Abstract
In this study, a ternary MgO-impregnated eggshell–kaolin (EKM) composite was synthesized and evaluated for fluoride removal from water under fixed-bed column adsorption. The composite, prepared by co-precipitation and wet impregnation, was characterized using XRD, FTIR, SEM–EDX, and Brunauer–Emmet–Teller analyses. Results confirmed successful integration of the three components, yielding a mesoporous structure with a surface area of 158.5 m2 g−1. The composite exhibited good defluoridation performance under varying operational conditions. Higher bed depth and lower flow rate enhanced adsorption capacity, achieving up to 6.35 mg g−1 at 10 mg L−1 influent fluoride concentration. Breakthrough data were well described by the Thomas, Clark, and Yoon–Nelson models (
Introduction
Securing access to safe and clean\ water is one of the most pressing challenges facing the world today (Okafor et al., 2024). Among the various threats to water quality, fluoride contamination in groundwater is particularly concerning, especially in arid and semi-arid regions where groundwater often serves as the primary source of drinking water (Kimambo et al., 2019). Elevated fluoride levels, commonly of geogenic origin, exceed the World Health Organization (WHO) recommended the limit of 1.5 mg L−1, leading to widespread health disorders, including dental and skeletal fluorosis (Owusu-Agyeman et al., 2019; Solanki et al., 2021). These health impacts disproportionately affect rural and low-income communities, further compounding issues of inequality and access to safe water. Africa bears a disproportionate burden, with over 40 million individuals affected, particularly in East African countries like Kenya, Ethiopia, and Tanzania (Ijumulana et al., 2021; Workeneh et al., 2019). Similarly, in parts of Asia, including India and China, approximately 90 million people are affected by fluorosis (Chen et al., 2010). Fluoride contamination not only endangers public health but also undermines the broader goal of water sustainability, making it a critical barrier to achieving Sustainable Development Goal 6, which aims to ensure the availability and sustainable management of water and sanitation for all (Tortajada, 2020). Addressing this challenge requires the development of affordable, efficient, and locally accessible defluoridation technologies that can improve water quality without imposing financial or technical burdens on resource-limited communities.
Many technologies have been applied to meet the enforceable drinking water standard for fluoride, including nano-filtration (Owusu-Agyeman et al., 2019), coagulation (Solanki et al., 2021), chemical precipitation (Wang et al., 2021), electrodialysis (Wang et al., 2019), electrochemical oxidation (Lin et al., 2021), ion exchange (Feng et al., 2021), reverse osmosis (Lin et al., 2021), and adsorption (Nabbou et al., 2019). Among these techniques, adsorption has been widely applied and accepted due to its inexpensiveness, low sludge production, ease of operation, regeneration capability, and high fluoride removal efficiency (Chaudhary et al., 2021; Fadaei, 2021; Lee et al., 2021). Conventional adsorbents and composites such as graphene oxide composites (Prathibha et al., 2020), activated alumina (Alhassan et al., 2021), metal–organic frameworks (Tang et al., 2022), hydroxyapatite (Rathnayake et al., 2022), MgO nano-particles (Borgohain et al., 2020), eggshells (Lee et al., 2021), kaolin (Ayalew, 2020), and bone char (Nigri et al., 2020), have been developed and applied for water defluoridation. However, many of these materials are limited by potential secondary contamination, effectiveness only under acidic conditions, low performance, limited accessibility, and unsuitability for large-scale application (Das et al., 2021; Wan et al., 2021). In this regard, there is a pressing need for alternative materials that are locally available, effective, and environmentally friendly.
As an alternative, waste eggshells have been widely studied as low-cost, natural adsorbents for fluoride removal due to their high calcium content, primarily in the form of calcium carbonate (Lee et al., 2021). However, their practical application in water defluoridation is limited by factors such as low adsorption capacity, narrow pH effectiveness, slow kinetics, structural instability, and poor reusability (Assami and Messaitfa, 2023; Lee et al., 2021). To address these limitations, an eggshell–kaolin composite was synthesized at varying ratios for defluoridation investigations (Senarathna et al., 2024). The composite with a 50:50 ratio demonstrated the highest fluoride removal efficiency of 53% (Senarathna et al., 2024). Despite exhibiting a higher adsorption capacity than eggshells alone, the overall capacity of the composite remained comparatively low (0.08 mg g−1). Impregnating an eggshell–kaolin composite with a metal oxide possessing a high affinity for fluoride ions may offer a promising strategy for enhanced defluoridation.
MgO exhibits a high affinity for
To date, no studies have incorporated magnesium oxide (MgO) into an eggshell–kaolin framework. Given the strong affinity of MgO for fluoride, high surface reactivity, and stability over a wide pH range, its integration into a biogenic mineral composite could potentially enhance adsorption efficiency, rate, and reusability. However, the adsorption behavior, mechanistic pathways, and practical performance of such a composite remain unexplored.
Moreover, several studies have investigated the defluoridation of water through batch adsorption experiments, with a primary focus on the synthesis and characterization of adsorbents, as well as isotherm, kinetic, and thermodynamic studies. While these investigations are essential for assessing the effectiveness of various adsorbents under controlled conditions, the findings from batch adsorption cannot accurately represent the dynamic behavior of adsorption processes, nor can they be reliably extrapolated to large-scale or field applications. To address this limitation, the present study employed fixed-bed column adsorption for the removal of fluoride ions (
Building on recent advancements in the application of natural and metal oxide-based adsorbents for water treatment, this study presents the synthesis, characterization, and evaluation of EKM composite material for the removal of fluoride from drinking water. The composite was prepared by integrating eggshell, kaolin, and MgO, thereby harnessing the calcium-rich composition of eggshells, the structural stability of kaolin clay, and the strong affinity of MgO for fluoride ions. The defluoridation performance of the composite was investigated under fixed-bed column adsorption conditions. Specifically, the effects of flow rate, initial fluoride concentration, and background electrolytes on the adsorption capacity were examined. Breakthrough curve analyses were further conducted using the Thomas, Clark, Yoon–Nelson, and bed depth service time (BDST) models to elucidate the adsorption mechanisms and column kinetics. In addition, the reusability of the composite was assessed through multiple adsorption–desorption cycles to evaluate its potential for practical application.
Materials and methods
Materials
This study used waste eggshells collected from Cafe la Zain restaurant in Arusha and kaolin obtained from Malangali, Iringa. The chemicals or reagents employed include Mg(NO3)2, NaOH, HCl, and NaF. All chemicals used were of analytical grade and sourced from Thermo Fisher Scientific. Additionally, deionized water was used for washing, rinsing, and preparing solutions.
Preparation of EKM composite
Eggshells and kaolin clay were placed in laboratory basins, thoroughly washed, and rinsed with deionized water to remove any adhering impurities. Both eggshells and kaolin were allowed to settle in water for 1 h, then decanted, and oven-dried at 105 °C for 24 h to remove moisture. The drying process was followed by grinding using a heavy-duty blender, and the powder was then sieved through 250 μm sieves. The materials were packed in plastic bags and stored for further analysis.
Co-precipitation and wet impregnation methods were used to prepare the ternary EKM composite (Setiadji et al., 2018; Suwattanamala et al., 2017). Exactly 500 mL of 0.2 M Mg(NO3)2 was placed in a 1000 mL beaker on a hot plate magnetic stirrer (cat. no. CB162, Sr. no. R300001128, 230 V, 50 Hz, 550 W, 15 A) equipped with a suspended pH meter and a thermometer. A temperature of 80 °C was set to speed up the reaction under constant stirring. Then, 1 M NaOH was added to the solution dropwise until a pH of 9 was reached, and the precipitate of Mg(OH)2 began to form. A 50:50 ratio of eggshell and kaolin was weighed separately and added to a beaker containing Mg(OH)2, after which the mixture was stirred on a hot plate magnetic stirrer overnight. The mixture was filtered using a suction filtration pump, and the final product was dried overnight in an oven at 105 °C. The resulting product was calcined in a furnace for 3 h at 900 °C. The synthesis yielded ∼4 g of MgO, corresponding to an Mg/MgO mass ratio of 1:1.66. Upon incorporation into 60 g of eggshell–kaolin support prepared at a 50:50 (w/w) ratio, the resulting composite exhibited an MgO loading of 6.3 wt%.
Physico-chemical characterization of EKM composite
The Quanta Chrome NOVA 1200e surface area and porosity analyzer was used to evaluate the surface area and porosity characteristics of the EKM composite using the Brunauer–Emmet–Teller (BET) method. Under the BET method, vapors were extracted from all samples using a 0.1 mTorr pressure and vacuum at 573 K for 6 h. Measurements were made by physical adsorption using pure liquid nitrogen at 77.35 K. Scanning electron microscopy coupled with an energy dispersive X-ray spectrometer (SEM–EDX), Oxford Instruments, X-Max, Ultra55, and Zeiss, was used to perform the morphological analysis and to study the elemental composition of the EKM composite before and after adsorption. A Fourier-transform infrared (FTIR) (Bruker Optics ALPHA-E) spectrometer was used to elucidate the functional groups present on EKM before and after adsorption. The samples were prepared by first oven-drying for 2 h, cooled in a desiccator, and ground to a fine consistency in an agate mortar to ensure homogeneity. Approximately 10 mg of the sample was evenly spread on an Attenuated Total Reflectance crystal, and the pressure arm was applied to achieve a good contact between the sample and the crystal surface. Background spectra were collected prior to each measurement, and the sample spectra were acquired in the range of 4000–400 cm−1 at 4 cm−1 resolution with 32 co-added scans. The crystallographic properties of EKM were determined using an X-ray diffractometer (Rebaku SmartLab XRD) with an analyzer scanning mode, employing a CuKα wavelength (
Preparation of stock solution
Sodium fluoride (NaF) was used as a fluoride source to prepare a stock solution of fluoride. Exactly, 0.2 g of NaF was dissolved in 2 L of deionized water to prepare a 100 mg L−1 stock solution, followed by serial dilution to obtain working solutions of different fluoride concentrations (5, 10, and 20 mg L−1).
Estimation of fluoride ion
Fluoride concentrations in water samples were determined using an ion-selective electrode (HACH, HQ 30d Flexi, Intellical™ Fluoride, ISEF121, SN: 162362938003) following the manufacturer's instructions. The electrode was calibrated with fluoride standard solutions of 0.1, 0.5, 1.0, 5.0, and 10.0 mg L−1 prepared in total ionic strength adjustment buffer (TISAB). Water samples were mixed with an equal volume of TISAB to maintain a constant ionic strength and pH, and the electrode was immersed until stable readings were obtained. Fluoride concentrations were calculated from the calibration curve, and each sample was analyzed in triplicate to ensure accuracy and reproducibility.
Fixed-bed column adsorption
Fixed-bed column adsorption experiments were carried out using a cylindrical glass column with an internal diameter and column height of 1.04 and 40 cm, respectively. A glass wool (∼2 cm) was placed at the bottom of the column to prevent loss of the adsorbent from the column and promote uniform distribution of the influent solution through the cross-section of the column. The bulk density determined from the dry adsorbent packed in the column and the volume of the packed bed was 0.59 g cm−3, while the particle density and bed porosity were 2.69 g cm−3 and 0.78, respectively. The column was packed with a wetted EKM adsorbent, and the system was operated under gravity flow, with the influent supplied from an elevated reservoir. The experiment was conducted at varying flow rates (1, 1.5, and 2 mL min−1), initial fluoride concentrations (5, 10, and 20 mg L−1), and bed depths (2, 4, and 6 cm). The flow rate was adjusted using controllable faucets and was performed at an initial fluoride concentration of 5 mg L−1 and a bed depth of 2 cm. The effect of initial fluoride concentration was studied at a flow rate of 1 mL min−1 and a bed depth of 2 cm. The bed depth was varied at a fixed initial fluoride concentration of 5 mg L−1 and a flow rate of 1 mL min−1. The effluent samples were collected at 60-min intervals and analyzed for fluoride concentration. The experiment continued until the concentration at the outlet of the column almost equaled the concentration at the inlet. Breakthrough curves were plotted for the evaluation of the fixed-bed column adsorption.
Breakthrough curve analysis
The performance of the fixed-bed column adsorption was evaluated through breakthrough curve analysis, where the ratio of effluent to influent concentration (
The empty bed contact time (EBCT), representing the average residence time of the solution within the column, was calculated using the below equation:
The total amount of fluoride ions retained on the column bed at a given concentration (
The volume of effluent that can be treated by the column was calculated from the influent flow rate and exhaustion time using the below equation:
The bulk density,
The volume of the packed bed
The particle density,
Results and discussion
Physico-chemical characterization of the adsorbent
XRD analysis
Figure 1 shows the XRD patterns of eggshells, kaolin, MgO, and the ternary EKM composite. The eggshell diffraction peaks appear at 2

XRD pattern of (a) eggshell, (b) kaolin, (c) MgO, and (d) EKM composite recorded using Cu Kα radiation (
FTIR analysis
Figure 2 shows the FTIR spectra of the EKM adsorbent before and after adsorption. Noticeable changes from the spectra include peak shifting, changes in peak intensity, as well as the disappearance and emergence of some peaks after adsorption. Before adsorption, the FTIR spectrum of EKM shows a sharp band at 3654 cm−1 corresponding to the unassociated surface hydroxyl groups (–OH), originating from both the eggshell and MgO components, which tend to adsorb moisture from the ambient air. While this peak disappeared after adsorption of

FTIR spectra of EKM adsorbent before and after adsorption, in the 4000–400 cm−1 range. EKM: MgO-impregnated eggshell–kaolin.
SEM–EDX analysis
SEM–EDX results presented in Figure 3 show the surface morphology and composition of the EKM adsorbent before and after adsorption. Before adsorption, the SEM image of EKM (Figure 3(a)) shows a heterogeneous and compact microstructure with distinguishable clusters and flaky plates. The image exhibits slight aggregation, interstices, well-distributed roughness, and surface texture, which is ideal for

(a) SEM image of EKM before adsorption, (b) SEM image of EKM after adsorption, (c) EDX spectrum after adsorption (accelerating voltage = 5 kV and magnification = 100k×). EKM: MgO-impregnated eggshell–kaolin.
BET analysis
The results presented in Table 1 show the BET surface area values and porosity characteristics of eggshells, kaolin, MgO, and EKM adsorbent samples. The observed BET surface area (158.5 m2 g−1), pore radius (19.1 Å), and pore volume (0.2 cm3 g−1) for the EKM composite are correspondingly larger than those of eggshells, kaolin, and MgO. The larger surface area and porosity characteristics of the composite suggest its porous nature, which can facilitate the uptake of
BET surface area and porosity features of eggshells, kaolin, MgO, and EKM composite recorded at 77 K using the multi-point and BJH methods.
BET: Brunauer-Emmett-Teller; BJH: Barrett-Joyner-Halenda; EKM: MgO-impregnated eggshell–kaolin.
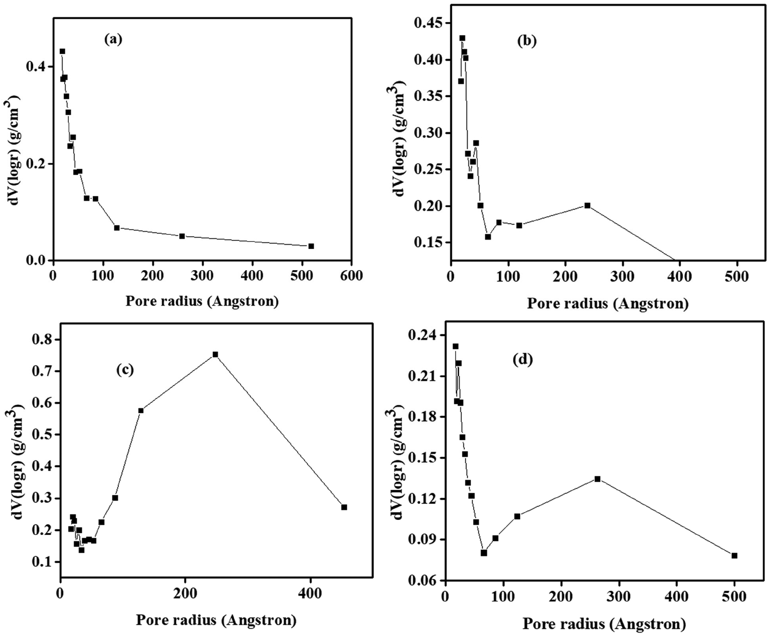
The adsorption–desorption isotherms (Figure 4) reveal distinct textural characteristics of the studied materials characterized according to the International Union of Pure and Applied Chemistry (IUPAC) classification. Figure 4(a) shows that the calcined eggshells approach type IV isotherm with negligible hysteresis. Calcined kaolin and MgO (Figure 4(b) and (c)) display type IV isotherms with pronounced H3 hysteresis loops, characteristic of mesoporous materials, indicative of non-rigid aggregates of plate-like particles that give rise to slit-shaped pores (Lin et al., 2021; Wang et al., 2020). Figure 4(d) shows that the EKM composite also follows a type IV isotherm with moderated H3 hysteresis, reflecting a hierarchical mesoporous structure arising from the synergistic combination of the parent materials, which is favorable for enhanced adsorption performance. Estimation of the pore size distributions of the materials using liquid nitrogen as an adsorbate at 77 K is presented in Figure 5. Figure 5(a) to (d) shows that most pores lie in the mesoporous range of 2 nm <

Adsorption–desorption curve for (a) CE, (b) CK, (c) CM, and (d) EKM recorded at 77 K using the multi-point and BJH methods. BJH: Barrett-Joyner-Halenda; EKM: MgO-impregnated eggshell–kaolin.

Pore size distribution for (a) CE, (b) CK, (c) CM, and (d) EKM recorded at 77 K using the multi-point and BJH methods. BJH: Barrett-Joyner-Halenda; EKM: MgO-impregnated eggshell–kaolin.
Fixed-bed column adsorption of fluoride onto EKM adsorbent
Effect of flow rate
Flow rate is a key parameter for evaluating the performance of a fixed-bed adsorption column. The impact of flow rate on breakthrough curves was analyzed at different flow rates (1, 1.5, and 2 mL min−1). Experiments were performed with an initial fluoride concentration of 5 mg L−1, a bed depth of 2 cm, at 25 °C, and pH 7. The results, shown in Figure 6(a) and Table 2, illustrate how breakthrough curves change with increasing influent flow rate and include the parameters derived from these curves. Increasing the influent flow rate through the column resulted in a decrease in breakthrough times (from 300 to 180 and 120 min) and exhaustion times (from 1140 to 840 and 660 min). Consequently, the MTZ widened, while the EBCT decreased. Furthermore, higher flow rates led to a reduction in both the effluent volume (1140, 840, and 660 mL) and the equilibrium adsorption capacity (2.84, 2.51, and 1.14 mg g−1). The variations may be attributed to the shorter residence time at higher flow rates, which reduces the contact time between fluoride ions in the solution and the EKM adsorbent in the column bed, causing the ions to exit the column before equilibrium is achieved. A similar phenomenon was reported to cause a decrease in the equilibrium adsorption capacity (Kumari et al., 2021; Zhang et al., 2019).

Experimental breakthrough curve of the fixed-bed column adsorption of
Experimental parameters of the breakthrough curves from the adsorption of fluoride onto EKM adsorbent.
EKM: MgO-impregnated eggshell–kaolin; MTZ: mass transfer zone; EBCT: empty bed contact time.
Effect of initial fluoride concentration
The effect of the initial fluoride concentration on the breakthrough curves was studied using solutions with concentrations of 5, 10, and 20 mg L−1. The experiment was conducted at a bed depth of 2 cm, a flow rate of 1 mL min−1 at 25 °C, and pH 7. The results in Figure 6(b) and Table 2 show that the increase in the initial fluoride concentration (5, 10, and 20 mg L−1) has led to the decrease of the breakthrough times (300, 180, and 60 min), the exhaustion times (1140, 900, and 720 min) and the effluent volume (1140, 900, and 720 mL). The observations could be attributed to the saturation of the available active sites of the adsorbent at higher initial fluoride concentration (Kumari et al., 2021). However, there was an increase in the equilibrium adsorption capacity (2.84, 4.42, and 6.48 mg g−1) with the rise of initial fluoride concentration. This may be ascribed to the greater driving force provided by the high fluoride concentration to overcome the fixed-bed mass transfer resistance as described by previous studies (Chakraborty et al., 2021; Zhang et al., 2019). The values of the MTZ (1.47, 1.60, and 1.83 cm) also increased with increasing initial fluoride concentration.
Effect of bed depth
The effect of bed depth was studied by adjusting the column's bed depth to 2, 4, and 6 cm. The solution, with an initial fluoride concentration of 5 mg L−1, was passed through the column at a flow rate of 1 mL min−1, a temperature of 25 °C, and a pH of 7. The experimental results (Figure 6(c)) show that breakthrough times (300, 360, and 600 min) and exhaustion times (1140, 1380, and 1560 min) increased as bed depth increased. The equilibrium adsorption capacity (2.84, 3.49, and 4.57 mg g−1), effluent volume (1140, 1380, and 1560 mL), and the MTZ (1.47, 2.96, and 3.69 cm) also rose with increased bed depth. This rise in equilibrium adsorption capacity likely results from longer residence time, allowing fluoride ions to diffuse deeper into the EKM adsorbent. Furthermore, increasing bed depth offers more active sites for fluoride binding, which can delay both breakthrough and exhaustion times. A similar observation is documented by other researchers (Kumari et al., 2021; William et al., 2025).
Breakthrough curve modeling
Breakthrough curve modeling is essential for understanding and predicting the dynamic behavior of fixed-bed column adsorption systems (Kumari et al., 2021). Various mathematical breakthrough curve models have been applied to analyze and describe lab-scale column studies. In this study, three models: the Thomas, Clark, and Yoon–Nelson models, were employed at different flow rates, initial fluoride concentrations, and bed depths to evaluate the effects of these parameters on adsorption performance and to gain insights into the underlying mass transfer mechanisms (Kumari et al., 2021; William et al., 2025).
Thomas model
The Thomas model is one of the most frequently used models in fixed-bed column adsorption research. Its core assumptions include: (i) plug flow within the adsorption bed (no axial dispersion), (ii) adsorption–desorption processes follow pseudo-second-order reversible adsorption kinetics, (iii) equilibrium adheres to a Langmuir isotherm, and (iv) that external and intra-particle diffusion resistances are insignificant (Cruz et al., 2020; Geleta et al., 2021; Kumari et al., 2021). These simplifications make the Thomas model a valuable tool for predicting breakthrough behavior and estimating two primary parameters: the maximum adsorption capacity of the column bed

Thomas breakthrough curve modeling for fixed-bed column adsorption of
The values of
Parameters of the Thomas, Clark, and Yoon–Nelson model for fixed-bed column adsorption of
EKM: MgO-impregnated eggshell–kaolin.
Clark model
The Clark model has been widely used in breakthrough modeling, as it integrates mass transfer kinetics with the Freundlich isotherm to describe the transport of adsorbate through a fixed-bed adsorbent. Its underlying assumptions include: (i) adsorption follows the Freundlich equilibrium, (ii) breakthrough behavior is governed by the rate of mass transfer in the bed, and (iii) the system approximates ideal plug flow without significant axial dispersion (Bakhta et al., 2024). The linearized expression for the Clark model is provided below:

Clark breakthrough curve modeling for fixed-bed column adsorption of
From Table 3, the correlation coefficient (
Yoon–Nelson model
Another model commonly used to predict breakthrough behavior in fixed-bed column adsorption is the Yoon–Nelson model. This model helps estimate the time needed for a 50% breakthrough (

Yoon–Nelson breakthrough curve modeling for fixed-bed column adsorption of
Comparison of the Thomas, Clark, and Yoon–Nelson models
At lower influent concentrations (5–10 mg L−1), all models provided good fits (
Generally, the Thomas, Yoon–Nelson, and Clark models applied in this study are based on the assumptions of ideal plug flow, negligible axial dispersion, minimal intra-particle diffusion resistance, and uniform bed porosity. The generally high coefficients of determination (
BDST model
The BDST model is another widely used model for the continuous fixed-bed column adsorption studies. It has been modified from the Bohart–Adams equation (Sikha et al., 2025; Zhang et al., 2019). The BDST model predicts the time a column can operate effectively before saturation occurs, commonly referred to as the service time. In this study, the service time was determined in relation to the WHO guideline value of 1.5 mg L−1 fluoride, representing the threshold concentration (
The significance of the BDST model lies in its ability to relate bed depth to service time, thereby facilitating the estimation of how long a given adsorbent column can treat wastewater before replacement or regeneration is required. The linearized mathematical expression for the BDST model, as proposed by Hutchins, is given below (Hutchins, 1973):
The plot of

Bed depth service time model for fixed-bed column adsorption of
Reusability study
Regeneration of the adsorbent was performed to evaluate its reusability over three consecutive cycles. After each adsorption process, the column was rinsed with 0.1 M NaOH solution at a flow rate of 1 mL min−1 to desorb the fluoride ions. This was followed by washing with deionized water until a neutral pH was reached. The regenerated adsorbent was then reused for three adsorption cycles, and the effluent fluoride concentration was recorded to evaluate the adsorbent's stability and regeneration performance. Figure 11 shows the changes in the breakthrough curves when the fixed-bed column is reused for the four cycles. The consecutive increase of the reusability cycle has led to a left shift and shorter breakthrough times with minimal breakthrough and exhaustion times. The breakthrough times for the first, second, third, and fourth cycles were 600, 420, 300, and 180 min, respectively, while the corresponding exhaustion times were 1560, 1320, 1140, and 960 min, indicating a progressive decrease in column performance with repeated use. This behavior may be attributed to the gradual saturation of the active sites, resulting from irreversible fluoride binding at surface Mg- and Ca-based sites, partial loss or transformation of Mg- and Ca-based active sites during alkaline NaOH regeneration, and accumulation of Mg–F and Ca–F surface complexes within mesopores, which increases diffusion resistance. Additionally, repeated regeneration and washing cycles may cause particle rearrangement and bed compaction, further contributing to earlier breakthrough with successive reuse cycles (Kumari et al., 2021).

Reusability study of EKM on fixed-bed column adsorption. EKM: MgO-impregnated eggshell–kaolin.
Effect of co-existing anions
The assessment of competing anions such as phosphate (
The influence of co-existing anions on fluoride adsorption was evident from both the breakthrough behavior (Figure 12(a)) and the total adsorption capacities (Figure 12(b)). Among the anions, the breakthrough curve of

Effect of co-existing anions on (a) breakthrough curves, and (b) adsorption capacity for the fixed-bed column adsorption of
Cost analysis
From this study, it was observed that water with safe fluoride levels of 1.5 mg L−1 can be obtained at ∼180 min, during which 0.18 L of water is treated using 1 g of the EKM adsorbent. Extrapolating from this performance, only 11.11 g of adsorbent would be required to produce 2 L of defluoridated water, which corresponds to the average daily water intake per person. This relatively small quantity of material demonstrates the efficiency of the composite in producing safe drinking water with minimal adsorbent usage.
The raw materials required for composite preparation are inexpensive and locally accessible. Eggshells are an abundant waste byproduct with negligible acquisition cost. Kaolin, sourced from Tanzania, has an indicative cost of approximately USD0.04 per kg, while magnesium nitrate hexahydrate [Mg(NO3)2·6H2O], the precursor for MgO, is available at about USD3–5 per kg. Based on these values, the cost of producing 11.11 g of adsorbent, sufficient to treat 2 L of drinking water, would be only a fraction of USD1. Furthermore, the potential to regenerate and reuse the adsorbent over multiple cycles would further reduce the material demand and cost per liter of safe water produced, thereby enhancing its sustainability. These results highlight the potential of the EKM composite as an affordable and sustainable defluoridation material for use in fluoride-affected regions.
Comparison with other adsorbents
The adsorption capacity of the EKM adsorbent used in this study for the uptake of
Comparison of EKM composite with other adsorbents for fluoride removal in a fixed-bed column system.
EKM: MgO-impregnated eggshell–kaolin.
Conclusion
The study demonstrated that the synthesized EKM composite is an efficient, low-cost, and sustainable adsorbent for fluoride removal from water using a fixed-bed column system. The composite exhibited a mesoporous structure with a large surface area of 158.5 m2 g−1, enhancing ion exchange and surface adsorption. The column performance was strongly influenced by operational parameters. Increasing the flow rate reduced the breakthrough time from 300 to 120 min and the exhaustion time from 1140 to 660 min due to shorter contact periods, while increasing the initial fluoride concentration raised the adsorption capacity from 2.84 to 6.48 mg g−1 but shortened the breakthrough time from 300 to 60 min. Increasing the bed depth extended breakthrough and exhaustion times from 300 to 600 min and from 1140 to 1560 min, respectively, owing to the availability of more active sites. The Thomas, Clark, and Yoon–Nelson models provided excellent fits (
Footnotes
Acknowledgments
The authors would like to acknowledge the Nelson Mandela African Institution of Science and Technology and the University of Dodoma for their help and support in carrying out this research work successfully.
ORCID iDs
Funding
The authors received no financial support for the research, authorship, and/or publication of this article.
Declaration of conflicting interests
The authors declared no potential conflicts of interest with respect to the research, authorship, and/or publication of this article.
Data availability
All the data used to support the findings of this study are included in the article.
