Abstract
Photocatalysts are the most essential in photocatalytic degradation of dyes in wastewater. Here, ZnO/TiO2 composite photocatalysts with variable proportions were prepared by chemical deposition method in order to meet the realistic requirements of low-cost synthesis, high stability, and environmental friendliness. The as-prepared photocatalyst was characterized by the technologies of scanning electron microscope, transmission electron microscope, X-ray photoelectron spectroscopy, Fourier-transform infrared spectroscopy, UV-vis diffuse reflection, photoluminescence spectroscopy, electrochemistry, nitrogen adsorption and X-ray diffraction. The degradation of methyl orange (MO) was applied to evaluate the photocatalytic activity of ZnO/TiO2 under low-power irradiation. At the same time, the effects of the chemical composition of photocatalyst, pH and MO concentration of solution on the photocatalytic degradation performance were mainly investigated. The results demonstrated an excellent synergistic effect between ZnO and TiO2 for improving the photocatalytic efficiency of the composite catalyst. The highest degradation rate of MO reaches to 98.6% for the photocatalyst with a mass proportion of ZnO:TiO2 being 0.131:1 under the condition of 10 mg/L for MO concentration and 6.7 for pH via the light of ultraviolet radiation A band. This study brings a new way for the production of low-cost and efficient catalysts with low-power light sources to mitigate azo dyes, e.g. MO.
This is a visual representation of the abstract.
Introduction
Every day, a huge amount of wastewater is discharged into environmental systems from numerous industrial and human living sectors, which frequently contain diverse types of toxic dyes, oils, pesticides, and heavy metal ions.1,2 Among them, azo dyes are regarded as one of the most vital pollutants due to its high organic content, complex chemical composition, deep color, and brutal degradation.3,4 They can not only weaken the photosynthesis of aquatic plants by preventing sunlight penetration into water bodies, but also diminish the concentration of dissolved oxygen by high oxygen consumption.5–8 Moreover, the toxic aromatic amines derived from the electron-withdrawing groups and benzene ring structures in azo dyes, and the reductive cleavage of color-forming azo groups, will have a serious impact on the aquatic ecosystems. Therefore, much effort has been paid for the effective remediation strategies of dyeing wastewater, including biological degradation, adsorption, chemical oxidation and membrane separation, etc.9–11 However, most of them are failed to get satisfactory results in the treatment of dyeing wastewater due to the drawbacks of long-operation period, expensive cost and secondary pollution.7,12 Consequently, it is of significance to develop more feasible and reliable technologies for efficient treatment of dyes in wastewater.
In recent years, photocatalytic technology has been attracted tremendous interest in the degradation of dye pollution by virtue of its ease of use, energy savings and mild reaction condition.13,14 More specially, it can easily decompose almost all kinds of popular dyes in wastewater. 15 In principle, the electron-hole (e−/h+) pairs are first separated by the excitation of the absorption of light energy, resulting in the formation of highly reactive chemical hydroxyl radicals (•OH) and superoxide radicals anions (•O2−) in the semi-conductor photocatalysts. 16 Those radicals would further effectively degrade the persistent organic molecules like dyes into harmless matters, namely H2O, CO2. As such, a variety of photocatalysts have been attempted for dyes degradation, for sake of the essential position in determination of the technology. The reports have demonstrated the feasibility of several kinds of photocatalysts for dyes degradation. For instance, the values could achieve to 76.8% of MO for Cs2HgI4, 17 92% of methylene blue (MB) and 85% of methyl violet (MV) for V2O5, 18 71% of MB and 57% of crystalline violet (CV) for MoS2-based photocatalyst, 19 97% of MB for CuO/ZnO, 20 and 99% of MB and 88.5% of MO for ZnO/MgO/Mn2O3, 21 and so forth.
Nevertheless, those photocatalysts are usually synthesized by complicated processes with expensive cost or applicable under the excitation of high-power light source with high energy consumption in order to meet the requirements of pollutant degradation. Those deficiencies have strictly constrained the practical industrial applications of the photocatalysis. Among the catalysts, TiO2 has proven to be one of the most effective species, especially for its synergistic effects with other components to enhance the catalytic performance. 22 The challenging task is the development of TiO2-based photocatalysts with photocatalytic activity under low-power light irradiation.
Considering this, here a ZnO/TiO2 composite photocatalyst was investigated for the feasibility of MO degradation under low-power irradiation. Our motivations are summarized into the following points. (1) As illustrated in Figure 1, it is expected to exert a synergistic effect between the two components of ZnO and TiO2 by the interfacial structure of heterojunctions that helps the improvement of e−/h+ separation. In essence, the heterojunction domains between TiO2 (3.20 eV) and ZnO (3.25 eV) can result in the injection of conduction band (CB) electrons from ZnO to TiO2, so as to accelerate the separation of e−/h+ pairs of the photocatalyst.23,24 (2) Besides, the ZnO/TiO2 catalysts would be favorable for practical applications because both of the components take the merits of excellent electronic, optical properties, non-toxicity and high thermal stability.25–27 (3) Third, in case of synthesis, a highly efficient composite photocatalyst with n-n heterojunction is constructed by simple chemical precipitation method that is labeled with “simple process, cost-effective and energy-saving”. Apart from, it would prevent the particle agglomeration through the structure of semiconductor heterojunction, which benefits the affinity of organic compounds in the photocatalyst. (4) Fourth, photodegradation requires not only the consideration of the catalyst but also the source of light energy. A quite low-power light source would be tried for the azo dye degradation. In brief, this study would provide a more sustainable and economically viable solution for industrial azo wastewater treatment.

Schematic of ZnO/TiO2 photocatalysts for enhanced photodegradation of MO dye.
Materials and methods
Materials and synthesis of composite catalysts
All the chemical reagents were of analytical grade and commercially received, including NaOH, Zn(NO3)2·6H2O, NH4·OH, Ag(NO3)3, C3H8O, KI, C10H16N2O8, Glacial acetic acid, TiO2, and Methyl orange (C14H14N3NaO3S).
The preparation of ZnO/TiO2 composite photocatalysts involves three major steps, as shown in Figure S1. First, three bottles of solutions were prepared by dispersing 0.5 g TiO2 powder in 75 mL distilled water under magnetically stirring for 30 min.
Second, three composites of Zn(OH)2/TiO2 were produced by respectively taking 5 mL, 10 mL and 15 mL of 0.1 mol/L Zn(NO3)2 solutions into the above-formed three TiO2 solutions under slowly dropping and continuous stirring for 30 min, followed by adding an excessive amount (10% over the stoichiometric amounts) of 0.2 mol/L NaOH solutions in order to fully acquire the terminate product, i.e. Zn(OH)2/TiO2.
Third, the resultant Zn(OH)2/TiO2 composite mixture was calcined at 150°C for 8 h in a blasting drying oven. The selection of calcination condition was primarily based on the thermal decompostion temperature and the reaction completeness. Finally, the as-synthesized ZnO/TiO2 composite photocatalysts were labeled with ZnO/TiO2-
Characterization
The microscopic morphology of the photocatalysts was observed by a scanning electron microscope (SEM), TM-3000, at 15 kV with ultrahigh evacuation atmosphere. In addition, high resolution magnified SEM images and transmission electron microscope (TEM) images were further taken by Thermo Scientific Apreo 2C with a energy dispersive spectrometer (EDS, ULTIM Max 65) and JEM-F200, respectively.
The microstructure of the photocatalysts was analyzed by X ‘Pert powder diffraction (XRD) at 30 kV and 100 mA, with a step size of 0.02°, scanning speed of 10 °/min and 2θ range of 10∼80°.
The chemical functional groups were determined by a Bruke TENSOR II total reflection Fourier transform infrared spectrometer (FT-IR) at a resolution of 0.5 cm−1 with 15 scans in the wavenumbers of 4000–400 cm−1.
The chemical states of the constituent elements of the photocatalysts were detected by X-ray photoelectron spectroscopy (XPS) using an ESCALAB 250 Xi with a AlKα target as the source of X-ray emission within 0–1350 eV at the pass energy 100 eV and step size of 1 eV for full range scanning, as well as the pass energy 30 eV and step size of 0.05 eV for a given elemental scanning.
The photoluminescence spectroscopy (PL, Edinburgh FLS1000, excitation λ= 325 nm) was used to assess the yield of photogenerated quantum in terms of the photocatalytic activity of the composite catalysts.
Mott-Schottky measurements were performed using a CHI760E electrochemical workstation, a square quartz electrolytic cell, and a standard three-electrode system (a Hg/Hg2Cl2 reference electrode, a Pt counter electrode, an aqueous 0.5 M Na2SO4 solution as the electrolyte), a 300 W xenon lamp, with a constant frequency of 1000 Hz and an amplitude of 0.05 V.
The UV-Vis diffuse reflectance spectra (DRS) were obtained within the wavelength range of 220–800 nm using a Shimadzu UV-2600 UV-vis spectrophotometer.
The ASAP 2425 gas adsorption analyzer was employed to evaluate the specific surface area and pore volume of the catalysts by nitrogen adsorption-desorption technique at −196 °C.
The Chemical Oxygen Demand (COD) values of the MO solution before and after treatment were measured at room temperature using a 12-well COD rapid digester model RB-12A.
Degradation performance test of MO
In advance, a 200 mg/L standard solution of MO was prepared by dissolving 0.200 g of MO powder into a beaker containing an appropriate amount of double-distilled water under magnetically stirring for 1 h, followed by transferring and fixing volume to the calibration mark in a 1 L volumetric flask with double-distilled water. Moreover, it was subjected to continuously magnetic stirring for another hour, and ultrasonic shaking for 1 h to ensure thorough mixing.
Next, a series of simulated dyeing wastewater solutions with concentrations of 10 mg/L, 20 mg/L and 30 mg/L were obtained by respectively taking 5 mL, 10 mL, and 15 mL aliquots of the aforementioned 200 mg/L standard solution into volumetric flasks and volumetric setting with distilled water.
The degradation apparatus for this experiment is a homemade square box with a built-in UV lamp, stirrer and cooling accessories, as shown in Figure S2. Typically, a suspension containing 0.2 g photocatalysts and 80 mL MO solution was kept in the dark box without lighting for 30 min under magnetic stirring at 600 r/min to reach an adsorption-desorption equilibrium at room temperature. Subsequently, a low-power UV lamp with 36 W was turned on for working 300 min in the box. Meanwhile, the degradation solution was analyzed at each time intervals of 1 h for determining the absorbance by a UV-vis spectrophotometer at the absorption wavelength of 463 nm. To ensure a good accuracy of the data, each set of experiments was repeated at least 3 times. Finally, the photodegradation efficiency was calculated according to Eq. 1:
In addition, the degradation kinetics was assessed by correlating the proposed Langmuir–Hinshelwood Kinetic model, Eq.2, in order to get the reaction rate coefficient of degradation for MO solution via ZnO/TiO2 composite photocatalysts.
For a dilute solution, the
At the same time, a blank (control) experiment was also conducted by degradation of 10 mg/L MO solution under the same degradation condition in the absence of photocatalysts.
Results and discussion
Morphology observation
Figure 2 shows the SEM images of the ZnO/TiO2 composite photocatalysts. As can be seen from Figure 2(a), the neat TiO2 presents a rough surface with a few of particle agglomerations, which might be favorable for providing superior loading sites for the incorporation of ZnO.23,28 By contrast, the appearance of ZnO/TiO2 composites is dramatically different because of the occupation of ZnO particles on the surface. For instance, the particle size of ZnO/TiO2-10 is concentrated around 0.35 μm. The two different crystal phases can be easily distinguished and dispersed uniformly throughout the matrix of catalysts from the TEM image and EDS mapping images. This indicates that ZnO is successfully deposited on the surface of TiO2. It is believed that the rougher surface with more abundant pores is favorable for providing more active sites of the degradation of MO molecules, thus effectively improving the photocatalytic degradation efficiency.23,29 The discussion on the porous structure of catalysts is given in the later section of this study.

SEM images of ZnO/TiO2 composite photocatalysts. (a) TiO2, (b) ZnO/TiO2-5, (c) ZnO/TiO2-10, (d) ZnO/TiO2-15. In addition, the images of high resolution SEM (e), TEM (f), EDS mapping images of Ti (g) and Zn (h), and the elemental contents (I) of ZnO/TiO2-10.
Moreover, the deposition of ZnO is likely to be more uniform on the TiO2 surface with increasing the amount of ZnO. The phenomenon can be explained by the following reasons. Apparently, the larger catalyst surface would become more uniform and dense after deposition of smaller size ZnO grains, as will also be verified by the following XRD section. This is actually attributed to the preferential attraction of polar aqueous Zn(NO3)2 of hydrophilic TiO2 during the synthesis process of chemical deposition.24,30,31 Additionally, the negatively charged layer of TiO2 surface also facilitates the adherence of Zn2+ in the solution during the preparation process. 24
Microstructure of catalysts
Figure 3 shows the XRD patterns of the as-prepared ZnO/TiO2 composite photocatalysts.

XRD patterns of ZnO/TiO2 composite photocatalyst.
For ZnO/TiO2 composite photocatalysts, it identifies the typical peaks at angles of 25.30°, 36.95°, 37.79°, 38.57°, 48.03°, 53.89°, 55.06°, 68.76°, 70.31° and 75.04°, corresponding to the specific crystallographic planes of (101), (103), (004), (112), (200), (105), (211), (116), (220) and (215), respectively. They are attributed to the presence of anatase phase in TiO2.4,12,32 Among them, the low-energy (101) and (200) planes are the main stabilizing crystal planes of anatase crystals, which mainly contribute the reactive activity for their exposed position of the catalysts. 33 Since the anatase phase is better photoactive than the rutile or brookite phase for ZnO/TiO2 composite photocatalysis, 16 it is expected to exhibit a good photocatalytic activity of present catalyst in terms of dye degradation. In addition, many planar diffraction peaks located at 31.8° (100), 34.5° (002), 36.2° (101), 56.5° (110), and 62.9° (103) are present in the XRD patterns, which were attributed to the contribution of the hexagonal feldspathic zincite structure of the ZnO constituents. 34 Both of them are renowned for their superior photocatalytic activity. 35 Therefore, the result indicates that ZnO is successfully deposited on the as-synthesized ZnO/TiO2 composite photocatalyst, which would contribute significantly to the improved performance.
Moreover, the grain size of the photocatalysts was also determined by Scherrer's Equation (4), that is, 39.74 nm for TiO2 and 38.79 nm for ZnO in grain size as listed in Table 1. Besides, the crystallinity of the synthesized composite photocatalyst is estimated, for instance 43.27% for ZnO/TiO2-10, by applying Equation (5).
21
This estimation was derived by comparing the area under the XRD peak of the composite (Acp = 924.61) with the total area of the XRD plot (AT = 2136.53). Probably, a smaller grain size or high crystallinity of catalysts is helpful for the improvement of specific surface area so as to enhance the mobility of charge carriers, which in turn significantly influences the photocatalytic activity.
Structural parameters from the techniques of nitrogen adsorption and XRD.
The porous parameters of the catalysts are also listed in Table 1 by nitrogen adsorption-desorption. As illustrated in Figure 4, the adsorption isotherms of the composite catalysts are classified as Type III, featuring characteristic hysteresis loops designated as Type H3 isotherms according to the IUPAC classification. This indicates that the material forms a mesoporous structure. 36 In Table 1, it is noted that the values of specific surface area of composite catalysts are located between those of ZnO and TiO2, which further deceases with elevating the ZnO content. Differently, the pore size and pore volume of ZnO/TiO2 are obviously larger than those of the two neat ZnO and TiO2 samples. In particular, ZnO/TiO2-10 presents the largest pore size and pore volume among the composite catalysts. This suggests that more pores would be formed as the result of decoration and accumulation of nanoclusters by incorporation of TiO2 with ZnO, especially for the catalysts prepared at optimal composition ratio. 37 Generally, the more abundant pore structure would be more favorable for the enhancement of the scattering of light by the material, thereby increasing the residence time of light on the catalyst surface and improving light absorption efficiency. 38 The effective separation of e−/h+ pairs through the formation of a heterojunction structure further aids the photocatalytic reaction process. 39

Nitrogen adsorption-desorption isotherms of ZnO/TiO2 composite photocatalyst.
Chemical groups of photocatalysts of analysis
Figure 5 shows the chemical functional groups of the as-prepared photocatalysts. The -OH bond at 3464 cm−1 is mainly due to the structural water and absorbed free water in the photocatalyst. 40 The peaks range of 400–800 cm−1 is attributed to the vibration of Ti-O-Ti bond and the stretching vibration of Ti-O bond.32,41,42 This result proves that the depositing ZnO in the photocatalyst synthesized via the chemical deposition method does not completely cover the surface of TiO2. 32 The result is in agreement with SEM observation. It probably facilitates the absorption of light energy on the TiO2 surface and thus exciting the TiO2-based photocatalytic activity.

FTIR spectra of ZnO/TiO2 composite photocatalysts.
Simultaneously, the symmetric stretching vibration of Zn-O-Zn at 1381–1070 cm−1 is also found in the ZnO/TiO2 composite photocatalysts. 43 The absence of Zn-O bond implies the existing state of the inter-atomic vibrations of such metal oxides. 44 On the other hand, the weak peak of Zn-O bond around 400–470 cm−1 might be masked by the stronger peak of Ti-O bond because of the low concentration of ZnO in the photocatalyst.20,45
Chemical state analysis
Figure 6 shows the oxidation state, elemental composition and binding energy of the composite photocatalysts. Clearly, the peaks are identified as Ti2 s, Ti3 s, Ti2p, Ti3p, C1 s and O1 s at the binding energies of 565 eV, 62 eV, 459 eV, 38 eV, 285 eV and 531 eV, respectively.46,47

XPS spectra for ZnO/TiO2-10 composite photocatalysts. (a) full scanning spectrum, (b) Ti2p, (c) Zn2p, (d) C1 s, and (e) O1 s.
As shown in Figure 6(b), the two states of Ti2p1/2 and Ti2p3/2 at 464.5 eV and 458.7 eV are revealed in the XPS spectra, confirming the existence of Ti4+ in Titania lattice.46,48 This is in good agreement with the XRD pattern. Compared with the peak of Ti 2p3/2 at 459.3 eV reported in the literature by Erusappan et al., 46 the peak position of present TiO2 slightly shifts to lower binding energy. This result proves the proposed photocatalytic mechanism of present catalysts that the Ti2p3/2 could capture electrons from ZnO, as schematically illustrated in Figure 1.
Figure 6(c) shows Zn2p peaks of ZnO/TiO2 composite photocatalysts locating at 1022.3 eV for ZnO 2p3/2 and 1045.5 eV for ZnO 2p1/2. 20 Spin-orbit splitting of approximately 23 eV between Zn 2p3/2 and Zn 2p1/2 indicates that the Zn atoms are in a completely oxidized state in the photocatalyst sample.49,50 In reports, Zn2p3/2 and Zn2p1/2 usually locate at 1021.6 and 1044.8 eV, respectively. 50 This difference implies that the charges have been transferred from Zn2+ to O2− as the result of induction of oxygen vacancies,51,52 which might potentially promote the process of photocatalytic reaction with MO molecules in wastewater.
For C1 s (Figure 6(d)), the major peak positioning at 284.95 eV is attributed to the C-C or C-H bonds.47,53 Another peak at 285.85 eV is assigned to the carbon atoms presented in surface either C-OH or C-O-C groups. 24 As for O1 s in Figure 6(e), the peaks of 529.95 eV and 531.47 eV are owing to the lattice oxygen (Ti-O or Zn-O) and the oxygen in C-O in the ZnO/TiO2 photocatalyst, respectively. 24
Effect of composition ratio of catalyst on the MO degradation
The degradation efficiency was measured by an 80 mL MO solution with 20 mg/L and 0.2 g composite photocatalysts.
As shown in Figure 7, the degradation efficiency of all the four investigated catalysts is increased monotonously within the time duration of 300 min. Taking into account of actual application requirements, the degradation effect did not further examine for a more prolonged time over 300 min in this work in light of the complete degradation as shown in Figure S5. In terms of different catalysts, at the final point of 300 min, the degradation efficiency of MO solution first increases from 68.9 to 93.9% then decreases to 77.0% with the composition ratio increasing from 5 to 15%. Namely, the optimal degradation efficiency of 93.9% is reached for ZnO/TiO2-10 among the photocatalysts. An appropriate loading amount of ZnO would be beneficial for enhancing the photocatalytic synergistic effect between ZnO and TiO2 due to the full excitation of electrons under light irradiation, which facilitates their transfer from the CB of ZnO to that of TiO2. Simultaneously, holes are transferred from the valence band (VB) of TiO2 to that of ZnO. This e−/h+ separation reduces the rate of carrier recombination, thereby improving the catalytic activity of the composite catalyst. 54 Oppositely, if the excessive ZnO particles are attached to the TiO2 surface, the active sites could be prevented from receiving the UV light irradiation, so as to diminish the MO degradation reaction. 55 Apart from, the porous structure probably takes great effect on the MO degradation by offering more accessible active sites for MO, e.g. ZnO/TiO2-10, as listed in Table 1. This eventually leads to the decrease of degradation efficiency of photocatalyst for MO dyes in water.

Plots of (a) MO degradation in dependence of catalysts, and (b) regression of apparent reaction rate coefficients.
Figure 7(b) gives the order of the kinetic rate constant
Effect of initial MO concentration on MO degradation
As shown in Figure 8, the photocatalytic efficiency of ZnO/TiO2-10 for MO degradation decreases from 98.6% to 58.5% for MO dyeing wastewater when the initial concentration of MO solution increases from 10 mg/L to 30 mg/L. At the same time, the order of the

Effect of concentrations on MO degradation (a) and (b) plots of ln(C0/C).
On the contrary, as the initial concentration increases, there is a noticeable downward trend in the degradation level of MO. This decline is attributed to the enhanced competitive adsorption of active sites between MO molecules and •OH radicals on the catalyst surface. 61 Consequently, it reduces the removal efficiency of MO due to the insufficient supply of available •OH radicals and active reaction sites. 62 On the other hand, another factor is also crucial to weaken the degradation performance of MO. That is, potential role of inner filter effects, where the presence of high concentrations of MO can absorb the incident light, reducing the amount of light reaching the catalyst surface. 63
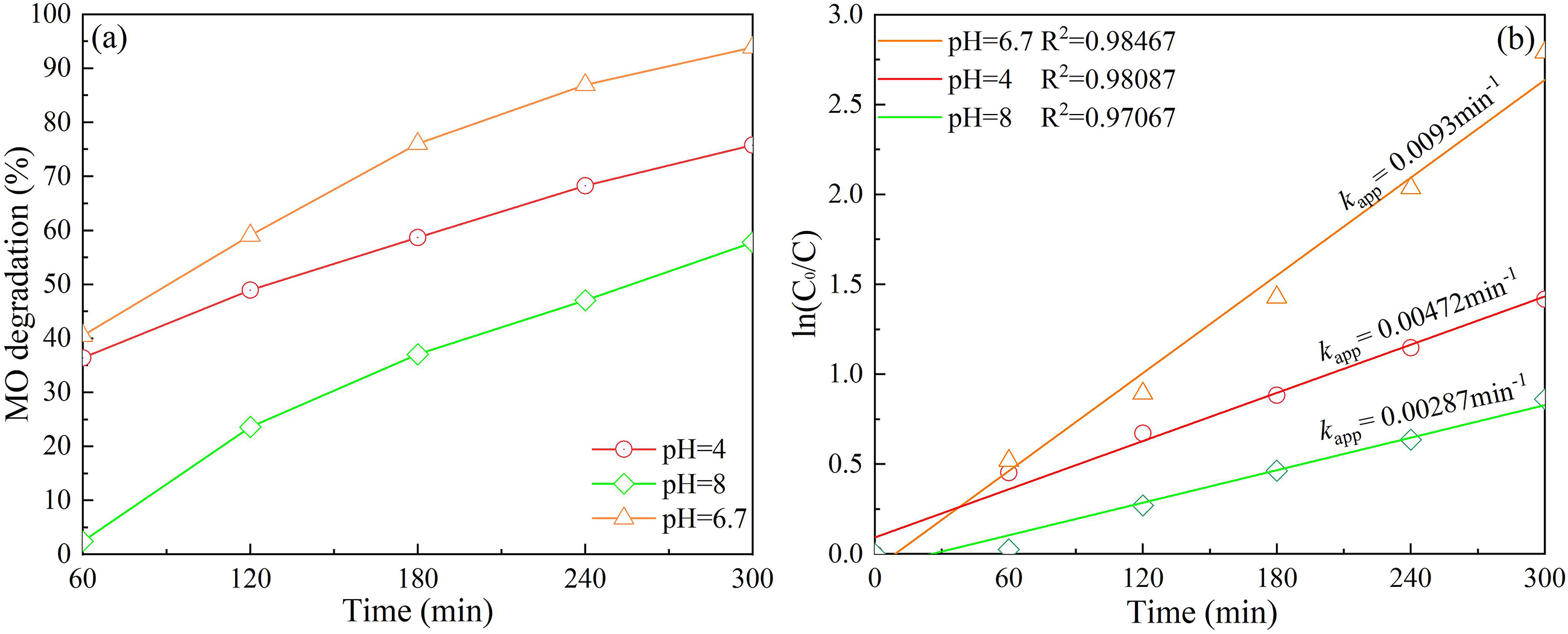
Effect of solution pH on the MO degradation
During the photocatalytic process, pH value of a solution is one of the most important parameters for the decolorization of organic pollutants owing for the effects of surface charge and charge carrier recombination. 64
In Figure 9, it shows that the degradation efficiency of MO solution first increases to 93.9% then decreases to 57.7% as pH value increases in the solution system. Meanwhile, the

Effect of pH on MO degradation and (b) plot of ln(C0/C) versus time.
As a matter of fact, the amount of OH− on the catalyst's surface is diminished under strongly acidic conditions with a low pH. This leads to a decrease in the quantity of •OH radicals among the active species, consequently lowering the catalyst's oxidative activity. 65 On the contrary, when the pH of the solution to be degraded is increased to a strongly alkaline level, the adsorption of anionic MO is reduced on the negatively charged surface of catalyst due to the Coulombic repulsion. It leads to a decrease in the photocatalytic degradation efficiency. 66
At the same time, the entry of MO molecules into the active reaction site will be reduced due to the competitive adsorption effect of OH− ions and MO molecules on the catalyst surface, which ultimately reduces the degradation effect of photocatalysts.67,68 In addition, the promotion of the charge carrier recombination of e−/h+ would also weekend the MO degradation efficiency because of the adverse offset of the band-edge potentials of the photocatalyst at strong acid or alkali conditions. 69
Therefore, the optimum MO degradation is achieved for the present catalysts at near-neutral pH value 6.7.
Comparison of degradation performance of photocatalysts
As shown in Table 2, the photocatalytic performance of the as-prepared ZnO/TiO2 composite photocatalysts for azo dye wastewater is comparable to the number of other photocatalysts in references.17,18,20,26,70–72 Obviously, the ZnO/TiO2 composite photocatalysts can effectively achieve satisfactory degradation of MO dyes in wastewater by providing excellent photocatalytic activities under the condition of the low-power UV irradiation. Besides, the percentage of COD values for the treated wastewater is 98.3% by the catalysts (Please refer to Table S1 of the supporting document for specific details).
Comparison with degradation date of different photocatalysts treating various dyes wastewater.
In addition to the thermal stability and structural stability (as shown in Figure S3 and Figure S4), the photocatalytic stability was also evaluated by cycling experiments for ZnO/TiO2-10 with photodegradation cycles of five times. The results for MO are depicted in Figure 10. As observed from the figure, the efficiency of ZnO/TiO2-10 in degrading MO remains close to 90% even after five cycles. In comparison to the MO degradation of 75.8% and 76.5% of ZnO/MCM and Fe3O4/ZnO-GO photocatalysts after 4 cycles in reports,73,74 the present catalysts are more attractive with respect to the outstanding cyclic stability. The catalytic performance tests of the prepared ZnO/TiO2-10 have demonstrated the high catalytic activity and remarkable stability, which are crucial attributes for practical applications in photocatalysis.

Cycling experiment of ZnO/TiO2-10 for MO photodegradation.
Photocatalytic degradation mechanism of present catalysts
The light absorption capacity of catalysts was examined using UV-visible absorption spectroscopy, as depicted in Figure 11(a). The comparison among the three catalysts reveals that the ZnO/TiO2 composite exhibits higher absorbance in the higher part of the visible light region (650–800 nm), suggesting a more pronounced capacity to capture photons. The band gap of the catalysts is further determined in Figure 11(b), which is dramatically reduced from 3.25 eV for ZnO and 3.20 eV for TiO2 to 3.13 eV for ZnO/TiO2 according to the Tauc equation (Eq. 6). This reduction in band gap energy (

Plots of (a) UV–vis spectra, and (b) energy band by correlating (αhν)2
Where,
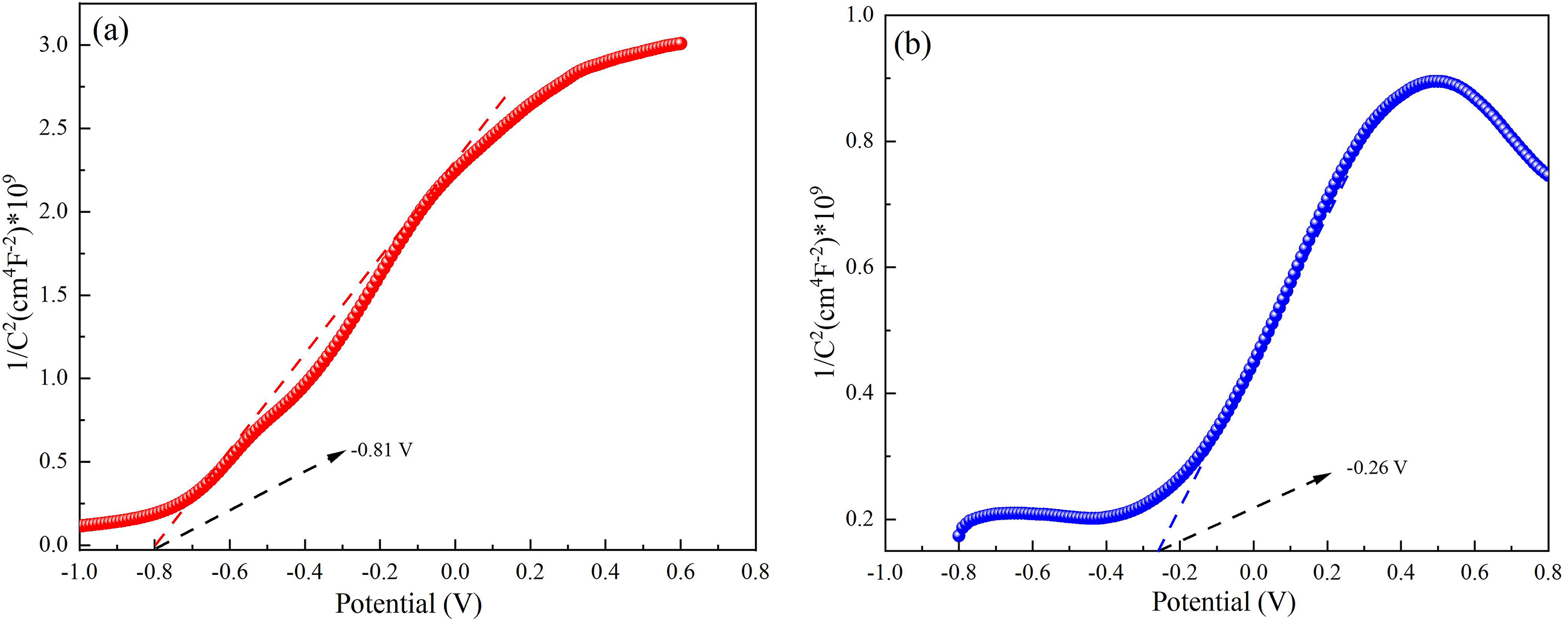
The energies of flat band potential (Efb) of TiO2 and ZnO were analyzed by Mott–Schottky plot as shown in Figure 12 (a)(b). The positive slopes observed in the Mott–Schottky curves indicate that both ZnO and TiO2 are n-type semiconductors. The Efb values of them are −0.81v and −0.26v, respectively.

Mott–Schottky plots of (a) ZnO and (b) TiO2 by film electrodes at a frequency of 1000 Hz in an aqueous solution of Na2SO4 (0.5 M).
Additionally, the band gaps of hexagonal-phase ZnO and anatase TiO2 were determined from the DRS images to be 3.25 eV and 3.20 eV, respectively. Considering the close relationship between the Fermi energy levels and the edges of CB and VB in n-type semiconductors, the valence band energy (EVB) can be calculated by EVB = Eg + ECB. The final band gap of CB and VB are obtained as −0.81/2.44 eV for ZnO, and −0.26/2.94 eV for TiO2, respectively.
In order to elucidate the intrinsic mechanism of the photocatalytic reaction process, ZnO/TiO2-10 composite was selected as an example for free radical trapping experiments. These experiments were aimed at determining the extent of the contribution of individual radicals to the photocatalytic reaction. Benzoquinone (BQ), isopropanol (IPA) and KI were added as trapping agents for •O2−, •OH and h+ in the catalytic reaction, respectively.
In Figure 13, it shows that the reaction activity decreases significantly with the degradation efficiency reducing from 98.63% to 27.65% after the introduction of IPA. This verifies that •OH radicals play a dominant role in the degradation reaction. In contrast, the addition of KI has a negligible effect on the photodegradation reaction, indicating that h+ is hardly involved in the catalytic oxidation of MO. When BQ is used as a trapping agent, the degradation efficiency decreases from 98.63% to 63.15%, indicating that •O2− is involved in part of the catalytic oxidation reaction of MO.

Free radical trapping experiments for photodegradation of MO by ZnO/TiO2-10.
Theoretically, photocatalytic performance is dependent upon the intrinsic nature of photoelectronic effects of catalysts. The energy band structure is usually made up of a low-energy VB and a high-energy CB, together with a forbidden band (Eg) between the CB and the VB. If the light energy irradiated on the surface of photocatalyst is greater than or equal to the energy gap (hv ≥ Eg) of photocatalyst, it induces the generation of e−/h+ pairs.73,74 These active substances (e− or h+) react with H2O and O2 in aqueous solution by generating •OH radicals with high oxidizing power, which would eventually oxidize and decompose the organic pollutants into H2O and CO2. 17 Therefore, ZnO/TiO2 composite catalyst for MO degradation can be divided into three steps: exciting photocatalytic activity via absorbed UV light, generating active radicals and photocatalytic degrading MO dyes into H2O and CO2, as shown in Figure 1. In summary, the process could be interpreted by the following aspects with respect to the reactions Eqs. (7–16):
Low-power UV irradiation promotes the excitation of electrons from the VB to the CB of TiO2 and ZnO, by yielding e−/h+ pairs.
75
As the result, it endows the photocatalytic properties for TiO2 and ZnO owing to the generation of a band gap between VB and CB,
76
as shown in Eqs. (7, 8). During the subsequent photocatalytic process, the electrons in ZnO would be first excited to higher energy levels and then transferred to the CB of TiO2, which inhibits the recombination of e−/h+ pairs of the photocatalyst (as has been proved by the PL spectra, Figure S6).77,78 Since the interface of TiO2 and ZnO with n-n heterojunction can accelerate the electron transfer, which promotes the reaction of electrons with adsorbed O2 to produce •O2−, this ultimately leads to the formation of •OH radicals (Eqs. 9–14).12,50 At the same time, photogenerated holes with strong oxidizing reaction with H2O or OH− to produce •OH radicals (Eq. 15).25,72,78 Eventually, •OH radicals degrades MO molecules into harmless substances, such as H2O and CO2, by attacking the unsaturated bonds in the MO molecule (the conjugated system formed by the azo group and the carbon-carbon double bond of the benzene ring) and causing it to undergo an addition-oxidation reaction (Eq.16).79,80
Conclusion
In this study, ZnO/TiO2 composite photocatalysts were successfully prepared via chemical deposition method. By adjusting the chemical composition of ZnO/TiO2 photocatalyst, the separation efficiency of the electron-hole pairs of the photocatalyst could be effectively improved. The photocatalytic performance and the
Supplemental Material
sj-docx-1-sci-10.1177_00368504251322606 - Supplemental material for ZnO/TiO2 photocatalysts for degradation of methyl orange by low-power irradiation
Supplemental material, sj-docx-1-sci-10.1177_00368504251322606 for ZnO/TiO2 photocatalysts for degradation of methyl orange by low-power irradiation by Jinzhu Dai, Yonghong Wu, Yanhu Yao and Bing Zhang in Science Progress
Footnotes
Acknowledgements
This research was financially supported by the Natural Science Foundation of Liaoning Province in China (No. 2021-MS-238), and the Scientific Research Project of Liaoning Provincial Department of Education (No. LJGD2020002).
Author contributions
Data availability statement
The datasets generated and/or analysed in the current study are available from the authors upon reasonable request.
Declaration of conflicting interests
The authors declared no potential conflicts of interest with respect to the research, authorship, and/or publication of this article.
Funding
The authors disclosed receipt of the following financial support for the research, authorship, and/or publication of this article: This work was supported by the Scientific Research Project of Liaoning Provincial Department of Education, Natural Science Foundation of Liaoning Province in China, (grant number LJGD2020002, 2021-MS-238).
Supplemental material
Supplemental material for this article is available online.
References
Supplementary Material
Please find the following supplemental material available below.
For Open Access articles published under a Creative Commons License, all supplemental material carries the same license as the article it is associated with.
For non-Open Access articles published, all supplemental material carries a non-exclusive license, and permission requests for re-use of supplemental material or any part of supplemental material shall be sent directly to the copyright owner as specified in the copyright notice associated with the article.
