Abstract
The free transverse vibrations of two-dimensional functionally graded double Euler–Bernoulli beam system connected through a variable Winkler elastic layer are presented. The Modulus of elasticity and the density of the material of the beams are assumed to vary along the thickness and the length of the beams according to power-law and exponential functions, respectively. The governing differential equations of motion are established by the means of Hamilton’s principle. The Chebyshev Spectral Collocation Method (CSCM) is used to calculate the natural frequencies of the two-dimensional functionally graded (2D-FG) double beams. The effects of several parameters such as the height ratio of the beams, the stiffness of the coupling layer, the axial and transverse functionally graded indexes, and the boundary conditions on the natural frequencies of the 2D-FG double beams have been investigated. The frequencies obtained from the CSCM have been validated by comparing them with those available in previous literature.
Keywords
Introduction
Due to the rapid progress in the fields of mechanical, marine, civil, and aerospace engineering, innovative and unique structures have been aroused, and among these structures are the double-beam systems. Double-beam systems are used to model several applications and structures such as composite and sandwich beams, double-walled carbon nanotubes, vibration absorbers, double-beam cranes, pipelines, and railway tracks lying on elastic/viscoelastic foundations. 1 Double-beam systems usually consist of two parallel beams continuously connected through elastic linear/nonlinear springs. In order to create such structures with high performance and efficiency, and to further extend limits of applicability and reliability of the suggested structures, it is crucial to manufacture them from special materials with superior properties. It is known that functionally graded materials (FGMs) are special class of advanced materials that are characterized by their unique properties such as lower density, higher toughness, designability, greater thermal resistance, lower stress concentration, smaller interface problems, and higher corrosion resistance. 2 FGMs’ powerful features are due to the existence of two or more materials that are blended to get continuously changed properties along the length, thickness, or the width of the structure. Several works were devoted to examine the behavior of FG structures. For example, Shariati et al. 3 studied the stability of moving axially functionally graded (AFG) viscoelastic nanobeams. The Laplace transform and Galerkin approach were used to determine the natural frequencies and the flutter instability boundaries. The nonlocal elasticity theory was utilized to take into account the small-scale effect. In another research, Shariati et al. 4 presented the stability behavior of AFG moving Rayleigh and Euler–Bernoulli beams. Closed form solutions were obtained for the critical velocities, and the stability characteristics for beams with different material distributions were discussed. Hieu et al. 5 utilized the nonlocal strain gradient theory in conjunction with the Galerkin and Hamiltonian approaches to carry out the nonlinear vibrations of an electrostatically actuated FG microbeam subjected to an axial magnetic field. It was observed that the FG index, the non-local and length scale parameters, the applied voltage, and the magnetic force have a noticeable influence on the nonlinear frequencies of the microbeam. Ton-That 6 carried out the nonlinear vibrations of stiffened functionally graded plates. By the means of Hamilton’s principle, the C0 third-order shear deformation and the Von Karman theories were used to derive the governing equations of motion. The finite element and the Newton–Raphson methods were applied to compute the natural frequencies.
In some advanced and smart engineering applications and structures, the distributions of the stress, temperature, electric, and magnetic fields can alter in different directions; thus, the 1D FGMs are not adequate. Hence, there is a necessity to consider the multi-directional FGMs whose properties are customized and varied in two or three directions to obtain materials with optimized properties. 7
Mirzabeigy el al. 8 investigated the natural vibrations of double Euler–Bernoulli beam system joined through variable Winkler elastic translational springs. The edges were assumed to be elastically restrained against translation and rotation, and the differential transform method was used to obtain the natural frequencies and the mode shapes of the double beam system. The effects of the height ratio of the beams, the boundary conditions, and the variation type of the stiffness of the connecting layer on the behavior of the system were examined. Li et al. 9 presented a state-space approach to calculate the dynamic response, mode shapes, and the frequencies of double Euler–Bernoulli beams with an elastic/viscoelastic interlayer between them. In another article, Kim et al. 10 carried out the natural vibration behavior of functionally graded double beam-system (FGDBS) joined by a uniform layer. Hamilton’s principle was used to obtain the coupled governing equations of motion, and the Haar wavelet series and their integral were utilized to calculate the dimensionless frequencies of the FGDBS with arbitrary boundary conditions. Zhao et al. 11 obtained the steady-state forced transverse vibrations of double Timoshenko beams subjected to compressive axial loads. The Laplace transform and the steady-state Green’s functions were adopted with the help of the superposition principle to obtain closed-form solutions and to discuss the dynamic buckling phenomena induced by the axial loads. The impacts of the external frequency, shearing effect, and the height-to-length ratio were examined.
Deng et al. 12 used the dynamic stiffness method to find the frequencies and the buckling loads of double FG Timoshenko beams on Winkler–Pasternak foundation. Hamilton’s principle was utilized to obtain the governing equations of motion, and the Wittrick-William algorithm was applied to solve for the frequencies and the buckling loads. The effects of the gradient parameter, foundation modulus, axial load, stiffness of the elastic layer, and the damping factor on the performance of the double FG beams were investigated. Fourier transformation was used to find the displacements of the double FG beams under moving loads. Gul and Aydogdu 13 reported the natural vibrations and buckling of double-walled carbon nanotubes embedded in an elastic medium. Euler–Bernoulli beam theory was used to model the double-walled carbon nanotubes, and the Doublet Mechanics was considered to relate the micro and macro stresses. The governing equations were obtained by the means of Hamilton’s principle, and the Taylor series expansion was utilized to define the increment of several parameters that were considered in the elastic deformation of the double beams. It was observed that in some cases, the double beams move noncoaxially, which will affect the physical properties of the carbon nanotubes. Su et al. 14 analyzed the axial-bending free and forced vibrations of a double-Timoshenko beam system joined by discrete elastic connections. It was assumed that the lower beam is mass eccentric, and the spectral element method was incorporated to get the coupled mode shapes, the axial/transverse responses of the system under longitudinal and flexural excitations, and the influence of the variation in the axial and transverse stiffness on the dynamical characteristics of the double beam system.
On the other hand, Li et al. 15 carried out the nonlinear bending characteristics of two-dimensionally functionally graded (2D-FG) Euler–Bernoulli beam where the mid-plane stretching was taken into consideration. It was assumed that the modulus of elasticity varies along the axial direction via an exponential function, whereas it is graded along the beam’s thickness according to a power-law function. The force and the material compositions were considered and the generalized differential quadrature method (GDQM) was applied to determine the linearized and nonlinearized displacements of the 2D-FG beams.
Shafiei et al. 16 presented the free vibrations of 2D-FG micro and nano Timoshenko beams made of porous materials with properties that alter via a power-law along the length and thickness of the beam. Eringen’s nonlocal elasticity and the modified couple stress theories were utilized, and the GDQM was used to calculate the frequencies of the beams with different boundary conditions. A parametric study was carried out to demonstrate the effects of the nonlocal parameter, small-scale factor, length-to-thickness ratio, the FG power indexes, the boundary conditions, and the porosity volume fraction on the behavior of the micro and nano beams. Nejad and Hadi 17 studied the natural vibration behavior of 2D-FG nano Euler–Bernoulli beams. Hamilton’s principle and Eringen’s nonlocal elasticity theory were adopted to derive the governing equations of motion, and the GDQM was applied to obtain the natural frequencies of the 2D-FG nano-beams. Moreover, the effects of the scale parameter and the inhomogeneity constant on the dynamical response of the nano-beams were discussed.
Mohammadian 18 proposed a cubic-quintic model to carry out the nonlinear vibrations of damped and undamped 2D-FG Euler–Bernoulli beams. The material properties were assumed to vary along the longitudinal and lateral directions according to exponential and power-law functions, respectively. The variational iteration method and the Hamiltonian approach were used to find analytical solutions for the nonlinear frequencies and the beam deflection. It was shown that factors such as the initial amplitude, elastic and mass density ratios, and the FG indices have noticeable influence on the frequencies and the damping behavior of the beams. Shanab and Attia 7 carried out the bending, buckling, and vibration behaviors of 2D-FG tapered micro and nano Euler–Bernoulli beams with simply supported conditions. The modified couple stress and the Gurtin–Murdoch surface elasticity theories are both employed to take into account the small scale and surface energy effects, and the GDQM is used to calculate the static bending deflections, critical buckling loads, and the fundamental frequencies of 2D-FG nonuniform beams at the micro/nano scales.
Simsek 19 examined the free and forced vibrations of BDFG Timoshenko beam subjected to a moving load. The Lagrange equations were applied to obtain the governing equations of motion, and trial functions were used to express the displacements in polynomial forms. The implicit time integration Newmark-β method was utilized to solve the equations of motion, and the natural frequencies were calculated. The effects of the material gradation, the boundary conditions, aspect ratio, and the moving load velocity on the dynamic behavior of the BDFG beams were discussed. Tang et al. 20 presented the nonlinear vibrations of BDFG of Euler–Bernoulli beams. The equations of motion and the boundary conditions were derived by the means of Hamilton's principle, and the GDQM was applied to calculate the vibration modes. The homotopy analysis was utilized to determine the analytical solutions of the time-domain responses. A parametric study was conducted to study the effects of the axial and thickness FG indexes, the length–thickness ratio, and the value of the initial amplitude on the natural vibrations of the BDFG beams. Pavlović et al. 21 examined the stability of a double nanobeam subjected to stochastic compressive axial forces. The moment Lyapunov exponent and perturbation methods were applied to analyze the stability of the double nanobeam. Other researchers studied several BDFG structures22-32 and double-beam systems.33-36
Based on the above discussion, it is noted that no efforts have been dedicated to carry out the free vibrations of bi-directional functionally graded (BDFG) double Euler–Bernoulli beams connected by a variable Winkler elastic layer, as they can represent applications as double-beam cranes, double-beam spectrometers, and double-beam interferometers. Therefore, the aim of this study is to fill this gap in the literature and propose a new approach to investigate the natural vibration analysis of BDFG double and uniform beams joined by linear elastic springs. Hence, the original contributions of this research include the application of the spectral collocation method to study the vibration behavior of double bi-directionally functionally graded (DBDFG) uniform beams, and to propose a convenient method for the vibration analysis of DBDFG beams. The presented approach is comprehensive and can be used to study other uniform and tapered functionally graded structures.
Theory problem formulation
Mathematical model
Figure 1 shows a 2D FG double beam connected by a variable elastic foundation. In the present study, it is assumed that the modulus of elasticity and the density of the material vary along the axial and lateral directions as follows
18
The double bi-directional functionally graded Euler–Bernoulli beams connected by a variable Winkler elastic layer.

In the current study, it is assumed that the beams have the same length
Similarly, the variation of the potential energy is given as
37
Using equations (7–9), and after some manipulation and simplification, one obtains
The bending moment
Then, integrating equation (10) by parts and since
Substituting equation (13) in equation (10) yields
The boundary conditions are given as:
Simply Supported (SS)
Clamped (C)
In the present study, the variable stiffness of the elastic layer joining the beams is expressed as
8
For harmonic natural vibration, the transverse displacements are expressed as
Substituting equations (21) and (22) into equations (14) and (15), and recalling that
Equations (23) and (24) can be tackled by several methods such as the finite element method, 6 the GDQM,15,16 Li-He’s modified homotopy perturbation method,41,42 and CSCM that will be applied in this article.
Chebyshev spectral collocation method
The Chebyshev collocation points are defined on the interval [-1, 1] as
43
The entries of the Chebyshev differentiation matrix,
The
Solution procedure
In this section, the CSCM is applied to discretize the governing equations along with the boundary conditions and convert them into a system of algebraic equations. In the present study, the boundary conditions will be used to modify the entries of the Chebyshev collocation differentiation matrices. For instance, in case beam 1 is clamped at both edges, the boundary conditions are expressed as
Using the Chebyshev collocation method, these conditions are discretized as
From equation (28), the displacements
Consequently, the Chebyshev collocation differentiation matrices for beam-1 are modified as
For a beam with simply supported edges, a similar approach is followed. However, each
Equation (32) could be written in matrix vector form as
Equation (33) can be written as
The displacements
As a result, each differentiation matrix of order
The equations of motion for DBDFG Euler–Bernoulli beams are expressed using the presented approach as
Results and discussion
First six frequencies (rad/s) for two parallel prismatic and isotropic Euler–Bernoulli beams with different boundary conditions (
As the beams may have different heights, a height ratio that is expressed as
For the sake of verification, two different cases are considered for the connecting layer as follows 8
Case I:
In the current research, the values of the properties for the ceramic and the metal materials used in the DBDFG beams are
18
:
In Figure 2, the influence of the height ratio on the first four natural frequencies of a CC-CF double beam with Variations of the first four natural frequencies as functions of the height ratio of CC-CF beams with 
The variations of the first four natural frequencies of CC-CF double FG parallel beams ( The height ratio of beam effects on the first four natural frequencies (CC-CF BC), 
In Figure 4 (a-d), the effect of the height ratio on the first four natural frequencies of SS-SS DBDFG beams with The first four natural frequencies of SS-SS DBDFG beams as functions of the height ratio of beams with 
The variation of the first four natural frequencies of CF-CF FG double beam ( Variations of the first four natural frequencies of CC-CF DBDFG beams ( The first four natural frequencies of SS-CF DBDFG beams with 

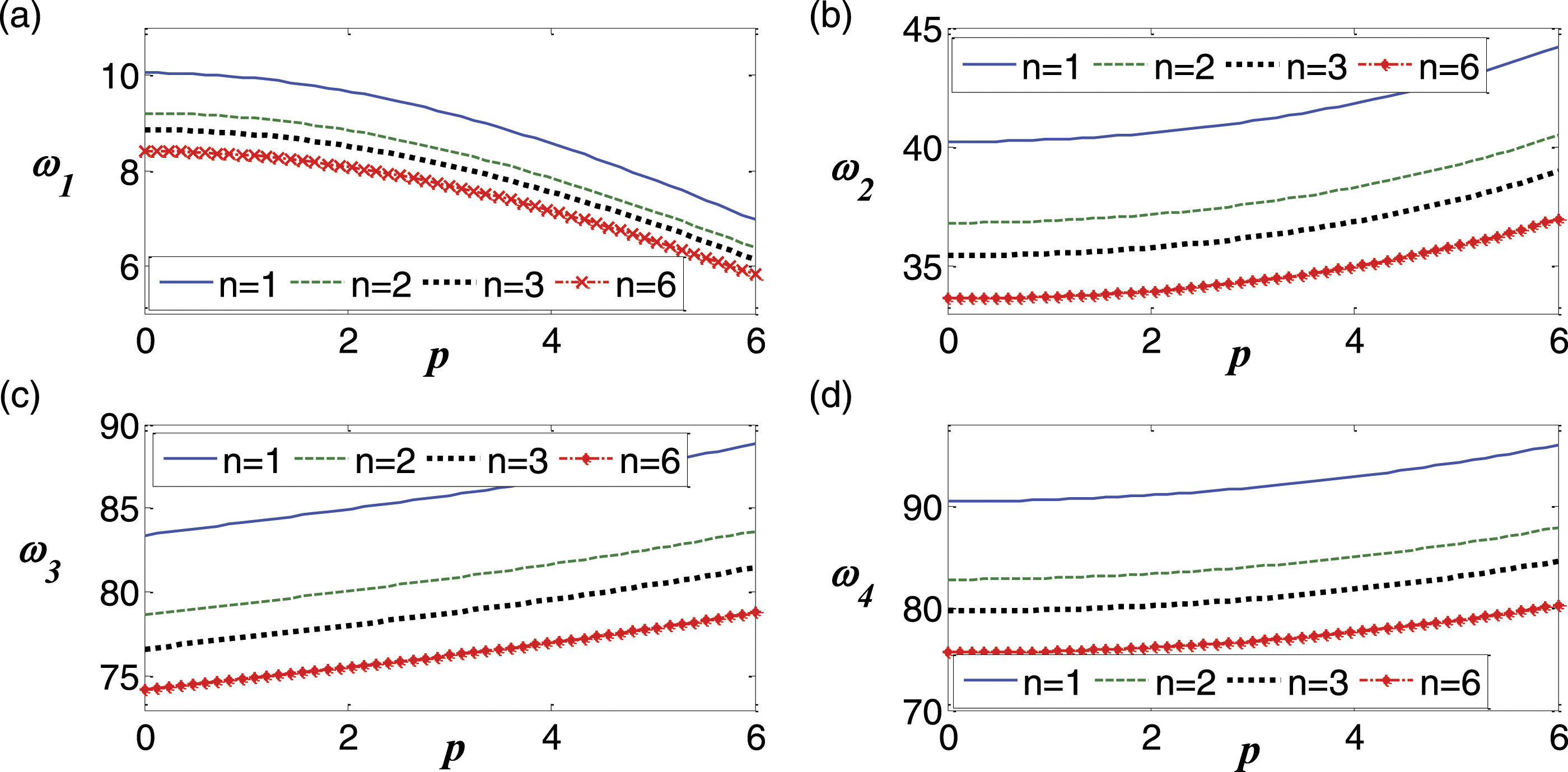
The effect of the The first four natural frequencies of DBDFG beams with 
The impact of the height ratio The height ratio of beam effects on the first four natural frequencies, 
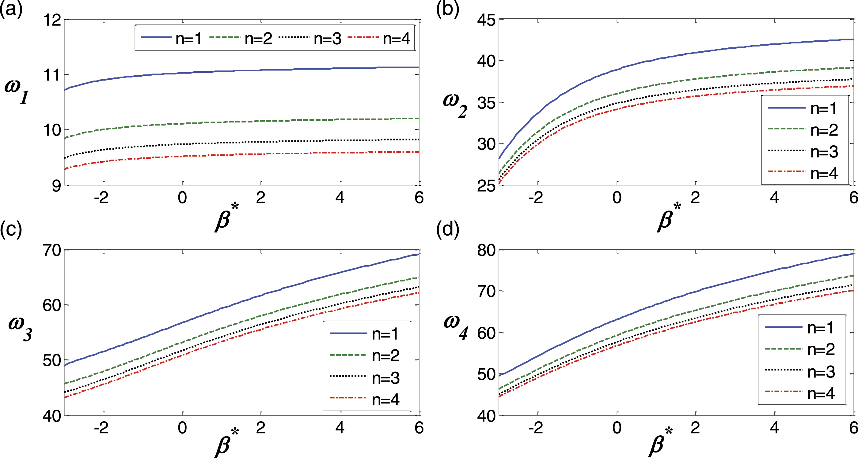
The variations of the first four natural frequencies against the axial FG index The first four natural frequencies of DBDFG beams with different boundary conditions as functions of the axial FG index 
The variations of the first four natural frequencies as functions of the axial FG index The variations of the first four natural frequencies of SS-SS DBDFG beams (
Figure 11 is devoted to present the first four mode shapes of CC-CC DBDFG beams with The first four mode shapes of CC-CC DBDFG beams with The first four mode shapes of SS-SS DBDFG beams with 

Conclusion
The free transverse vibrations of the two-dimensional functionally graded double beams connected by variable Winkler-type elastic layer were conducted. It was assumed that the modulus of elasticity and the density of the material vary along the thickness and the axial direction of the beams according to a power-law and exponential distribution functions, respectively. The governing differential equations of motion were established by applying Hamilton’s principle, and the CSCM was utilized to discretize the differential equations and convert them into a set of algebraic equations. The natural transverse frequencies were determined, and the effects of the axial and transverse FG indexes, the height ratio of the beams, the stiffness of the Winkler layer, and the boundary conditions were examined. The results show that increasing the stiffness of the connecting layer has a growing effect on the frequencies, whereas the height ratio and the FG lateral and axial indexes may have softening or hardening impacts on the natural frequencies. The author believes that the findings and the introduced method may be interesting for the researchers working on the analysis of bi-directional FG double beams. For the future work, it is recommended to extend the investigation to include other structures such as bi-directional rods, plates, and shells. Moreover, it is suggested to deal with viscoelastic and nonlinear layers.
Footnotes
Declaration of conflicting interests
The author(s) declared no potential conflicts of interest with respect to the research, authorship, and/or publication of this article.
Funding
The author(s) received no financial support for the research, authorship, and/or publication of this article.
