XiaoSNLuSSXuLY.Global sensitivity analysis based on random variables with interval parameters by metamodel-based optimisation. Int J Syst Sci2018; 5: 268–281.
39.
TangZCLuZZWangPet al. Efficient numerical simulation method for evaluations of global sensitivity analysis with parameter uncertainty. Appl Math Model2016; 40: 597–611.
40.
AvenTBaraldiPFlageRet al. Uncertainty in risk assessment: the representation and treatment of uncertainties by probabilistic and non-probabilistic methods. New York: John Wiley & Sons, 2013.
41.
KangRZhangQYZengZGet al. Measuring reliability under epistemic uncertainty: review on non-probabilistic reliability metrics. Chin J Aeronaut2016; 29: 571–579.
42.
Armen DerKDitlevsenO. Aleatory or epistemic? Does it matter?Struct Safe2009; 31: 105–112.
43.
HeltonJCHansenCWSallaberryCJ.Conceptual structure and computational organization of the 2008 performance assessment for the proposed high-level radioactive waste repository at Yucca Mountain, Nevada. Reliab Eng Syst Safe2014; 122: 223–248.
44.
HeltonJCHansenCWSallaberryCJ.Quantification of margins and uncertainties: example analyses from reactor safety and radioactive waste disposal involving the separation of aleatory and epistemic uncertainty. Reliab Eng Syst Safe2011; 96: 1014–1033.
45.
LiuJS.Monte Carlo strategies in scientific computing (First Softcover Printing). New York: Springer, 2008.
46.
LiuPLDer KiureghianA.Multivariate distribution models with prescribed marginals and covariances. Probab Eng Mech1986; 1: 105–112.
47.
McNeilAJFreyREmbrechtsP.Quantitative risk management: concepts, techniques and tools (Revised Edition). Princeton, NJ: Princeton University Press, 2015.
48.
NelsenRB.An introduction to copulas. 2nd ed.New York: Springer, 2006.
49.
MelchersRE.Importance sampling in structural system. Struct Safe1986; 6: 3–10.
50.
SchuëllerGIStixR.A critical appraisal of methods to determine failure probabilities. Struct Safe1987; 4: 293–309.
51.
HasoferAMLindNC.Exact and invariant second-moment code format. J Eng Mech: ASME1974; 100: 111–121.
52.
RackwitzRFiesslerB.Structural reliability under combined load sequence. Comput Struct1978; 9: 489–494.
53.
YuanXK.Local estimation of failure probability function by weighted approach. Probab Eng Mech2013; 34: 1–11.