Abstract
A new flow field model was established to simulate compressible flow around porous canopy. The compressible Ergun equation was introduced into the source term of momentum equations for the first time to study the influence of material permeability on aerodynamic performance of supersonic parachutes. By using this method, the dynamic variations of related flow field results such as flow structure, drag performance and shock wave standoff distance were obtained. Numerical results including shock wave shape and the average value of drag coefficient are in accordance with the wind tunnel test results. The numerical results show that the velocity-penetrating fabric makes the wake vortex area become narrower and move backward. With the increase of material permeability, the oscillation amplitude and the average value of drag coefficient decrease. This new method can be a good supplement in parachute design and research. It also instructs how to choose fabric for supersonic parachutes.
Keywords
Introduction
Parachutes are important aerodynamic decelerators in airdrop, recovery and landing because they have small package size, light weight, high deceleration efficiency and good stability. Canopy fabric is a special porous medium. The material permeability study is one of the key problems of parachute aerodynamic performance studies. Wind tunnel tests have been the main methods to study aerodynamic performance of parachutes so far [1–3]. However, the size of material permeability is micron magnitude, while the size of a parachute is meter magnitude or even hundred meter magnitude. Material permeability cannot have the same scaling ratio as a parachute in wind tunnel tests. It causes remarkable error, so wind tunnel tests can only be used for qualitative research. Therefore, numerical analysis has become an important approach in studying the aerodynamic performance of parachutes.
Local mesh refinement [4–6] does not work anymore on account of the huge size discrepancies between material permeability and a parachute. This conventional method wastes computing resources and even cannot converge. Therefore, special numerical models to describe material permeability should be constructed. Porous medium method is mainly used in numerical simulation. Its basic principle is to simplify canopy fabric as one-dimensional porous medium. The Ergun equation [7] is used to describe the relationship of the pressure drop and the velocity through the fabric in this model. It is generally used for rigid parachutes with material permeability. Porous medium method [8,9] is used to study the influence of material permeability on the drag performance of parachute systems. Gao et al. [10] combined porous medium method with ghost fluid method to construct a fluid–structure interaction model for flexible parachutes with material permeability. The velocity streamlines of canopies with and without material permeability were compared. In addition, other representative methods are coupling force method and homogenized porosity method. Coupling force method corrects the coupling force by permeability parameters. It is generally used for flexible parachutes with material permeability [11,12]. The permeability parameters are obtained by material permeability tests and the Ergun equation. The above studies are all based on the incompressible Ergun equation. They are designed for subsonic parachutes in incompressible fluid. In 2018, the homogenized porosity method [13] was proposed to study the aerodynamic performance of supersonic parachutes with material permeability. It corrects diffusive fluxes as a weighted average of the fluid–fluid and fluid–structure diffusive fluxes. The weighted value is the fabric porosity. It is the only model focuses on compressible flow around canopy fabric. However, it does not reflect the essence of compressible flow.
With the rapid development of aeronautic, astronautic and weapon, work conditions of parachutes have been extended from subsonic speeds to supersonic speeds. But the academic research of compressible material permeability models could not keep up with the development in engineering. A new flow field model was established to simulate compressible flow around porous canopy in this paper. Based on this model, the flow field calculation of a supersonic parachute was realized. The accuracy of simulation results was verified by experimental data. The drag performances of canopies with and without material permeability were compared. The influence of the value of material permeability was obtained.
Mathematical model
Control equation of fluid field
For supersonic parachute, the control equations of flow field are the three-dimensional, compressible N-S equations
Momentum source term for material permeability
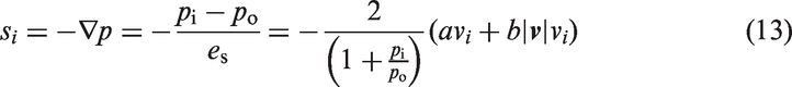
Modified momentum equations including source term were deduced to simulate the effect of material permeability. Because the fabric of the canopy is very thin, the heat and abrasion caused by friction due to permeability have little effect on the aerodynamic performance. Thus, they were ignored in this paper. The whole flow field was divided into porous medium (canopy) zone and free (flow field) zone. In prior research, the incompressible Ergun equation was introduced into the source terms of momentum equations in the porous medium zone [14]. It can only apply to subsonic parachute. The source term is
Introduce this pressure drop gradient into the source term of the momentum equations
Temporal discretization
The preconditioned dual-time stepping method was used to improve the accuracy of discrete format. Compute the integral for equation (1) and introduce a preconditioned pseudo-time-derivative term
τ is the pseudo time,
Spatial dispersion
The finite volume method was used for spatial dispersion
The Roe flux-difference splitting scheme was used to capture the discontinuity of shock waves and eliminate spurious numerical oscillation. Convective flux at the face
Geometric and numerical model
A disk-gap-band parachute used in the wind tunnel test [16] was investigated for numerical study. Its main geometric parameters are shown in Figure 1 (in mm). This study has performed 3D simulations to investigate the supersonic flow over rigid parachute models at a freestream Mach number of 2, dynamic pressure Geometric model of a disk-gap-band parachute. (a) Front view; (b) top view. Permeability parameters of study cases.
The initial shape of the canopy in numerical simulation was conducted based on the photo captured by the wind tunnel test. Figure 2 shows the flow field mesh. By using 30,930 regularly arranged tri-prism elements in the canopy zone, velocity through the canopy could be simulated more accurately. The flow field zone was discretized using 555,457 tetrahedral elements in region 1 and 361,088 hexahedral elements in region 2. And there were 10,120 pyramid elements between the two regions. For the porous canopy, the permeability source term was imposed to the porous medium zone. Non-slip, adiabatic boundary conditions were imposed on the non-porous canopy and capsule. The pressure-far-field condition was imposed on the flow field boundary. The coefficient of viscosity was treated in accordance with Sutherland's law. The Flow field mesh (here, 
Results and discussion
Comparison of numerical results and experimental results
Case 1 and the wind tunnel test have the same ambient conditions and permeability parameters. Figure 3 compares the shock wave in front of the canopy in the wind tunnel test [16] and numerical simulation. Its standoff distance and shape are in accordance with the wind tunnel result. The shock wave of Case 1 is more symmetrical because the action of turbulence pulsation to the flow field is neglected. Figure 4 shows the comparison of drag coefficients in the wind tunnel test and Case 1. The average value of the drag coefficient in the numerical simulation and wind tunnel test is 0.454 and 0.461, respectively. The error of the average value of the drag coefficient is 1.5%. It can be seen that this numerical method has high accuracy.
Shock wave in front of the canopy (a) Case 1; (b) wind tunnel test). Drag coefficient (here, 

Comparison of the numerical results with and without material permeability
Case 1 is used in this section to representative canopy with material permeability. The flow field of the parachute can be described quantitatively by drag coefficient and shock wave standoff distance. They are shown in Figures 5 and 6. Figures 7 and 8 indicate five typical moments in an oscillation cycle of Cases 1 and 2. The wake of the capsule creates a momentum deficit in the incoming fluid, making the bow shock of the canopy oscillate back and forth. It results in periodic over- and under-pressurization of the canopy internal pressure, which causes the periodic oscillation of the drag coefficient of the canopy. So the shock wave standoff distance has opposite phase and the same frequency as the drag coefficient. For the canopy without material permeability, the flow inside the canopy expels at the gap and vent. Four vortices form behind the canopy. The difference between the high pressure inside the canopy and the low pressure at the wake vortex area makes the canopy to have good drag performance and keep stable shape. For the canopy with material permeability, the flow inside the canopy expels not only at the gap and vent but also at the canopy fabric. Therefore, less air exists in the canopy, making the pressure inside the canopy smaller. The velocity penetrating the fabric makes the wake vortex area of the canopy become narrower and move backward, even disappear. The pressure behind the canopy becomes larger and distributes more evenly. Therefore, the average values of the drag coefficient and shock wave standoff distance of the canopy with material permeability are smaller. So are the corresponding oscillation amplitude and frequency.
Drag coefficient. Shock wave standoff distance (here, Velocity streamlines around the canopy (a) without material permeability; (b) with material permeability (here, Pressure contours (Pa) around the canopy (a) without material permeability; (b) with material permeability.



Influence of material permeability values
Material permeability values have big influence on drag coefficients and shock wave standoff distances, as shown in Figures 9 and 10. With the increase of the material permeability, the average values of drag coefficients and shock wave standoff distances decrease. So are the corresponding oscillation amplitude and frequency. And the oscillation changes from irregular state to regular state. When Drag coefficient. Shock wave standoff distance.

Figures 11 and 12 show the velocity streamlines and pressure contours around the canopy at five typical moments in the oscillation cycle of Cases 1, 3 and 4. The discontinuity of velocity streamlines is due to the graphic treatment of the interface between the tetrahedral and hexahedral elements. They are continuous actually. Since velocity streamlines are perpendicular to the disk and parallel to the band, flow expels mainly at the disk. Therefore, with the increase of material permeability, inner pressure around the disk decreases more significantly than that around the band. The decrease of the inner pressure causes the shock wave to have a smaller standoff distance and a bigger shock wave angle. The velocity streamlines become straighter and the flow structure becomes more stable.
Velocity streamlines around the canopy (a) small material permeability; (b) medium material permeability; (c) large material permeability. Pressure contours (Pa) around the canopy (a) small material permeability; (b) medium material permeability; (c) large material permeability.

Conclusions
In this paper, the compressible Ergun equation was introduced into the source term of momentum equations to study the influence of material permeability on aerodynamic performance of supersonic parachutes. The calculation results are well consistent with the results obtained by the experimental method. The results show that the present numerical method is capable of simulating compressible flow around porous canopy. In addition, the following conclusions can be summarized:
The drag coefficient and shock wave standoff distance of the canopy oscillate periodically with the same frequency and opposite phase. Velocity penetrating the fabric can be simulated effectively by this model. It makes the wake vortex area of the canopy become narrower and move backward, even disappear. With the increase of material permeability, the oscillation amplitude and the average value of drag coefficient decrease. Flow expels mainly at the fabric perpendicular to velocity streamlines. And this part has great pressure drop when the fabric permeability increases.
The new flow field model is able to reveal a large amount of space-time information of supersonic parachutes with material permeability. In this preliminary approach, only simplified cases are tested to evaluate whether the proposed method works efficiently. In the future work, the effect of possible gas and dust clouds on permeability will be considered in experimental and numerical studies.
Footnotes
Declaration of conflicting interests
The author(s) declared no potential conflicts of interest with respect to the research, authorship, and/or publication of this article.
Funding
The author(s) disclosed receipt of the following financial support for the research, authorship, and/or publication of this article: This paper is supported by Chinese National Natural Science Foundation (Nos. 11172137 and 11602018).
