Abstract
High-yield natural gas was discovered in well SN4 in the Ordovician Yingshan Formation in the Tarim Basin. The gas is found in unusual, silicified, carbonate reservoirs. According to the degree of silicification, the silicified reservoirs can be divided into a lower section of silicified carbonates, a middle section of limestone, and an upper section of silicified carbonates. The silicified carbonates are mainly composed of quartz and calcite, in which the reservoir space mostly occurs as vugs, inter-crystalline pores of quartz, and partial fractures. Porosity varies widely, ranging from 3 to 20.5% with strong heterogeneity. The homogenization temperatures of fluid inclusions in quartz and calcite show that the silicification temperatures were 150–190°C, with characteristics of high temperature/low salinity and low temperature/high salinity. The 87Sr/86Sr ratios of secondary calcite are 0.709336–0.709732, which are significantly higher than that of concurrent seawater, indicating that the hydrothermal fluid originated from the deep clastic strata or the basement (sialic rock). The δ13C values of the secondary calcite are similar to that of the surrounding limestone, indicating that the carbon in the secondary calcite is derived from the limestone strata, and that the secondary calcite is the product of dissolution and re-precipitation resulting from interaction between the silica-bearing hydrothermal fluids and surrounding limestones. The silicification of silica-bearing hydrothermal fluid was significantly controlled by strike-slip faults. The fluids ascending along the fault zone and branch faults interacted with the surrounding limestone in the Yingshan Formation. As a result, a large amount of quartz and secondary calcite were formed together with various types of secondary pores, resulting in excellent reservoirs.
Keywords
Introduction
There are few studies considering silicified carbonates as reservoirs in hydrocarbon-rich sedimentary basins. Packard et al. (2001) reported a hydrothermal, chert reservoir in the Parkland Field in the Western Canada Basin, Canada (Packard et al., 2001). A type of high-quality, secondary-silicified reservoir in the Lower Palaeozoic buried hills in the Zhuanghai area of the Jiyang Depression showed a mineral combination of quartz-fluorite-barite-pyrite (Yu et al., 2010). The pre-salt carbonates in the Kwanza Basin of Angola also underwent hydrothermal silicification, such that the silicified carbonate reservoir showed porosity of up to 15% and permeability up to 100 mD (Poros et al., 2017).
In 2013, silicified carbonate reservoirs were discovered in the Yingshan Formation of well SN4 in the Tarim Basin (6668.81–6681 m), and a high-yield gas flow of approximately 40 × 104 m3 per day was tested (Wang et al., 2014a). Thus, silicified reservoirs represent a new type of reservoir in the Tarim Basin, and have been the focus of many explorers and scientists. Based on the analysis of fluid inclusions and rare earth elements in quartz, some scholars have suggested that the hydrothermal fluid related to the silicification originated from a mixture of magmatic fluid and formation water (Chen et al., 2016; Li et al., 2015). A preliminary study has shown that changes in the characteristics of this type of silicified carbonate reservoir are complicated by strong heterogeneity, which includes both silicified rocks with good porosity and densely silicified rocks with poor porosity. Therefore, understanding the development characteristics, formation mechanisms, and distribution of such silicified reservoirs is critical to oil and gas exploration in the northern area of the Tazhong No. 1 Fault in the Tarim Basin.
Silicification associated with hydrothermal activity without scalable reservoirs has been found many times in previous studies in the Tarim Basin (Jin et al., 2006; Zhu et al., 2008, 2015a; Zhu and Meng, 2010). For example, the silicification in the fluorite-bearing reservoir in well TZ45 of the Katake Uplift are considered to have been caused by hydrothermal fluids (Zhang et al., 2006; Zhu et al., 2005). The silicification in wells GL1 and GC6 of the Guchengxu Uplift is also associated with hydrothermal activity (Tang et al., 2013)., Lower Palaeozoic strata in outcrop profiles in the field commonly show silicification (Dong et al., 2017; Zhou et al., 2014). Silicification is an important late-stage reformation for the Lower Palaeozoic carbonates in the Tarim Basin, which has practical significance for petroleum exploration in the northern area of the Tazhong No. 1 Fault, and even the Tarim Basin. Therefore, understanding the characteristics of these silicified carbonate reservoirs and elucidating their formation mechanisms and development patterns are of great theoretical and practical significance for the prediction of such reservoirs and oil/gas exploration.
This study aimed to: (1) systematically detail the characteristics and changes in silicified carbonates in well SN4; (2) summarize spatial pattern and development characteristics of the reservoir by detailed core investigation and petrographic analysis; (3) discuss the formation conditions and development patterns of such reservoirs via geochemical analysis of isotopes and trace elements, as well as tests of fluid inclusions; and (4) provide a theoretical framework for the prediction of these reservoirs and their associated hydrocarbon accumulations.
Geological setting
The Tarim Basin, located in northwest China, has an area of approximately 560,000 km2, which can be divided into seven primary tectonic units, including the Kuche Depression, North Uplift, North Depression, Central Uplift, Southwest Depression, Southeast Uplift, and Southeast Depression (Jin et al., 2005). Thick sediments have been developed above the Precambrian crystalline basement, which can be broadly divided into six tectonic layers, including the Sinian–Ordovician (Z-O), Silurian–Middle Devonian (S-D2), Upper Devonian–Middle Permian (D3-P2), Upper Permian–Triassic (P3-T), Jurassic–Paleogene (J-E), and Neogene–Quaternary (N-Q), separated by regional unconformities (He et al., 2005). In addition, some specific periods are accompanied by magmatism and volcanism, which occurred mainly in the Early Cambrian, Ordovician, Mid-Permian, and Cretaceous (Chen et al., 1997).
Well SN4 is located on the Guchengxu Uplift in the eastern Central Uplift (Figure 1), where a complete sequence of Palaeozoic strata are developed. The shale (the slope facies) in the Yurtusi Formation of the Lower Cambrian and the mudstone (basin facies) in the Heituwa Formation of the Mid-to-Lower Ordovician are the main hydrocarbon source rocks. The Cambrian–Mid-Ordovician carbonates are the main reservoir rocks. Dense carbonates form a direct seal, while the thick mudstones of the Late Ordovician form a high-quality regional seal. The Ordovician strata are approximately 4000 m thick and are divided into the Penglaiba Formation, Yingshan Formation, Yijianfang Formation, Qiaerbake Formation, and Queerqueke Formations from bottom to top. The Yingshan Formation mainly consists of a lower section of dolomite and an upper section of limestone (Cai et al., 2011; Yun and Cao, 2014), and the silicified reservoir mainly occurs in the limestone section (Figure 2).

Location map of well SN4 in the Guchengxu Uplift and tectonic units in the Tarim Basin.

Characteristics of silicified carbonate reservoirs in well SN4 and sample locations.
The northern area of the Tazhong No.1 Fault (including the Guchengxu Uplift and Shuntuoguole Lower Uplift) has developed a series of north-north-east (NNE) oriented strike-slip faults, and well SN4 is located at the trans-extensional part of one NNE strike-slip fault (Figure 1). Studies have shown that the formation of these strike-slip faults is related to activities on the regional faults, and which are mainly controlled by the Tazhong No. 1 Fault and Tazhong No. 2 Fault (Huang, 2014; Yang et al., 2013). The late Caledonian–early Hercynian was the main period of activity on the NNE strike-slip fault. Against a background of strong south-eastern oblique compression, the NNE strike-slip faults show the characteristics of inheritance and multi-stage activity (Huang, 2014; Yang et al., 2013). The activities of the strike-slip faults during the Late Hercynian are generally weak, and most of these faults do not crosscut the Carboniferous strata.
In recent years, many high-yield gas wells have been developed near these strike-slip faults. Well SN5, about 15 km southwest of well SN4, also achieved high-yield gas flow, while well GC9, approximately 80 km away east of well SN4, achieved productivity of 107.8 × 104 m3/d (Wang et al., 2014a). The reservoirs of some high-yield gas wells are generally located near the transition zone between the dolomite and limestone of the Yingshan Formation (GL1, GC6, GC8, and GC9). Studies have suggested that the natural gas originated mainly from the Manjiaer sag (Zhu et al., 2015b) and entered the Yingshan reservoirs from bottom to top along faults. The period of natural gas accumulation was relatively late, mainly during the Yanshanian period (Wang et al., 2014a; Yun and Cao, 2014).
Samples and methods
The core section of silicified carbonate reservoir in Yingshan Formation of well SN4 extends from 6668.80 m to 6673 m, a total of 4.2 m. Based on detailed core observations, we collected a total of 33 samples. We selected 26 typical samples to make thin sections with a standard thickness of 0.03 mm and carried out petrographic analysis using Leica DM4500P polarizing microscope. We also produced double-sided polished and carbon-coated thin sections with 0.1-mm-thick for electron probe microanalyses (EPMA) and backscattered electron (BSE) imagery using a JEOL JXA-8100 electron microprobe with an accelerating voltage of 15 kV and specimen current of 20 nA. In addition, 7 core samples were subjected to the He-gas method for plunger-like porosity analysis. The porosity data are presented in columnar format in Figure 2.
The homogenization temperatures and ice-melting temperatures of fluid inclusions were measured in replacement quartz in the matrix (R-Qtz), columnar quartz filled in fracture (F-Qtz), euhedral calcite in early-stage (E-Cal), gigantic calcite in late-stage (G-Cal), and euhedral calcite cement (CC) between replacement quartz crystals. The fluid inclusions were analysed using a Linkam THMSG-600 heating-freezing stage. We selected somewhat regular primary inclusions to measure homogenization temperatures and ice-melting temperatures based on the petrographic analysis of the inclusions. The rate of temperature increase for the homogenization temperature testing was 15°C/min at the beginning and this value decreased to 1°C/min approaching gas bubble disappearance. The precision of the homogenization temperature testing is ±1°C. The ice-melting temperatures were determined by rapidly decreasing temperature to −60 to −80°C until the gas bubbles disappeared completely, and then increasing temperature slowly to measure the ice-melting point. The precision of the freezing point measurements is ±0.1°C. Next, we converted the ice-melting points to salinities (equivalent wt% NaCl) (Bodnar, 1993). The analysis of the gas composition of the fluid inclusion was carried out using a Renishaw Invia laser Raman spectrometer (Renishaw Co., UK) with an Ar+ laser (wavelength: 514 nm; spectral resolution: 2 cm−1).
We collected the surrounding limestones (packstone, pelletal limestone) and secondary calcite (euhedral calcite followed quartz in the early-stage, gigantic calcite later than euhedral calcite in the late-stage) to conduct stable carbon and oxygen isotope analysis (22 samples) and 87Sr/86Sr ratio analysis (12 samples). We also collected R-Qtz (16 samples) and F-Qtz (11 samples) to conduct oxygen isotope analysis of the quartz grains. All the geochemistry sample positions are shown in Figure 2.
The samples for carbon, oxygen, and strontium isotope analyses were ground to 200 mesh. For the carbon and oxygen isotope analysis, about 20 mg of powder was reacted with 100% orthophosphoric acid at 50°C for 3 h under vacuum to produce CO2 gas, which was then transferred into a MAT 253 mass spectrometer using helium (He) gas as the carrier. The analytical precision is better than ±0.1‰. The carbon and oxygen isotope data are reported in the standard delta (δ) notation relative to the Vienna Pee Dee Belemnite (VPDB) standard. For measurement of the strontium isotope (87Sr/86Sr) ratios, about 50 mg of sample powder was reacted with 2 ml of 6 M hydrochloric acid (HCl) at 100–110°C for 24 h to induce dissolution reactions. The separation of strontium was carried out by ion chromatography, and strontium was enriched with the conventional cation-exchange resin. 87Sr/86Sr Isotope ratios were measured by thermal inductance plasma mass spectrometer and normalized to the NBS987 standard. The mean standard error (2δ) is ±16 × 10−6.
A total of three limestone samples, three euhedral calcite samples (early-stage), and one gigantic calcite sample (late-stage) were analysed for their trace element (Zn, Cd, Ba, and Sr) and rare earth elements (REEs) contents using inductively coupled plasma mass spectrometry (ICP-MS). All samples were ground to less than 200 meshes using an agate pestle and about 50 mg (±0.2 mg) of sample powders were leached by 1 M acetic acid to selectively dissolve carbonate. Then the trace element and REEs concentration in the dissolved solution was measured using ICP-MS instrument at the State Key Laboratory of Shale Oil and Gas Accumulation Mechanism and Effective Development. Repeated analysis of standards and samples gave precisions better than ±6%. The data of elemental concentration listed in Table 3 were calculated from weight of the element in dissolved component.
We ground all quartz samples for oxygen isotope analysis to 200 mesh and purified the samples with dilute hydrochloric acid to eliminate carbonate minerals. The oxygen isotopes of quartz samples were analysed by the conventional BrF5 method (Clayton and Mayeda, 1963). The oxygen isotopes of the quartz samples are reported in the standard delta (δ) notation relative to the Vienna-Standard Mean Ocean Water (V-SMOW) standard. The analytical precision is better than ±0.2‰.
Results
Characteristics of the reservoir
Based on the degree of silicification, the silicified reservoirs in well SN4 can be divided into a lower section of silicified rocks, a middle section of limestone, and an upper section of silicified rocks (Figure 2). The main characteristics of the lower and upper sections are the high degree of silicification together with well-developed vugs-pores-fractures. Some parts of the silicified section have become relatively pure silicified rock locally (Figure 3). Based on the thin section investigation, the upper silicified rock section can be further subdivided into silicified limestone and silicified rock. The quartz content of the silicified limestone is generally less than 50%, whereas that of the silicified rock is greater than 50% with a maximum up to above 95%. The silicification of the middle limestone section is weak and the appearance of primary limestone is basically retained. Overall this section is relatively dense with only one fracture filled by quartz and calcite, and with sporadic silicification locally. The results of the porosity measurements show that the porosity of the 5 samples of silicified rock is 3–20.5%, whereas that of the 2 samples of limestone is only 1.4–1.6%. The relationship between the quartz percentages (estimated from thin sections) and porosity (Figure 4) shows that most of the highly silicified rocks have rather high porosity, while individual densely silicified rocks have rather low porosity, indicating that the reservoir capacity of silicified rock is heterogeneous.

Photographs of core of silicified carbonate reservoirs in well SN4. (a) Silicification is along a fracture, which is filled by quartz and calcite from the wall to centre. Silicified rock with light grey colour and fault breccia, 6668.81–6669.01 m. (b) Fracture and vug are filled by quartz and calcite together with silicified breccia. Silicified rock with dark grey colour, 6669.49–6669.61 m. (c) A large number of matrix pores are visible to the naked eye, accompanied by several sets fractures and silicified breccia. Calcite-bearing silicified rock with dark grey colour, 6669.71–6669.97 m. (d) A large number of matrix pores are developed together with a high dip fracture and silicified breccia. Silicified rock with light grey colour, 6670.39–6670.57 m. (e) A bevel fracture is filled by quartz and calcite from the wall to the centre, together with residual vug. Pelletal limestone with light grey colour, 6671.62–6671.96 m. (f) A vug is filled by columnar euhedral quartz (F-Qtz, yellow arrow), euhedral calcite (E-Cal, red arrow) and gigantic calcite (G-Cal, black arrow) from the wall to the centre. Silicified rock with dark grey colour, 6672.19–6672.28 m. (g) Several sets of fractures are filled by quartz and calcite. Silicified rock with dark grey colour, 6672.28–6672.51 m. (h) Fracture and related vug are filled by quartz and calcite. Silicified rock with light grey colour, 6673.20–6673.37 m. (i) A vug is filled by columnar euhedral quartz (F-Qtz) with bitumen on quartz crystal face. Silicified rock with dark grey colour, 6672.85–6672.98 m.

The relationship between estimated quartz content and porosity of packstone, pelletal limestone, and silicified rock in well SN4.
Upper silicified rock section
Several sets of fractures are developed in the upper silicified rock section. Two types of silicification (replacement and filling) occur along the fractures. The silica-bearing fluid replaces limestone on both sides of the fractures and forms replacement quartz in the matrix, which occurs as euhedral-subhedral quartz (R-Qtz). In contrast, columnar euhedral quartz (F-Qtz) crystals, which are transparent to white in colour and occur in a comb texture, were precipitated in the fractures. A belt of fine, dense microcrystalline quartz aggregate forms a transition zone that usually occurs between R-Qtz and F-Qtz. The microcrystalline quartz belt along the fracture as the initial product of hydrothermal fluid is probably the result of rapid precipitation from silica-bearing fluids in the initial stage (Figure 5(a) and (b)), because the decrease of temperature of ascending hydrothermal fluid would result in the rapid precipitation of silica as the solubility of silica decrease rapidly with decreasing temperature (Fournier, 1985; Hesse, 1989).

Microscopic/petrographic characteristics of classic samples in the upper silicified rock section. (a) Microcrystalline quartz belt developed on fracture edge. Columnar euhedral quartz (F-Qtz) and euhedral calcite (E-Cal) fill from wall to centre of fracture space. The limestone was strongly silicified and replacement quartz (R-Qtz) is present in the matrix together with vugs. Silicified rock, 6669.57 m. (b) A narrow microcrystalline quartz belt developed on fracture edge. Vugs in the matrix are filled by re-precipitation of calcite cement (CC). Silicified rock, 6670.42 m. (c) Euhedral quartz of several hundred microns in size is scattered in fine-grained calcite. Silicified limestone, 6669.20 m, PPL. (d) There are a lot of pores (blue epoxy) and a certain amount of fine-grained calcite grains between euhedral to subhedral quartz crystals. Euhedral calcite (CC) fill in the fracture. Silicified rock with high-quality porosity, 6670.05 m, PPL. (e) A large amount of pores and some euhedral calcite cement (CC) together with bitumen are heterogeneously distributed between quartz crystals. Silicified rock, 6669.05 m, PPL. (f) There is a large number of pores filled by bitumen between quartz crystals (R-Qtz). Silicified rock with high-quality porosity, 6670.48 m, PPL.
Silicified limestone and silicified rock are the main types in the upper silicified rock section. The silicified limestone is generally dense, showing the residual sedimentary breccia structure of the original limestone. The silicified limestone is mainly composed of fine-grained calcite and euhedral quartz, where the content of euhedral quartz is approximately 30%. The euhedral quartz with lengths up to 0.5–1 mm is enriched in calcite micro-inclusions. Fine-grained calcite is distributed between the quartz crystals (Figure 5(c)). Overall, the silicified rock is predominantly composed of quartz due to intense silicification. The content of quartz is about 70–90%, with the remainder consisting mostly of calcite.
The reservoir space of the silicified rock, including fractures and vugs, is distributed along fractures and inter-crystalline pores of quartz. The diameter of the vugs is approximately 1–3 cm (Figure 3(a) and (b)) and the diameter of the pores between quartz in the matrix is approximately 0.1–1 mm.
The inter-crystalline pores of quartz are well developed and distributed homogeneously, and represent the most significant characteristic in this section (Figure 3(c) and (d)). Some residual bitumen, fine-grained, crystalline calcite, and euhedral calcite can be found in the inter-crystalline pores of quartz (Figure 5 (d) to (f)). Columnar, euhedral quartz and euhedral calcite fill the fractures and vugs. The growth of the columnar quartz could represent multiple stages, with granular quartz near the fracture walls passing to coarse quartz in the centre of the fractures.
Middle limestone section
The middle limestone section consists of packstone and pelletal limestone and is dense overall. The packstone contains approximately 1% authigenic, euhedral quartz together with a small amount of bioclasts and dolomite (Figure 6(a)). The pelletal limestone contains approximately 10% euhedral quartz (up to 0.1 mm in length along the c-axis direction), which is mainly distributed inside the pellets (Figure 6(b)). An oblique fracture with silicified breccia was observed developed in a pelletal limestone (Figure 3(e)). The fracture space is incompletely filled by quartz and calcite growing from the edge to the centre.

Microscopic/petrographic characteristics of classic samples in middle limestone section. This section is generally dominated by limestone (packstone and pelletal limestone), which contain a certain amount of euhedral quartz (about 10–100 microns in size) as an effect of silica-bearing hydrothermal fluid. (a) Several euhedral dolomite grains are distributed around stylolite, and very small amount of possible authigenic quartz (A-Qtz) can be found in the matrix. Packstone, 6671.27 m, PPL. (b) Euhedral quartz (R-Qtz) with about 10% quartz content scattered in matrix. Pelletal limestone, 6672.03 m, PPL. (c) Most of the R-Qtz tend to be distributed in pellets, which may indicate that the silica-bearing fluid preferentially entered the permeable pellets. Pelletal limestone, 6672.03 m, BSE image. (d) Calcite micro-inclusions are commonly present in R-Qtz together with a small amount of pyrite. Partial magnification of image C, BSE image.
Lower silicified rock section
This entire section is intensely silicified, consisting mostly of grey to light grey silicified rock with a quartz content of greater than 95% (Figure 3(f) to (i)). The development of pores and vugs is significantly heterogeneous. The silicified rock can be divided into two types, namely densely silicified rock and silicified rock with pores. The densely silicified rock consists mainly of heterogranular quartz crystals (microcrystalline to granular quartz with euhedral–subhedral–anhedral quartz) (Figure 7(a), (c), (e), and (f)). The amount of calcite micro-inclusions in quartz in the densely silicified rock varies greatly from many to a few or none. The silicified rock with inter-crystalline pores mainly consists of euhedral–subhedral quartz (up to a few hundred microns in length along the c-axis), generally with calcite micro-inclusions (Figure 7(b) and (d)). The fractures and vugs, where the latter have diameters of approximately 2–10 cm and are distributed along fractures, represent the main reservoir space. Some inter-crystalline pores with diameters of approximately 0.05–0.5 mm are developed between euhedral quartz crystals in the matrix.

Microscopic/petrographic characteristics of classic samples in the lower silicified rock section. (a) R-Qtz is present as subhedral quartz crystal, which developed a few pores. Quartz filling fractures (F-Qtz) are shown as granular-columnar quartz. Silicified rock, 6672.51 m, XPL. (b)** There is a certain number of pores (blue epoxy) between euhedral quartz crystals (R-Qtz) that appear “dirty” due to abundance of calcite micro-inclusions. Silicified rock, 6672.58 m, PPL. (c) Silicified rock with crystalloblastic texture is composed of microcrystalline quartz and granular quartz (R-Qtz). Silicified rock, 6672.71 m, XPL. (d) A certain number of vugs/pores and re-precipitated calcite cement (CC) are distributed between euhedral–subhedral quartz crystals (R-Qtz). Silicified rock, 6672.91 m, PPL. E (PPL) & F (XPL). Stylolite is visible in the intensively silicified rock, which is composed of microcrystalline quartz and granular quartz with crystalloblastic texture. Calcitic, silicified rock, 6673.22 m.
The significant characteristics of this section are the well-developed fractures and vugs (Figure 3(f) to (i)). The inter-crystalline pores are also developed, but are distributed heterogeneously (Figure 7). The fractures and vugs are filled by euhedral quartz, early-stage euhedral calcite, and late-stage gigantic calcite growing successively from the fracture/vug walls to the centre.
Carbon, oxygen and strontium isotopes of carbonate/carbonate minerals
The results of C, O and Sr isotopic analyses of carbonates are given in Table 1. Four packstone samples have δ13CV-PDB values varying from −2.1 to −2.6‰ (mean: −2.4‰) and δ18OV-PDB values varying from −9.6 to −9.9‰ (mean: −9.7‰). Five pelletal limestone samples have δ13CV-PDB values varying from −2 to −2.6‰ (mean: −2.2‰) and δ18OV-PDB values varying from −9.6 to −10.1‰ (mean: −9.9‰). The δ13CV-PDB values of the packstones and pelletal limestones are similar compared with concurrent marine limestone, whereas the δ18OV-PDB values are slightly negative, due to the possible impact of the silica-bearing fluids.
δ13CV-PDB, δ18OV-PDB and 87Sr/86Sr values of E-Cal, G-Cal, and limestone.
The early-stage, euhedral calcites (E-Cal) yield a relatively narrow range of C and O isotopic values with δ13CV-PDB values varying from −1.9 to −2.1‰ (mean: −2.0‰, N = 10) and δ18OV-PDB values varying from −10.1 to −11.5‰ (mean: −10.6‰, N = 10). The late-stage, gigantic calcite has δ13CV-PDB values that vary from −2.1 to −2.3‰ (mean: −2.2‰, N = 3) and δ18OV-PDB values that vary from −10 to −10.8‰ (mean: −10.3‰, N = 3).
The δ18OV-PDB composition of secondary calcite (E-Cal and G-Cal) is more depleted than surrounding rock (packstone and pelletal limestone). Relatively, the δ13CV-PDB composition is approximately quite between secondary calcite and surrounding rock (Figure 8).

Carbon and oxygen isotope compositions of limestone (packstone and pelletal limestone) and secondary calcite (E-Cal and G-Cal) for isotopic tracing during reservoir formation.
Twelve samples analysed for C and O isotopes were also analysed for their Sr isotopic compositions (Table 1). The 87Sr/86Sr ratios of the packstones vary from 0.70881 to 0.708914 (mean: 0.70885, N = 4), falling within the estimated Sr isotopic range of Early to Middle Ordovician seawater. The secondary calcites (E-Cal and G-Cal) show very high values of 87Sr/86Sr ratios with a range of 0.709336 to 0.709732 (mean: 0.70955, N = 8). Obviously, the secondary calcites are near-universally enriched in the radiogenic isotope of strontium (Figure 9).

87Sr/86Sr ratio of secondary calcite (E-Cal and G-Cal) in comparison with bulk limestones and Lower to Middle Ordovician seawater.
Oxygen isotopes of quartz
The results of δ18OV-SMOW isotopic analyses of quartz are given in Table 2. The replacement quartz in the matrix (R-Qtz) have δ18OV-SMOW values varying from 17.7 to 23.2‰ (mean: 20.6‰, N = 16). The columnar euhedral quartz filling fractures (F-Qtz) have δ18OV-SMOW values varying from 18.1 to 23.5‰ (mean: 20.4‰, N = 11). The δ18O values of these two types quartz both show a certain range in fluctuations (Figure 10), which likely indicates a significant change in temperature during quartz precipitation.
δ18OSMOW values of R-Qtz and F-Qtz.

Oxygen isotope compositions of R-Qtz and F-Qtz in well SN4, and comparison with chert nodules and microcrystalline quartz in Parkland gas field.
Trace element and REE contents of E-Cal, G-Cal, and limestone.
Note: All the elements are in μg/g.
Trace and rare earth elements of carbonate/carbonate minerals
The results of analysis for REEs in packstone and secondary calcite are presented in Table 3 and Figure 11. The total REE contents of packstone range from 2.17 to 3.52 μg/g, while that of euhedral calcite (E-Cal) varies from 5.68 to 17.6 μg/g and that of gigantic calcite (G-Cal) is 2.41 μg/g (Table 3). Compared with packstone, the total REE content is higher in euhedral calcite (E-Cal), whereas that of the gigantic calcite (G-Cal) is lower than that of calcite-Cal and close to that of packstone. The LREE/HREE ratios are 8.38–9.09, 5.05–11.94 and 6.08 for packstone, euhedral calcite (E-Cal), and gigantic calcite (G-Cal), respectively, indicating light REE enrichment. The post-Archean Australian shale (PAAS) normalised REE profiles of euhedral calcite (E-Cal) show slope to the right, whereas those of packstone and gigantic calcite (G-Cal) in the late-stage are flat (Figure 11).

Rare earth element profiles of limestone and secondary calcite (E-Cal and G-Cal) in well SN4.
In addition, the δEuN values of euhedral calcite (E-Cal) range from 1.55 to 2.76, while that of gigantic calcite (G-Cal) is 2.71. The values are higher than that of packstone (from 0.71 to 0.99), indicating that the E-Cal and G-Cal both have positive Eu anomalies.
The results of trace element analysis for Zn, Cd, Ba, and Sr are given in Table 3 and Figure 12. The Zn, Cd, Ba, and Sr contents in packstone are 0.07–1.95 μg/g, 16.59–29.55 μg/g, 6.34–12.78 μg/g, and 215.10–250.80 μg/g, respectively. The Zn, Cd, Ba, and Sr contents of euhedral calcite (E-Cal) in the early-stage are 9.66–34.09 μg/g, 84.99–224.63 μg/g, 112.27–238.87 μg/g, and 80.60–91.73 μg/g, respectively. The Zn, Cd, Ba, and Sr contents of gigantic calcite (G-Cal) in the late-stage are 3.50 μg/g, 15.81 μg/g, 129.69 μg/g, and 101.10 μg/g, respectively. Obviously, the secondary calcites (E-Cal and G-Cal) are enriched in Zn, Cd, and Ba, together with low content of Sr compared with the packstones (Figure 12).

The difference in trace element (Zn/Cd/Ba/Sr) contents between limestone and secondary calcite (ECal and G-Cal) in well SN4.
Fluid inclusion studies
Fluid inclusion petrography
Petrographic analysis of thin sections showed that microcrystalline quartz belts of various widths were developed between the columnar euhedral quartz filling fractures (F-Qtz) and the replacement quartz in the matrix (R-Qtz) (Figure 5(a) and (b)), while a certain amount of granular quartz occurs between the belt and F-Qtz. Two-phase fluid inclusions with significant changes in liquid-vapour ratios coexist in the microcrystalline quartz and granular quartz (Figure 13(a) and (b)). The gas-phase component is enriched in CH4 with a small amount of CO2 (Figure 14) based on Laser Raman analysis. The replacement quartz in the matrix (R-Qtz) contain mainly two-phase (liquid and vapour) fluid inclusions characterised by small sizes and low abundances (Figure 13(c)), whereas the columnar euhedral quartz filling fractures (F-Qtz) are enriched in two-phase (liquid and vapour) fluid inclusions (Figure 13(d)). The calcite cement (CC) between inter-crystalline quartz, the euhedral calcite (E-Cal) later than F-Qtz in the early-stage, and the gigantic calcite (G-Cal) later than E-Cal, show a clustered distribution of two-phase (liquid and vapour) fluid inclusions.

Occurrence and characteristics of quartz fluid inclusions. (a) Liquid-dominated and vapour-dominated, methane-rich fluid inclusions coexist in granular quartz of microcrystalline quartz belt near fracture edge (6670.39 m). (b) Liquid-dominated and vapour-dominated CH4-rich fluid inclusions coexist in granular quartz between microcrystalline quartz belt and columnar, euhedral quartz (6669.52 m). (c) Fluid inclusions present in R-Qtz low in abundance and of several microns in size (6673.15 m). (d) Gas-liquid two-phase fluid inclusions (dozens of microns in size) are distributed as a cluster in F-Qtz, while the gas phase component contains CH4 (6673.15 m).

Laser Raman spectroscopy of gas phase composition in fluid inclusions (a, b) CH4 shift peak is 2917.47, 6670.39 m).
Fluid inclusion microthermometry
We conducted homogenization temperature (Th) and freezing point (Tm) measurements for the primary two-phase (liquid and vapour) fluid inclusions in quartz (R-Qtz/F-Qtz) and secondary calcite (E-Cal/G-Cal/CC).
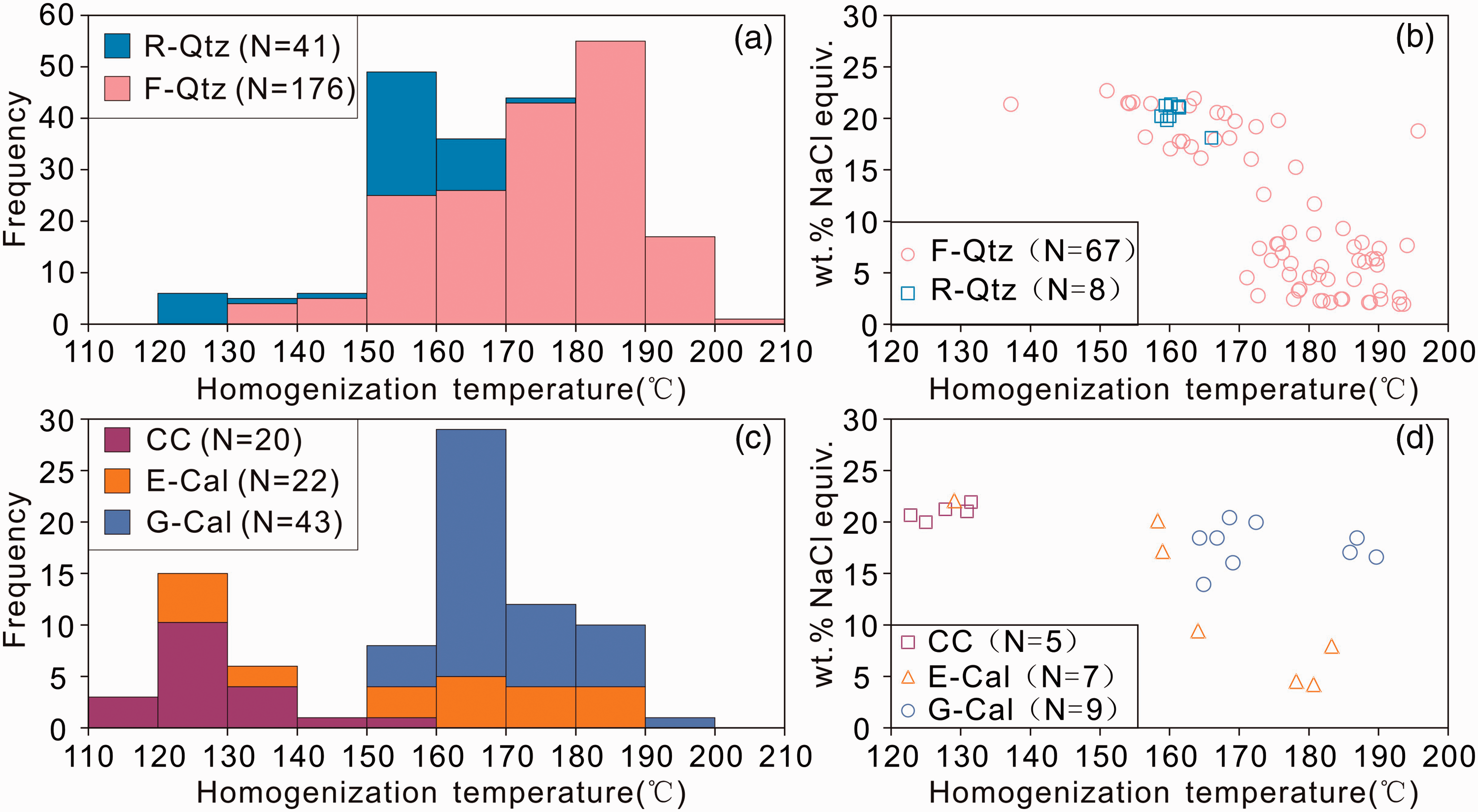
Fluid inclusions from the R-Qtz have a wide range of Th (125–176 °C), mainly concentrated in the range of 150–170°C (N = 32, Figure 15(a)) with a mean Th of 153°C (N = 41), while their salinity is in the range of 18.1–21.4 wt% NaCl equivalent (mean: 20.4%, N = 8) with a comparatively tighter distribution (Figure 15(b)). The two-phase (liquid and vapour) fluid inclusions in F-Qtz has a wide range of Th (137–203°C), mainly concentrated in the range of 150–190°C (N = 149, Figure 15(a)) with a mean Th of 174°C (N = 176), while their salinities, calculated from Tm values, vary widely from low to high (Figure 15(b)). These salinity values are mainly concentrated in two distinct ranges of 2–8 wt% NaCl equivalent (mean: 4.7%, N = 38) and 16–22 wt% NaCl equivalent (mean: 19.3%, N = 22).

Histograms of (a, c) homogenization temperatures of fluid inclusions in quartz and calcite, and the relationships between homogenization temperatures and salinity (b, d). R-Qtz: replacement quartz in the matrix; F-Qtz: columnar, euhedral quartz in the fracture; CC: re-precipitated calcite cement between quartz crystals; E-Cal: euhedral calcite later than columnar euhedral quartz (F-Qtz) in the fracture; G-Cal: gigantic calcite later than euhedral calcite (E-Cal) in the vug.
The calcite cement (CC) between inter-crystalline quartz consistently yield a range of Th values of 110–152°C (mean: 128°C, N = 20), but clustered around 120 to 140°C (N = 15, Figure 15(c)). The salinities are relatively high with a range in values of 20.0–21.9 wt% NaCl equivalent (mean: 21.0%, N = 5, Figure 15(d)).
The fluid inclusions from the euhedral calcite (E-Cal) have a wide range of Th values (126–186 °C, mean: 160°C), which are mainly concentrated in two ranges of 120–140°C and 150–190°C (Figure 15(c)). Their salinities are 4.2–9.5 wt% NaCl equivalent (mean: 6.5%, N = 4) and 17.2–22.1 wt% NaCl equivalent (mean: 19.8%, N = 3), respectively.
Fluid inclusions from the gigantic calcite (G-Cal) yield Th values of 157–191°C (mean: 170°C, N = 43), which are clustered around 160–180°C (N = 32). Their salinities vary in the range of 13.9–20.4 wt% NaCl equivalent (mean: 17.7%, N = 9, Figure 15(d)).
Discussion
Characteristics and origin of fluids
Fluid characteristics
The analysis of the fluid inclusions (Figure 15(a) and (b)) shows characteristics of high temperature/low salinity and low temperature/high salinity, indicating that the salinity of the primary hydrothermal fluid is not high. The temperature of the hydrothermal fluid decreases, and the salinity increases as result of the replacement and alteration. The microcrystalline quartz belt and granular quartz at the base of the columnar, euhedral quartz represent the growth from the hydrothermal fluid at the initial stage, and show high Th values in the range of 170–190°C and salinities in the range of 2–8 wt% NaCl equivalent. The results, however, differ from those reported in the literature described the granular quartz as equant quartz (Lu et al., 2017), which presented Th values in the range of 143–159°C and salinities in the range of 18.5–23.7 wt% NaCl equivalent. The petrographic analysis of the inclusions shows that microcrystalline quartz and granular quartz develop immiscible inclusions groups with large differences in gas-liquid ratio (Figure 13(a) and (b)). Our analysis of this phenomenon tends to non-uniform capture of immiscible inclusions groups in the initial stage due to decompression of the hydrothermal fluid. The difference of analysis results about immiscible inclusions may be due to a variety of factors, such as immiscible inclusions usually having large temperature and salinity ranges, the choice of the tested inclusions and the method of analysis.
As the hydrothermal fluid temperature gradually decreases, replacement in the form of R-Qtz occurred in the matrix, while columnar, euhedral quartz (F-Qtz) precipitated in fractures. The fluid temperatures according to the Th values of the fluid inclusions were in the range of 150–170°C, while the salinities were in the range of 16–22 wt% NaCl equivalent. The fluid inclusions with high salinity mainly occur in the coarse quartz. The results are basically similar to those in previous literature which described F-Qtz as bladed quartz with the Th values in the range of 154–166°C and the salinities in the range of 14.7–20.0 wt% NaCl equivalent (Lu et al., 2017). Unfortunately, the inclusions in the rim of columnar quartz mentioned by Lu et al. (2017) were not carried out as the overgrowth of quart was not found in our analysis.
It can be seen that the temperature decrease and the salinity increase of the hydrothermal fluid from the microcrystalline quartz and granular quartz in the early stage to the columnar, euhedral quartz in the late stage through the analysis of fluid inclusions in the above quartz. In the early stage, the ascending hydrothermal fluid was multiphase heterogeneous fluid due to decompression (a large amount of silicon rapidly precipitated during the early temperature decrease), its temperature was relatively high and its salinity was low. In the late stage, more carbonate minerals were dissolved into the fluid phase due to the further interaction between hydrothermal fluid and the surrounding rock accompanied by the precipitation and consumption of silicon, thereby the salinity in the fluid was increased evidenced by late columnar quartz having a lower temperature with higher salinity.
The secondary calcite (E-Cal/G-Cal/CC) that formed later than quartz precipitated in vugs, fractures (Figures 3(f) and 5(a), (b)) and pores in the matrix (Figures 5(e) and 7(d)). The temperatures and salinities of fluid inclusions in the euhedral calcite (E-Cal) are similar to those of F-Qtz in the fractures. The calcite cement between inter-crystalline quartz (CC), precipitated under conditions closely approaching equilibrium temperatures between the fluid and surrounding rock strata, shows the characteristics of low Th values (120–140°C) and high salinity (20.0–21.9 wt% NaCl equivalent).
There is significantly difference between our analysis result and previous reported data about secondary calcites. The E-Cal described as CC3 in the literature by Lu et al. (2017) was characterized by Th of 86–101°C and salinity of 25.5–26.1 wt% NaCl equivalent. The calcite cement (CC) between inter-crystalline quartz described as CC2b in the literature by Lu et al. (2017) has a homogenization temperature of 148–158°C and a salinity of 20.8–23.6 wt% NaCl equivalent. Due to the lack of obvious occurrence relationship between E-Cal and CC, it is difficult to judge the order crystallization of those two types of secondary calcite by petrographic investigation. The significant difference of the analysis results may be due to the differences between the samples.
The primary silica-bearing hydrothermal fluid would be expected to have had a certain level of acidity. The precipitation of microcrystalline quartz occurred very quickly after the fluid invaded the fractures, due to the obvious decrease silica solubility as temperatures decreased. A large amount of quartz precipitated, and was accompanied by the dissolution of calcite.
With the process of dissolution and replacement, the acidity of the hydrothermal fluid is gradually neutralized and slowly becomes alkaline until the cessation of SiO2 mineral precipitation (the end of quartz growth). The fluid in the reservoirs would then have had alkaline characteristics leading to secondary calcite precipitation.
Fluid origin
A large number of studies have shown that Sr isotopes do not generally undergo fractionation and that the Sr isotope composition in concurrent seawater is generally homogeneous globally. Therefore, it has been widely used in palaeoceanographic research and isotopic tracer studies on ore-forming fluids and diagenetic fluids (Davies and Smith 2006; Huang et al., 2004; Kesler et al., 1988; Kessen et al., 1981; Lange et al., 1983; McArthur et al., 2001; Qing et al., 1998).
The 87Sr/86Sr ratios (0.70881–0.708914) of the packstone in the middle limestone section are generally consistent with those of the published Lower-to-Middle Ordovician carbonates in the Tarim Basin (Jiang et al., 2001; Liu et al., 2007) and are also similar to that of concurrent seawater (Denison et al., 1998; McArthur et al., 2001; Qing et al., 1998).
The 87Sr/86Sr ratios of the secondary calcite (E-Cal and G-Cal) are significantly higher than those of the packstone, with values of 0.709336–0.709732 (Figure 9), indicating its enrichment in radioactive 87Sr. The enrichment of radioactive 87Sr indicates that the hydrothermal fluid may have exchanged Sr isotopes with basement or siliceous clastic sediments. This feature is similar to a chert reservoir in the Parkland gas field, Mississippi Valley-type (MVT) deposits, and tectonic-hydrothermal dolomite reservoirs, where the radioactive 87Sr in the hydrothermal fluid is mainly derived from basement/clastic sedimentary rocks (Davies and Smith 2006; Kesler et al., 1988; Kessen et al., 1981; Lange et al., 1983; Packard et al., 2001).
REEs have been widely used to trace fluid origins (Cai et al., 2008; Wang et al., 2014b). The late-stage gigantic calcite (G-Cal) may be the product of late-stage diagenesis and may not be significantly related to the hydrothermal fluid. In contrast, the early-stage euhedral calcite (E-Cal) is closely related to the hydrothermal fluid, such that its REE compositional signature may show some significant indication thereof. The REE contents in E-Cal are significantly higher than those in the limestone (Table 3, Figure 11), possibly indicating that the source of the high REEs could be hydrothermal fluid derived from a sialic origins (basement/clastic sedimentary rocks) as some minerals with high REEs content such as clay mineral.
Compared with limestone, the early-stage euhedral calcite (E-Cal) shows higher Eu contents and significant Eu positive anomalies. Eu is enriched in highly reducing hydrothermal fluid (Michard and Albarède, 1986; Olivarez and Owen, 1989) where Eu3+ may be reduced to Eu2+ under extremely reducing conditions (Brookins, 1989). Many researchers utilized Eu anomalies to trace the influence of hydrothermal fluids (Bau, 1991; Hecht et al., 1999). Positive Eu anomalies in calcite are an indicator of high temperatures for deep migrating fluids (>250°C; Hecht et al., 1999; Lüders et al., 1993), whereas the crystallization temperature of the hydrothermally derived calcite is generally below 200°C (Bau, 1991). The positive Eu anomalies of the secondary calcite are consistent with the homogenization temperatures in the fluid inclusions.
The characteristics of trace elements (Figure 12) show that the hydrothermal secondary calcite is significantly higher in Zn, Cd, and Ba concentrations and lower in Sr concentrations relative to the surrounding limestones. Due to their large ionic radii, Ba, Zn, and Cd do not generally enter the normal marine carbonate mineral lattice. Because the hydrothermal fluid has high contents of trace elements, including Ba, Zn, and Cd, and high fluid temperatures, the carbonate minerals precipitated therefrom also show high contents of Ba, Zn, and Cd (Cai et al., 2008; Zhu et al., 2015a). Therefore, the deep hydrothermal fluid is interpreted to have been enriched in Ba, Zn, and Cd. The high contents of Sr in the surrounding rocks indicate that the marine limestones retained a certain amount their Sr contents after deposition and diagenesis. However, the lower Sr contents in the secondary calcite might be related to the hydrothermal fluids that has lower Sr content compared to Sr in the seawater or/and the loss of Sr during the processes of dissolution of the rock and re-precipitation as calcite.
Seismic data show that most of the strike-slip faults cut through the basement, providing conditions for fluid penetration. Most of the Lower Palaeozoic faults terminate at Devonian strata, and the main period of trans-extensional activity of the NNE strike-slip faults is in the Late Devonian (Huang, 2014; Yang et al., 2013). According to the reconstruction of burial and thermal history, the stratigraphic temperature between the top and bottom of the Yingshan Formation in the Late Devonian is approximately 120–130°C (Wang et al., 2014a; Zhuang et al., 2017), which is consistent with the measured Th (mean: 128°C) of the fluid inclusions in re-precipitated calcite cement (CC) in the rock matrix.
The calcite cement (CC) in the matrix could have precipitated under conditions of gradual equilibration in temperature between the fluid and the surrounding rock strata. Lu et al. (2017) suggests that the timing of the silicification must be Late Devonian, based on a study of the silicified carbonate diagenetic sequence and the homogenization temperatures of quartz and secondary calcite (Lu et al., 2017). Therefore, it is suggested that the main period of hydrothermal fluid activity lasted from the late Caledonian to early Hercynian with multiple episodes of activity. Quartz represents the product of interactions between hydrothermal fluids and the surrounding rocks, and its fluid inclusion homogenization temperatures are approximately 150–190°C. These temperatures show that the hydrothermal fluid is at much higher temperature than the stratigraphic temperature of the surrounding rocks, which undoubtedly indicates that it is from deep in the basin. The above analysis shows that the silica-bearing hydrothermal fluid with enriched, radioactive 87Sr and Ba, Zn, and Cd originated mainly from deep in the basin, either from clastic rock strata or basement.
Comparison with the chert reservoir in the parkland gas field
The Parkland gas field is the only reported chert reservoir which is associated with hydrothermally derived silicification (Packard et al., 2001). A comparison with this chert reservoir should be helpful in understanding such silicified carbonate reservoirs in well SN4.
Comparison of the reservoir characteristics
The hydrothermal chert reservoir in the Parkland gas field of the Western Canada Basin occurs in limestone strata, which consists mainly (up to 90%) of microcrystalline quartz averaging 5–10 μm in size. The dolomite rhombs (approximately 0.3–0.5 mm in size) of the primary limestones ‘float’ in the quartz. The microcrystalline quartz is composed of a microporous meshwork with a heterogeneous porosity of 6–30% (Packard et al., 2001).
The silicified carbonate reservoir in well SN4 is also developed in the limestone strata. The degree of silicification in the upper and lower section is very high, with quartz contents of up to 50–90%. Compared with the microcrystalline quartz of the chert reservoir in the Parkland field, the quartz crystallinity of the silicified carbonate/rock in well SN4 is high. Pores and vugs (Figures 5 and 7) are developed amongst the quartz with a heterogeneous porosity range of 3–20.5%. In addition, many fractures and vugs are developed in the silicified carbonate in well SN4 (Figure 3).
Comparison with O isotopes of quartz
The δ18OSMOW values of the microcrystalline quartz in the Parkland gas field (mean: 22‰, N = 6) are significantly more depleted compared with the chert nodules in limestones (Figure 10). This is explained by the hydrothermal fluid from which the microcrystalline quartz precipitated had a higher temperature (Packard et al., 2001).
The δ18OSMOW values of R-Qtz and F-Qtz in well SN4 are similar to those of the microcrystalline quartz of the chert reservoir in Parkland (Figure 10). It is worth noting that the δ18OSMOW values of quartz in well SN4 have a large range (R-Qtz: 17.7–23.2‰; F-Qtz: 18.1–23.5‰), which may be related to fluctuations in the fluid temperature during quartz precipitation.
Comparison of fluid inclusion homogenization temperature and salinity
According to the analysis of fluid inclusions in saddle dolomite of the Parkland gas field, the fluid from which the microcrystalline quartz precipitated was characterised by high salinity and temperatures in the range of 140–200°C. However, the fluid inclusions in secondary calcite reveal groups with low temperature/high salinity and high temperature/low salinity characteristics (Packard et al., 2001).
The Th distribution of fluid inclusions in quartz (R-Qtz and F-Qtz) and euhedral calcite (E-Cal) in the silicified carbonate in well SN4 are generally similar with those of the Parkland field, although the Th between quartz (R-Qtz and F-Qtz) and E-Cal differ due to the order of precipitation. The relationship between homogenization temperatures and salinities in the quartz and calcite fluid inclusions (Figure 15(b) and (d)) also shows the presence of low temperature/high salinity and high temperature/low salinity groups, which suggest changes in the temperature and salinity of the hydrothermal fluid with time during mineral precipitation.
Formation process and geological model of silicified carbonate reservoirs
Formation process
Silicification generally took place in the vicinity of faults with developed fractures, where the main condition was the ascent and diffusion of deep hydrothermal fluids along the strike-slip faults in the basin.
The silica-bearing hydrothermal fluid permeated into the surrounding rocks of the Yingshan Formation along the faults and fractures. A large amount of SiO2 was rapidly precipitated at the fracture margin due to the decrease of temperature and pressure, which formed a microcrystalline quartz belt along the fracture margin (Figure 5(a) and (b)). The fluid then penetrated the surrounding rocks, where replacement led to the precipitation of R-Qtz with various sizes within the surrounding rocks. The precipitation of R-Qtz should have been simultaneously accompanied by the dissolution of calcite in the surrounding rocks (Fournier, 1985). At the same time, the coarse, columnar, euhedral quartz (F-Qtz) precipitated from the hydrothermal fluid in free spaces, such as fractures and vugs. Areas more distant from the fractures received less penetration of hydrothermal fluid, and thus limestones subjected to the weakened effects of the silica-bearing hydrothermal fluid contain lower amounts of euhedral quartz with finer grain sizes, and its interior often contains calcite micro-inclusions (Figure 6). With the weakening of the fluid effects, the residual fluid was mainly contained within the fractures, where very slow crystallization resulted in the formation of coarse, euhedral quartz.
The pores of the silicified carbonate reservoir are not only subject to the degree of silicification, but likely also the silicification episodes. The euhedral quartz (R-Qtz) show a scattered distribution pattern of grid framework inside the silicified rocks with abundant pores (Figure 5), possibly indicating a single episode and strong silicification. This is expressed by the generally similar sizes of the euhedral quartz, complete replacement, and well-developed pores. In contrast, the densely silicified rocks with heterogranular (euhedral, subhedral and anhedral) quartz were probably impacted by multiple episodes of silica-bearing fluids (Figure 7), in which the inter-crystalline pores were generally not well developed. In addition, after the cessation of hydrothermal fluid activity, with the consumption of silica, the entire environment changed from acid to alkaline, and gradually reached equilibrium with the surrounding strata, leading to the precipitation of secondary calcite in some residual fracture spaces and inter-crystalline pores. The C and O isotopic compositions (Figure 8) show that the δ18OV-PDB values of limestones, E-Cal, and G-Cal are slightly negative, whereas the δ13CV-PDB value changes are rather minor. The δ13CV-PDB average value of the non-hydrocarbon CO2 of natural gas in well SN4 is -2.1‰ (N = 3). Because C isotopic composition is mainly controlled by the carbon source, and its fractionation is not significantly impacted by temperature, the C isotopic composition of the natural gas, surrounding rocks, and secondary calcite are similar, and may indicate a similar carbon source. Therefore, the secondary calcite may have originated from the surrounding rocks, and CO2 released during the silica-bearing hydrothermal fluid transformation of limestone, formed the reservoir space.
Geological model
In summary, the silica-bearing fluid mainly originated from deep sialic basement or clastic strata, while the fault structure controlled the formation of the silicified carbonate reservoirs. In addition, the confinement of the lithological combination of carbonate rocks and the seal of the overlying caprocks with respect to the hydrothermal fluid also controlled the development of silicified carbonates.
Well SN4 is located at an NNE strike-slip fault (Figure 1), and the formation of the silicified carbonate reservoirs was controlled by the formation and evolution of this fault. Previous studies have shown that the late Caledonian-early Hercynian is the main period of NE strike-slip fault development in the north of the Tazhong No. 1 Fault zone, and that the strike-slip fault cuts through the basement (Huang, 2014; Yang et al., 2013).
A large number of studies have proven that the trans-extensional part of a strike-slip fault facilitates the formation of MVT deposits and hydrothermal dolomite reservoirs (Berger and Davies, 1999; Davies and Smith, 2006). The formation of the chert reservoir in the Parkland gas field is directly related to a strike-slip fault (Packard et al., 2001). Well SN4 further confirms that the trans-extensional part of the strike-slip faults is the priority channel for fluid activity, forming relevant silicified carbonate reservoirs.
Studies have shown that the silica-bearing hydrothermal fluid is weakly acidic and marginally undersaturated with respect to dolomite (Fournier, 1985; Packard et al., 2001). The silica-bearing hydrothermal fluid tends to dissolve calcite preferentially during fluid-rock interactions and shows little impact on dolomite. Therefore, the lithologic difference in the carbonate strata of the surrounding rocks controls the formation of the associated silicified carbonate reservoirs.
The Yingshan Formation in the Guchengxu Uplift changes gradually from dolomite to limestone from bottom to top. The properties of the silica-bearing hydrothermal fluid determined that there was little effect on the dolomite strata due to the absence of significant reaction when the ascending fluid passed through the dolomitized intervals. Dolomite contains little calcite that can be dissolved or replaced by the silica-bearing hydrothermal fluid. In addition, the mutual support texture of the dolomite crystals in dolomite strata results in insufficient growth space for quartz during the process of silica crystallization. Therefore, pure dolomite strata are unfavourable for the formation of high-quality silicified carbonate reservoirs.
Because transitional lithological strata (calcitic dolomite to dolomitic limestone) and limestone strata contain large amounts of calcite, they are the important targets of silica-bearing hydrothermal fluid alteration, facilitating the development of silicified carbonate reservoirs. Their appearance is determined by fluid temperature and the concentration of dissolved silicon, which can lead to the formation of various types of silicified carbonate reservoirs, such as the chert reservoir in the Parkland and the silicified carbonate reservoir in well SN4.
Because the main active period of the NNE strike-slip fault is late Caledonian-early Hercynian (possibly Late Devonian) and given the burial history of well SN4 (Wang et al., 2014a), it can be speculated that the burial depth of the Yingshan Formation was approximately 3000 m during the period that the silica-bearing hydrothermal fluid ascended into the surrounding rocks. The top of the Yingshan Formation limestone strata is overlain by dense carbonate strata with a thickness of approximately 300 m (Yijianfang and Qiaerbake Formations) and an ultra-thick Queerqueke Formation of approximately 2700 m (fine-grained sandstone sediments from the Late Ordovician), forming a suitable closed environment. The ultra-thick seal of dense limestone and fine-grained clastic rocks provides conditions for the confinement of the hydrothermal activity and the water-rock interaction and channels it within a certain range.
As noted above, during the late Caledonian-early Hercynian, the ascending silica-bearing hydrothermal fluid from deep in the basin (clastic rock strata or basement sialic rocks) permeated the limestone strata of the Yingshan Formation along the strike-slip fault and the associated fractures. Due to the seal of the overlying dense limestone-clastic rock strata, the strong hydrothermal fluid-rock interactions were mainly restricted to the limestone section of the Yingshan Formation. In addition to the direct precipitation of quartz inside the fractures, large amounts of fluid penetrated into the surrounding rocks, which underwent replacement (calcite dissolved and quartz precipitated) and formed a large amount of secondary inter-crystalline pores. These pores thus become an important reservoir space for oil and gas. Therefore, such unusual silicified carbonate reservoirs show a certain regularity in spatial distribution due to the combined controls of hydrothermal activity, fault frameworks, and lithological suites.
Conclusions
The silicified carbonate reservoir in well SN4 is segmented by faults, and can be divided into the lower silicified rock section, the middle limestone section, and the upper silicified rock section. The space in fractures and vugs are filled with columnar euhedral quartz (F-Qtz) and secondary calcite (E-Cal and G-Cal), and the surrounding rocks are altered to silicified carbonates, which mainly consists of quartz and calcite, where the quartz content can be up to 90% or more. The silicified carbonate reservoirs are mainly composed of pores (up to 20.5%), vugs, and fractures. The microcrystalline quartz belts that are commonly developed in the fracture margins of the silicified carbonates represent the rapid precipitation of a large amount of silica due to temperature decrease at the initial stage of hydrothermal fluid activity. The Th of the fluid inclusions in quartz-Qtz and E-Cal shows that precipitation from the hydrothermal fluids occurred in the temperature range of approximately 150–190°C, which is significantly higher than the Th of calcite cement (CC) between quartz crystals (120–130°C), which may represent the quasi-equilibrium temperature with the strata.The δ18OV-SMOW values vary from 17.7 to 23.2‰ for R-Qtz and from 18.1 to 23.5‰ for F-Qtz, which are similar to those of the chert in Parkland, but are significantly more depleted than the normal marine carbonate nodules. The results show that the silicified carbonate reservoir in well SN4 is the altered product of silica-bearing hydrothermal fluids. The 87Sr/86Sr ratios of the secondary calcite are 0.70955 (N = 8), which is more enriched in radioactive 87Sr than the surrounding rocks and concurrent seawater. In addition, its Ba, Zn, Cd, and REE contents are also higher. These features suggest that the silica-bearing hydrothermal fluid may have originated from basement sialic rocks or clastic rock strata in the basin. The late Caledonian-early Hercynian is the main active period of the NNE strike-slip faults, which controlled the associated silica-bearing hydrothermal activity. The ascending silica-bearing hydrothermal fluids permeated the Yingshan Formation along the fault and altered the surrounding rocks (mainly limestone), producing silicified carbonate reservoirs. The seal of ultra-thick fine-grained clastic rocks and dense limestones provides suitable conditions for confinement of the hydrothermal activity and fluid-rock interaction.
Footnotes
Acknowledgements
The authors would like to thank Hairuo Qing, Xiaolin Wang, Shaofeng Dong, and Ziye Lu for their useful comments about the silicification in well SN4.
Declaration of conflicting interests
The author(s) declared no potential conflicts of interest with respect to the research, authorship, and/or publication of this article.
Funding
The author(s) disclosed receipt of the following financial support for the research, authorship, and/or publication of this article: This work was supported by the National Natural Science Foundation of China (Grant Nos. 41230312, U1663209, 41702134), National Key Basic Research Project (2012CB214802) and National Key Scientific Special Project (2011ZX05005-002).
