Abstract
This review examines the concept of historical imagination and the roles it plays in history learning according to the literature. Imagination is essential when addressing historical topics because we cannot experience the past directly through our senses. However, history education literature has adopted a more comprehensive approach, and a wide range of roles have been attributed to this concept. Despite the extensive literature that has addressed historical imagination, there continues to be widespread ambiguity about it. This systematic literature review analyzes 473 publications in English, German, Portuguese, and Spanish, from 1962 to 2020. Ten roles of historical imagination in history learning are identified, as well as the theoretical grounding underpinning each role. These findings are necessary to bring clarity to the concept, and two recommendations are made to suggest ways that future research on this topic can provide insights into how historical imagination contributes to historical understanding.
Keywords
Imagination is involved in several mental processes, and it has been broadly defined as the faculty to form pictures or ideas in the mind. Discussions about the role of imagination in education have been approached from various disciplines and perspectives, resulting in diverse interpretations and attributions. Dewey (1916) highlighted that imagination is a method for expanding and completing reality that ensures that any activity is not simply done mechanically. Vygotsky (1962, 1987) described imagination as a basic human impulse that intervenes in broadening experience, acquiring language, and developing rational thinking. Other prominent scholars pointed to its contrasting role in paradigmatic and narrative modes of thought (Bruner, 1986), how it drives the development of different cognitive tools (Egan, 1997), or the role it plays in creating future scenarios through aesthetic education to shape the democratic communities of tomorrow (Greene, 1995). Therefore, different interpretations of imagination led to the recognition of its diverse roles in children’s learning and development (Harris, 2000; Passmore, 1980). This concept was also used in research fields like history education, where authors proposed a nuanced approach to its specific roles.
Using imagination when addressing historical topics is necessary, as we cannot experience the past directly through our senses (Gaddis, 2002; Staley, 2021). However, literature in history education has adopted a more comprehensive approach, and a wide range of roles have been attributed to historical imagination in history learning (Cooper, 1992, 2018; Fines, 2002; Hughes-Warrington, 2003; Lee, 1984; Little, 1983). This has resulted in widespread ambiguity, with the concept being interpreted in various ways and connected to numerous activities. Additionally, these discussions about historical imagination intertwine theorizations from different disciplines and fields such as pedagogy, educational psychology, philosophy of history, and even literary theory (Den Heyer & Fidyk, 2007; Staley, 2021; VanSledright & Brophy, 1992). The purpose of this article is not to review the literature and propose a definition of historical imagination, but rather to analyze such literature in order to classify the roles attributed to historical imagination in history learning and, at the same time, to explore the theoretical principles underpinning each role.
Why is this important? Exploring how students learn history and what kind of historical understanding is better for their education as citizens represents key questions for teachers, researchers, and educational authorities (A. Clark & Grever, 2018; Levstik & Barton, 2005). In the last decades, history education research focused on how historical knowledge can be more useful and relevant for students (Carretero et al., 2017; Metzger & Harris, 2018), not by memorizing historical facts and dates, but through constructivist pedagogical approaches that promote procedural learning. For instance, these perspectives highlighted that students should use inquiry methods to analyze and contrast historical sources, thus opening history to interpretation and prompting reflection on how historical knowledge is constructed. Research on these topics produced a series of concepts like historical thinking, historical reasoning, historical consciousness, historical empathy, historical agency, and historical imagination, among others. These concepts define, connect, and operationalize different aspects of this kind of procedural learning (Grever & Adriaansen, 2019; Miguel-Revilla & Sánchez-Agustí, 2018; Seixas, 2017). Furthermore, these concepts should not be considered in isolation because they are often intertwined and even overlap, such as the link between imagining historical figures and empathizing with them (Cunningham, 2007) or the use of imagination when contextualizing historical texts (Fillpot, 2012). Even though these ideas can serve different educational aims (Milligan et al., 2018; Popa, 2022), like simply developing cognitive skills or using historical understanding to confront inequities or discrimination (Santiago & Dozono, 2022), it has become apparent that these concepts are central to making history meaningful for students.
In this vein, recent bibliometric studies indicate a significant rise in the number of articles focused on these concepts between 2007–2017, and although historical imagination is frequently used by scholars worldwide, other terms have received more attention (Gómez-Carrasco et al., 2019; Rodríguez-Medina et al., 2020). For example, there are only a few studies focused on teachers’ conceptions of imagination, which suggest that it is mainly associated with creating mental images of the past (Bel, 2022; Cunningham, 2009), and the debates that took place decades ago in specific contexts about its inclusion in the curriculum (Retz, 2018) are no longer prevalent today. Nevertheless, authors often mention imagination even when it is not the central theme of their research on history learning (Gilbert, 2019; Stouraitis, 2016). In fact, references to imagination can be traced back to pioneering texts on history education from a century ago (Altamira, 1895; Keatinge, 1913; Pingrey, 1921).
However, the concept of historical imagination is not without its complications. It is often a matter of concern that it may blur the line between historical inquiry and historical fiction. Additionally, in early research conducted in the field during the 1980s and 1990s (Erdmann & Hasberg, 2011), a prominent scholar highlighted that “teachers of history have ambivalent attitudes to imagination” (Lee, 1984, p. 85), and various researchers noted confusion about this concept (Foster & Yeager, 1998; VanSledright & Brophy, 1992). This confusion was addressed in the following years by a few scholars who conducted reviews on historical imagination and identified some of its roles. Little (1989) distinguished several types of historical imagination: a structural imagination that operates in interpreting the past, an ornamental imagination that intervenes in history reading and writing, and an empathetic imagination that enables entry into the minds of people from the past. Her study was followed by another review conducted by Hughes-Warrington (2003), who identified four roles of historical imagination: understanding past events and contexts, connecting historical evidence, using literary style in historical narratives, and innovating to build historical knowledge creatively. However, even though these classifications shed some light on the concept, other authors have remarked that there is still a lack of clarity surrounding historical imagination (Cunningham, 2009; Endacott & Brooks, 2018; Lévesque, 2008; Retz, 2015).
Contribution of the Review
My search revealed significant findings at this point. I found that previous reviews only encompass some of the roles of historical imagination that emerge in the literature. Furthermore, many authors have combined different roles of the concept in their works, and most roles were grounded in just a few historiographical and philosophical writings. For example, de Leur et al. (2020) understood historical imagination as a way of forming and observing mental images about the past with the mind’s eye. They stated that visualizing these mental representations could contribute to the development of historical empathy and, therefore, to understanding how people who lived in the past thought, felt, made decisions, and acted (de Leur et al., 2017, 2021). Meanwhile, Percival (2020) insisted on the importance of this mental imagery in historical understanding, although he conceived historical imagination differently and framed it in learning tasks where students analyze historical evidence. Historical knowledge is constructed using remaining historical evidence, but since these are fragmentary and incomplete, historical imagination was described by Percival (2020) as the ability to make inferences that
Moreover, my review outlines potential future research paths and provides insights into the sociopolitical aims (Santiago & Dozono, 2022) that historical imagination can serve in history education. For instance, it can help students address discriminatory historical representations through aesthetic analysis by examining the components of these representations in order to critically evaluate who is portrayed and how they are depicted.
An additional value of my systematic review is that it suggests how to classify the roles of imagination used by educational researchers in other fields. I argue that this mapping is critical at this historical juncture (Alexander, 2020) in history education research, as this field is growing internationally around specific approaches and concepts (Carretero et al., 2017; Metzger & Harris, 2018; Popa, 2022). However, the term imagination is also used in other disciplines and fields, where concepts such as “sociological imagination” (Mills, 1959) have significantly impacted an entire discipline like sociology. Research in other domain-specific fields, like mathematics education or science education, also refers to particular roles of imagination. For instance, some authors suggest that mathematical imagination is involved in geometry and algebra learning (Irakleous et al., 2022). In science education, scientific imagination is described as the ability used by students to create new technological inventions (Wang et al., 2015) or a mental-representation faculty that contributes to science learning in play-based settings (Fleer, 2019). However, there is a lack of literature reviews on imagination, with the only existing reviews addressing the related concept of creativity (e.g., Kupers et al., 2019). Therefore, this study can encourage other researchers to conduct reviews on how imagination is understood and operationalized in their fields.
To my knowledge, this review and synthesis was the first to address this issue in history education systematically and comprehensively. Previous reviews, such as Little’s (1989), Hughes-Warrington’s (2003), or Mainardes-Waiga’s (2023), were either narrow, unsystematic, only considered literature published in English, or were conducted during the emergence of the research field, which necessarily impacted their results (Alexander, 2020; Gough & Thomas, 2016). In this comprehensive review, I covered the literature of the field from its beginnings to the present time (1962–2020), and I attended the call of two leading scholars (Körber, 2016; Seixas, 2016) to consider the intercultural dialogue when disentangling history education concepts: Intercultural dialogue promises [. . .] to enhance the conceptual clarity, enrich the conceptual scope, strengthen the empirical research agenda, and, hopefully, thereby, substantially improve the utility of the research field for practitioners in schools, museums and many other sites of history education. (Seixas, 2016, p. 437)
Therefore, I searched and analyzed literature published in English, German, Portuguese, and Spanish.
Purpose and Research Questions
Considering all these factors, my review aimed to classify the roles attributed to historical imagination in history learning and, at the same time, to explore the theoretical principles underpinning each role. The research questions I addressed are the following:
Method
To respond to these questions, I conducted a systematic review of an extensive sample of the history education literature. My goal was to identify the roles of historical imagination in the literature, as well as the theoretical foundations used to underpin each role. I decided to conduct a conceptual systematic review (Amundsen & Wilson, 2012; Petticrew & Roberts, 2006) as this type of review is recommended to disentangle fuzzy terms frequently used in the literature (Schreiber & Cramer, 2024). However, the process was not organized straightforwardly, but it was in an iterative and nonlinear manner (Alexander, 2020) due to the specificities of the concept under study and the features of history education literature.
The review was also bound by my orientations as a reviewer—both my strengths and limitations. I decided what kind of literature to review, as well as the framework and analysis (Shahjahan et al., 2022). Furthermore, this review was shaped by my sociomaterial realities and my theoretical context, something that should be taken into account in this type of educational research (Alexander, 2020). I identify as a young white Spanish assistant professor affiliated with a Global North university. My training as a history education researcher was mediated by the emergence of research around concepts like historical thinking and historical consciousness in the United Kingdom, United States, Canada, and Germany, which had a global impact. This review benefited from the insights of a scholar from a European university who has a permanent connection to Latin American researchers through visiting professors, conferences, and journal editing. Additionally, one of my mentors had academic expertise in Germany, and he influenced my understanding of how German history didactics emphasize disentangling concepts (cf. Bergmann et al., 1985; Mayer et al., 2022). I share my identity and theoretical orientations to notice relevant factors shaping (a) my entry to the history education literature, (b) my commitment to include literature written and published in languages other than English (LOTE), (c) my motivation to clarify a fuzzy concept like historical imagination, and (d) my limitations with this review.
As in any other review, I must acknowledge several limitations in the search, collection, and analysis of the literature. First, my linguistic skills enabled me to read the four languages considered in this review, but sometimes I faced difficulties when reading German. To mitigate this limitation, I combined two web-based translators (Rockliffe, 2022), one subscription-based (DeepL) and one free (Google Translate), as well as an online dictionary (Langenscheidt), to accurately understand any unclear passage (Petticrew & Roberts, 2006). Second, although literature in several languages was included, there were many languages, as well as national and cultural perspectives, not covered (e.g., from African and Asian countries). Third, although my position in a European research university allowed me to access a series of resources, such as scholarly journals and databases, I acknowledge that databases are not neutral and unbiased information stores (Shahjahan et al., 2022); rather, they restrict access to a vast range of history education literature. Fourth, this comprehensive review covered a broad period but did not delve deeply into the historical usage of concepts (Koselleck, 2002) or the curriculum policies that influenced educational ideas over time (Hughes-Warrington, 2003; Retz, 2018). Fifth, throughout this period, history education literature underwent significant changes, transforming the perspectives, methods, and epistemological approaches (Metzger & Harris, 2018). Together with my inclusion criteria, this resulted in my review containing diverse developments on the concept, thus bringing together ideas with different levels of complexity, some based on empirical studies and others not. Sixth, as the only author of this review, I examined and codified data alone, without discussing or refining the analytical process with other researchers. Finally, this study examined the roles attributed to historical imagination in literature but did not explore how to operationalize it. This represents a relevant question to be addressed in future research.
Literature Search and Collection
I surveyed key articles and conducted a pilot search (Rothstein & Hopewell, 2009) to determine how authors in history education literature have referred to the concept. I found that both “historical imagination” and “imagination” have been used interchangeably. However, several search trials showed that these terms appear infrequently in titles, abstracts, and keywords, which is in line with recent bibliometric studies in the field (Gómez-Carrasco et al., 2019; Rodríguez-Medina et al., 2020). This previous step helped me to redesign and broaden my search plan, which consisted of searching and collecting an extensive sample of history education literature to screen how papers refer to historical imagination.
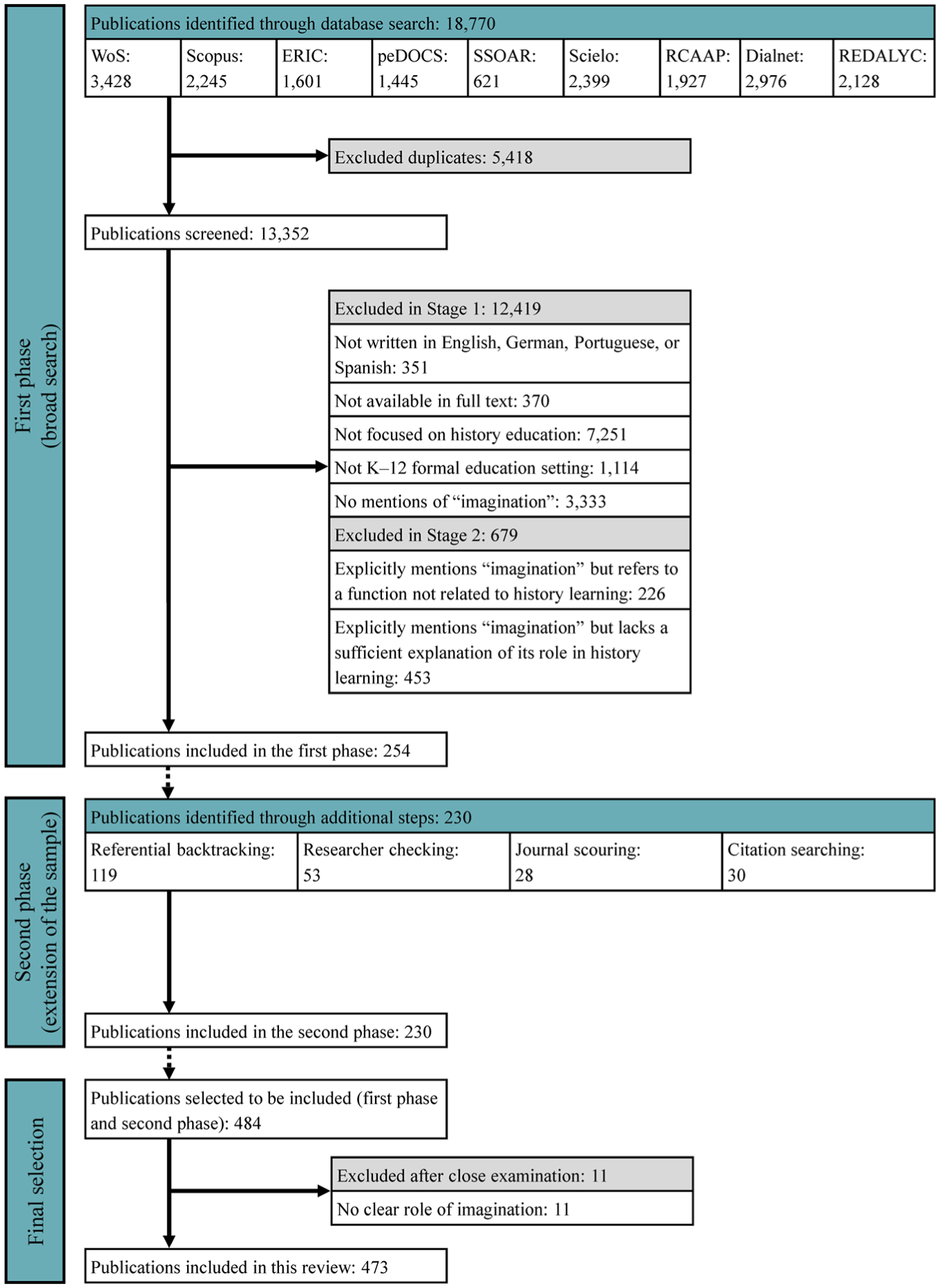
The search plan was divided into two phases (Figure 1). First, I conducted a broad search across various databases for journal articles on history education. Then, I extended the sample using the additional steps suggested by Alexander (2020), Rothstein and Hopewell (2009), and Suri (2011) to locate further articles, as well as books and book chapters. My aim was to conduct a comprehensive review by sourcing all relevant literature and incorporating as much variability as possible. I included theoretical scholarship, empirical studies, and reviews in history education. I also purposely included articles that were not peer-reviewed but editor-reviewed, particularly from practitioner journals, as suggested by Hallinger and Kovačević (2019). These journals—for example,

Flow diagram of the literature search, screening, and inclusion.
The first phase (broad search) was an iterative and systematic process that began in April 2020 and continued through September 2022. The initial searches covered sources published between 1962 and 2019, and I later updated my search to incorporate those published in 2020. Given my aim to include literature published in English, German, Portuguese, and Spanish, I searched nine databases that compile journal articles in these four languages: Web of Science, Scopus, ERIC, peDOCS, SSOAR, Scielo, RCAAP, Dialnet, and REDALYC. The later databases are frequently used in literature reviews that incorporate LOTE (Galuschka et al., 2020; Puig et al., 2019). This inclusion helped to integrate more publications of Latin American authors, who are frequently underrepresented. Additionally, considering practitioner journals helped to incorporate more articles authored by women, as most contributors to these journals are primary and secondary teachers and there is a higher proportion of women teaching in these stages compared to academia. Considering the outcomes of the pilot search, I relied on a wide search of terms that constitute the nodal points of history education literature (Popa, 2022): “history education*,” “history didactic*,” “learning history,” “teaching history,” “historical thinking,” “historical reasoning,” “historical consciousness,” “historical understanding,” “historical empathy,” “historical imagination,” and “historical narrati*.” I searched for articles that included any of these terms in their title, abstract, or keywords. I conducted the searches in the primary language of each database (Table 1), translating and adapting these terms according to the literature in each language. For example, in German databases, I combined “historische imagination” and “historische vorstellung” because these terms have overlapping meanings (Mayer et al., 2022) and are used similarly by key scholars (e.g., Schörken, 1994). Regarding the period covered by this review, I chose to start my search in 1962 because a landmark publication on history education was released that year (Burston & Green, 1962), which had a notable influence on subsequent research and discussions about historical imagination (Lee, 2014; Retz, 2018). The search returned 18,770 articles. After removing duplicates, 13,352 remained.
Literature Search According to the Primary Language of Each Database
I screened the articles in a two-stage process (Table 2). In Stage 1, I reviewed the articles by titles, abstracts, and full text. Five inclusion criteria were used sequentially. Articles had to (1) be written in English, German, Portuguese, or Spanish; (2) be available in full text; (3) be focused on history education; (4) be from a K–12 formal education setting; and (5) explicitly mention “imagination.” For instance, I excluded Alcantara (2019) because the article is focused on the history
Inclusion/Exclusion Criteria at Stage 1 and Stage 2
After Stage 1, I noticed that many of the included articles did not provide a definition or a sufficient explanation of the role of imagination in history learning. In Stage 2, I rescreened all articles included in the previous stage to assess their suitability based on an additional inclusion criterion: they explicitly mention imagination with a sufficient explanation of its role in history learning. Those articles excluded in Stage 2 for this new criterion were classified into two groups: articles that mentioned a role of imagination but not in history learning, for example, mentioning whether teachers’ imagination influences historical narratives (e.g., Levisohn, 2010), and articles that mentioned imagination in history learning but lacked sufficient explanation, for example, without detailing any specific role in history learning (e.g., Lima, 2017). Even though these articles were excluded from this review, they provided insights into the use of the term imagination in history education literature. They highlighted other areas where imagination is considered, and more importantly, the 453 articles excluded due to the lack of explanation about the concept gave a semblance of the extent to which publications in the field used this concept in an isolated way without providing further explication about its role or its contribution to history learning. Stage 1 and Stage 2 left a total of 254 articles identified in the first phase (broad search).
In the second phase (extension of the sample), I followed a series of additional steps to locate further articles, as well as books and book chapters, based on the literature collected in the previous phase (Alexander, 2020; Rothstein & Hopewell, 2009; Suri, 2011). Four actions were conducted to extend the sample: referential backtracking, researcher checking, journal scouring, and citation searching. In referential backtracking, I examined the references of salient publications to locate literature that fit my search parameters (e.g., Hughes-Warrington, 2003). In researcher checking, I searched the publication records of key scholars in their university or Google Scholar profiles (e.g., Hilary Cooper, Glória Solé, or Stéphane Lévesque). In journal scouring, I manually searched the contents of journals that regularly appeared in the literature compiled in the first phase (e.g.,
Books and book chapters were considered at this point due to the incomplete coverage of books in various databases searched during the first phase (Rothstein & Hopewell, 2009). In this review, I found it fundamental to collect books and book chapters as many important contributions to history education literature have been disseminated through these sources over the years. This includes landmark publications in the field (e.g., Levstik & Barton, 2005; Metzger & Harris, 2018; Seixas & Morton, 2012; Wineburg, 2001), as well as key publications focused on historical imagination (e.g., Lee, 1984; Schörken, 1994). In order to check whether these publications met the inclusion criteria of mentioning imagination and explaining its role in history learning, I screened books and book chapters with an electronic version using the root “imagin.” Like in the first phase, this procedure helped to locate where the term was used. If electronic versions of books and book chapters were not available, I borrowed the physical copies from my university library. Then, I scanned the books to create digital versions, used Adobe Acrobat Pro’s Optical Character Recognition (OCR) software to convert the scanned images into searchable text, and screened full texts as with the rest of the electronic publications. Therefore, only the articles, books, or book chapters that were accessible via open source or via library or interlibrary loans were included.
This second phase was not considered just a complementary phase. The four additional steps to locate further publications and the inclusion of books and book chapters were found to be essential for conducting this comprehensive review. Ultimately, after completing the two phases of the search plan and applying the inclusion criteria, 484 publications were included in my review for further analysis.
Analytical Approach
Based on my knowledge of the literature and the analyses conducted by other authors (e.g., Hughes-Warrington, 2003; Little, 1989), I expected to find more than one role attributed to historical imagination in history learning in the literature. However, I did not know how many roles I would identify or how I could differentiate between them. Despite the classifications proposed by previous studies, the quantity and diversity of the collected literature prompted me to conduct an inductive analysis. This entailed emergent data coding without attempting to fit it into preexisting codes, which is frequently used in conceptual literature reviews (e.g., Popa, 2022). I began by searching for mentions of imagination in each publication, closely reading these parts, and examining which roles were attributed to historical imagination in each case. I used thematic analysis strategies, which are derived from grounded theory (Corbin & Strauss, 2015), to examine the literature. Specifically, the analysis consisted of coding, comparing for differences and similarities, looking for links between ideas, and constructing descriptive categories to provide themes about the roles of historical imagination. Given the ambiguity and diversity of roles regarding historical imagination in literature, some authors (e.g., Lee, 1984; Schörken, 1994) attributed more than one role to the concept. This is common in similar literature reviews focused on disentangling fuzzy terms (Whitacre et al., 2020). In such cases, I analyzed each role independently and differentiated its respective properties. Furthermore, the role of historical imagination was not always explicitly stated, so an in-depth analysis was often necessary (Alexander, 2020). After this analysis, 11 publications were excluded because the close examination revealed that no clear role of historical imagination could be identified. The final selection of literature consisted of 473 publications (see online Supplemental Material for the complete literature list).
Note that the procedure explained previously is focused on research question 1 (“What roles are attributed to historical imagination in history learning?”). The countries of the authors’ institutions were also coded to trace the origin of the literature. Simultaneously, data were analyzed to address research question 2 (“How are these roles theoretically grounded?”). To conduct this examination, I codified the authors and publications cited (Whitacre et al., 2020) whenever the role of historical imagination was mentioned. Therefore, while developing descriptive categories of the roles of historical imagination, I also identified which salient authors and publications underpinned these ideas.
The analysis of the roles of historical imagination led me to the development of higher-level categories by clustering together similar themes (Saldaña, 2016). Axial coding (Corbin & Strauss, 2015) was used at this stage to reorganize the data set, link categories with subcategories, and reflect on how they were related. I found that the results included 10 categories (Table 3) in which the roles of historical imagination fall broadly: forming mental images (FMI), stimulating thinking (ST), understanding contexts and periods (UCP), empathizing with people from the past (EPP), configuring counterfactuals (CCF), making inferences and suppositions (MIS), thinking creatively (TC), devising possible futures (DPF), considering aesthetics (CA), and using rhetoric (UR). Specific subcategories were identified in some cases. At this stage, descriptions of categories and subcategories were generated to summarize each one. As an example of this analytical process, I coded “restore the point of view of historical figures,” “make sense of historical actions,” and “recognize that past people felt differently to us” in several publications; composed the descriptive category “grasping past thoughts and feelings” using these and other codes; and by comparing and grouping similar descriptions, I developed the category “empathizing with people from the past.” This process, too, was iterative. It involved returning to the examined parts of the publications to refine the categories and sharpen the connections between them. For instance, “making suppositions” and “developing inferences” were initially classified separately. However, after iterating and refining categories, it became clear that suppositions were actually a kind of inference made with imagination, as described in much of the British literature to refer to interpreting and analyzing incomplete historical evidence.
Descriptions and Examples of Categories (Roles) and Subcategories
In a subsequent round, these 10 categories were grouped into five generic actions attributed to imagination in a broad sense: working through the mind’s eye (included FMI and ST), comprehending (UCP, EPP, and CCF), constructing (MIS), creating (TC and DPF), and perceiving-expressing (CA and UR). This was the last level of abstraction generated with the data, but it resulted in being too general. These actions were so generic that the sensitizing aspect of the results was lost (Saldaña, 2016). Although this classification helped frame the roles of historical imagination in history learning in the general framework of generic actions made with the imagination (Harris, 2000; Passmore, 1980), which can be useful for researchers in other fields (Fleer, 2019; Irakleous et al., 2022), it was not adequate to answer my research questions. Therefore, results are presented and discussed according to the previously mentioned 10 categories and their subcategories.
Results
My systematic literature review revealed 10 roles attributed to historical imagination in history learning. In this section, I provide a summary of each role (including categories and subcategories), explain their theoretical grounding and connections with other roles, discuss their prevalence and contributions, and elaborate on the descriptive categories by citing representative publications. The publications used contained characteristic descriptions of each role, but many of them mentioned more than one role, resulting in overlapping roles because they are not mutually exclusive. I must caution the reader that, in literature, historical imagination is not always said to fulfill a role in itself but rather to contribute to it. I will note this when needed. I acknowledge that, like similar literature reviews focused on concepts (Whitacre et al., 2020), conducting this synthesis involved dislocating the descriptions from their context and how they relate to other dimensions of history education, such as the aims of history education. This is significant since some roles of historical imagination can serve contrasting purposes, such as developing historical consciousness or constructing and reinforcing master narratives. My intention, however, was to identify the roles of historical imagination and to understand the theoretical principles underpinning these roles, providing a new classification beyond the level of description within individual publications.
Forming Mental Images
The first role identified was the formation of mental images or representations, which is a common definition of imagination (Passmore, 1980). It refers to historical imagination as the ability to produce mental representations of past situations, figures, settings, etc., from a specific historical period. This idea underlines the obvious connections between imagination and images, resembling what some authors have termed “visualization in history” (e.g., de Leur et al., 2020; Prangsma et al., 2009). Literature mentioning this role tended to scarcely elaborate on what it involves beyond mental representation (e.g., Graff, 1999). Additionally, the lack of citations to provide theoretical support for this idea, along with its alignment with the general definition of the concept, suggested that this role is based on a common belief about using imagination.
However, while some publications provided limited information on this role, many others explored additional aspects and connected it to other roles. In this regard, publications that delved deeper into historical imagination often considered the production of mental images as one of its most basic roles, linking it to more complex processes (e.g., Fines, 2002; Lee, 1978; Schörken, 1994). This was the case of Schörken (1994), who assigned a wide range of roles to historical imagination when studying the past. Among these roles, mental representation held a fundamental and global position. For instance, this author elaborated on the formation of mental images while receiving historical narratives (i.e., during reading or listening), but went beyond the inner representation of narratives through descriptive language and related this activity to being “drawn into a second reality” (Schörken, 1994, p. 61), which is similar to W. Iser’s ideas on imagination in
Following these proposals, Pflüger (2012) connected historical imagination not only to the mental representation of concrete elements of the past but also to abstract ones, such as concepts. These creations constitute a step forward, as imagination has commonly been related to the representation of concrete realities (Harris, 2000; Passmore, 1980). Furthermore, several publications provided variations of this role of historical imagination, incorporating it into various activities, like the development of situation models or cognitive representations of situations and events (Lévesque, 2008; Wineburg, 1994), or the development of historical empathy (de Leur et al., 2017; Dixit & Mohanty, 2009; Puteh et al., 2010). Some of these will be examined later.
Stimulating Thinking
A frequently mentioned role referred to historical imagination as a faculty that stimulates thinking through certain teaching strategies or educational resources, like storytelling tasks (Cooper, 2007), historical dramatizations and role-plays (Fines, 2002), or visual resources (Lo et al., 2009). Publications categorized within this role elaborated on these teaching strategies or educational resources to generate an enriched imagination. This kind of stimulus is considered necessary because thinking remains unstimulated and inactive without it. These publications tended to assume that children have innate imaginative capacities, but they frequently failed to explain these capacities or explore the factors involved. Thus, they mentioned salient features of children’s thinking and behavior, such as curiosity, motivation, wondering about ordinary things, interest in playful-artistic activities, or preference for visual media over written media, but did not incorporate complex explanations connecting these features with imagination.
Expanding the mental repository
The subcategory identified as part of this role consisted of broadening students’ mental repository of impressions (i.e., stimuli captured with sensory perception) about the past in order to stimulate their thinking. From this perspective, using historical imagination involves capturing stimuli for storage, with the brain viewed as a box that holds a set of images that students can then draw from (Harris, 2000). It is closely related to the formation of mental images discussed earlier but with a substantial difference in that the emphasis here is on the impression-gathering role of historical imagination (e.g., Little, 1989). To develop historical imagination, students need to be exposed to narratives, descriptions, illustrations, and other powerful textual and visual representations that enrich their mental repository, thus acquiring a vibrant imagination to think lively.
This idea is connected to broadening the child’s horizon of experience (Dewey, 1916), although citations supporting this notion were scarce. The idea is based on the empiricist assumption that children can only imagine when they have a “large number of vivid images” in their minds (Passmore, 1980, p. 147) and has its origin in Hume’s essays about imagining through impressions or phantasmal sensations of elements previously perceived with the senses (Harris, 2000). Therefore, the greater the register of impressions, the better the imaginative capacities. At the same time, this is linked to the progressive educational principle
This role of historical imagination was explicitly mentioned by Elton (1969), who argued that the study of the past contributes to the human mind by grasping visual resources with imagination. He claimed that this is especially true when exploring ancient societies because those are most different from our own and can provide contrasting impressions that enrich students’ knowledge of human existence. These ideas were also supported by researchers in history education who followed Piagetian principles, such as Hallam (1969), who included this role of historical imagination in the framework of children’s developmental stages for history learning. Other scholars expanded on these ideas by advocating for the use of imagination to broaden the range of known situations and possibilities (Lee, 1984) or to increase the narrative devices available to learners (Schörken, 1994).
Understanding Contexts and Periods
This role encompassed four subcategories that referred to how historical imagination is crucial in shaping different kinds of understanding. Specifically, the subcategories pointed to the comprehension of specific situations and the key factors that might help understand particular epochs. These included understanding the distinctive features that help comprehend a particular era, understanding situations experienced in a given context by entering it through imagination, considering realities in which historical traces were generated, and developing a deeper understanding by drawing analogies about historical processes or events.
Considering the historical thinking concepts, this role overlapped in certain points with the ability of contextualization, which involves situating historical phenomena in a temporal, spatial, and social context (Bartelds et al., 2020). Consequently, this role included some notions that are typically classified under contextualization, as well as other related activities that require attending to historical context, such as formulating analogies.
Capturing the sense of the period
The first subcategory referred to using imagination to understand the nature or distinctive features of a particular period. The concept “sense of the period” is frequently used to highlight contextualization in history education (Huijgen & Holthuis, 2014), and it involves understanding the world in which the people from the past lived, considering their living conditions, as well as their knowledge, values, and beliefs.
Various publications suggested that historical imagination underlies these processes of historical understanding because it allows us to grasp the reality of the past by bringing to life and giving meaning to items such as tools, clothing, or means of transportation. These items are not just a list of typical things of the period; instead, they represent the reality of that time when viewed through the lens of imagination (Vass, 2004). Thus, from this point of view, historical imagination constitutes a mechanism to go beyond historical data and information, a mental faculty that enables learners to transcend facts and recreate various dimensions—such as the social and political environment—of historical contexts (Cuesta, 2008; Seng & Wei, 2010). This fosters a global understanding of each era, considering the complexity and diversity of societies through available historical sources.
Regarding the theoretical basis of these ideas, using imagination to achieve this kind of understanding represented one of the several interpretations extracted from Collingwood’s
Immersing into the past
The next subcategory pointing to how imagination contributes to historical understanding was found in the publications of authors who suggested that immersing oneself into a particular period or event using imagination can lead to a better understanding of it. This idea of being fully engaged in a historical event appeared in Burston and Green’s (1962) early texts, where these scholars drew on Oakeshott’s (1933) concept of the “practical past.” This concept emphasizes the importance of isolating the present in historical research in order to avoid interferences and to explain events “as they really happened,” so Burston and Green adapted this process to history learning by making students aware of this kind of presentism.
From a different perspective, Levstik and Barton (2005) suggested a similar formulation based on the concept of “imaginative entry,” which is associated with tasks where students immerse themselves in the past. When students engage in these activities, they use imagination to immerse themselves in a historical period or event to speculate on historical figures’ motives, values, and choices. This helps them to develop well-grounded narratives (Cunningham, 2007; Peñalba et al., 2020) by imagining the perspective held by those figures, which is close to historical empathy. These ideas regarding historical imagination were frequently derived from Collingwood’s proposals and the interpretations made by history education scholars, as well as other scattered references.
In addition, this subcategory also included publications that mentioned imaginative play (also called “as if” play) in which young children pretend to be in different past scenarios and act as people from the past were supposed to. Cooper (2007) and Dixit and Mohanty (2009) explained that this kind of play allows children to immerse themselves in other time periods and perceive these historical realities in a meaningful way.
Reflecting on the origins of historical traces
Reflecting on the circumstances that led to the creation of historical traces is an activity that, in some cases, was attributed to historical imagination. This third subcategory contained works that stated that historical imagination helps consider the situations and factors that affected the creation of historical traces. Therefore, using it to imagine these historical contexts and factors can lead to understanding various dimensions (social and cultural environment, material conditions, attitudes, etc.) of each period.
Most authors referred to Paul Ricoeur’s
Following these principles, Schörken (1994) and Salazar-Sotelo (2006) argued that when students analyze an archaic object or written source, they must interpret it within the imaginative representation of its life context to gain better insight. Veit (1996) noted that in these imaginative processes, the traces are loaded with meanings that may be different from those of their creators or the people who used them. This idea warns against making presentist judgments with imagination that hinder the understanding of past mentalities. However, not all authors referred to Ricoeur’s work as the theoretical foundation; some authors based similar claims on Collingwood instead (e.g., Cooper, 2007; Little, 1983).
Formulating analogies
The last subcategory of this role of historical imagination referred to drawing historical comparisons that help explain past processes or events. In this case, gaining enough knowledge was considered essential to be able to formulate these analogies between two or more past or present situations. This type of comparison provides a new understanding of processes or events, leading some authors to argue that these analogies are related or created through historical imagination. For instance, Fines (2002) linked analogical thinking with historical imagination. This conjunction allows historical events to be explained by making comparisons between them. Fillpot (2012) went beyond and argued that the formulation of analogies is an act of imagination that helps compare and contextualize historical scenarios. In her study of third graders’ historical thinking, she expanded Wineburg’s (1991) categories for analyzing historical documents and included the generation of analogies with historical imagination to explain how two different elements are conceptually related and alike.
Empathizing With People From the Past
A significant body of literature referred to historical imagination as a factor contributing to the development of historical empathy, while some authors argued that its role is precisely to empathize with people from the past. This category is strongly related to the previous role of historical imagination because empathizing with people from the past is frequently aimed at gaining understanding. However, the literature included in this category did not primarily focus on understanding contexts and periods but rather on understanding individuals. Afterward, this comprehension can be aimed at other dimensions of historical understanding—like cultural, political, or economic characteristics of a particular time period—but its distinctive feature is that it is concerned, in the first place, with comprehending specific persons.
This category was found to be intertwined with the concept of historical empathy, which is often defined as the understanding of people who lived in the past, as well as how they thought, felt, made decisions, and acted (Endacott, 2014). Throughout certain periods, historical empathy has been a frequent research topic in history education (Retz, 2018), and recently, there has been a substantial increase of studies about it (e.g., Bartelds et al., 2020; Carril-Merino et al., 2018; Gilbert, 2019; San-Martín-Zapatero & Ortega-Sánchez, 2020). Many conceptualizations of historical imagination and historical empathy are closely related. In many studies, both concepts shared the same theoretical foundations, even with overlapping definitions. Additionally, researchers often discussed how the development of one can lead students to the other, and a connection was made between imagining people from a certain period and empathizing with them. This conceptual proximity and the great number of studies about historical empathy help explain why mentions of this role of historical imagination are among the most common.
Numerous scholars cited the works of Cooper (1992), Lee (1984), and Lévesque (2008) as the theoretical foundations of this role of historical imagination, which in turn based their proposals on Collingwood’s theories. A series of ideas developed by the English philosopher has had a significant impact on history education (Hughes-Warrington, 2003), such as the dictum “all history is the history of thought” (Collingwood, 1946, p. 317). This idea indicates the need to “re-think” the thoughts of historical figures and mentally “re-enact” their actions in order to understand their mindset and the decisions they made. Several history education researchers interpreted these ideas and argued that students conducting these mental processes were empathizing with people from the past, even though Collingwood never used the term “empathy” (Retz, 2017; van der Dussen, 2013).
In the early discussions about this role, the term “imaginative reconstruction” was used to describe the restoration of the perspective of others in order to understand the past. This process involves capturing the thoughts, feelings, and motivations of individuals through students’ imagination (Gosden & Sylvester, 1968). Over time, these kinds of activities were more frequently referred to as “empathy” or “historical empathy” (Retz, 2018), but the connections with historical imagination remained. For instance, during the discussions about whether to include historical empathy in the English curriculum (Hughes-Warrington, 2003), Low-Beer (1989) suggested that the concept of historical imagination should be used instead of historical empathy to describe this type of comprehension because historical imagination had a broader meaning and more literature was available on this concept at the time.
Further research suggested different connections between the two concepts in students’ learning. These studies also assumed that a shared humanity allows individuals to grasp others’ motivations and perspectives across historical contexts (Retz, 2018), so imagination may entail envisioning someone who thinks differently. Little’s (1983, 1989) classification of the roles of historical imagination proposed that empathy is a type of imagination, and other authors argued that historical imagination is what enables empathizing with people from the past (Cunningham, 2009). In his early publications on history education, Lee (1984) offered a different perspective. He explained that empathy as an achievement is part of historical understanding and that imagination is a comprehensive ability to make suppositions, which is criterial for that understanding. Building on some of these ideas, Cooper (1992, 2007) proposed a model that directly connects the use of historical imagination to achieving historical empathy. In her model, historical imagination is the capacity to make valid suppositions based on historical evidence. This process acknowledges that people in the past thought and felt differently from us, and when historically valid suppositions are made, they can lead to historical empathy. Other authors, such as Lévesque (2008), pointed out that historical imagination is necessary for prompting historical empathy because it enables the contextualization of historical situations. Conversely, Santisteban (2010) changed the order of these factors, arguing that historical imagination is a disposition to make sense of historical actions and evidence through empathy and contextualization.
From a different approach, Levstik (2001) introduced the use of imagination in perspective taking, which allows the recognition of the sociocultural and political influences that shape human behavior and the understanding of why people in the past acted as they did and not simply how they did. This idea is related to the previous subcategory on using imagination to immerse oneself in the past, but it is oriented toward comprehending individuals’ behavior and actions. Specifically, this requires an imaginative leap to place oneself in the position of others, which involves knowing what an individual or group believed, valued, felt, or intended to do (de Leur et al., 2017; Dilek, 2010; Lévesque, 2008).
This set of literature revealed a contrasting level of explanation of what is involved in using imagination to empathize in history learning. While most publications explored historical contexts and acknowledged how people from different eras thought differently, others overlooked these crucial ideas. Some mentioned that imagination helps in “putting oneself in someone else’s shoes,” ignoring what a false sense of empathy might entail.
Configuring Counterfactuals
According to history education literature, another role played by historical imagination is the configuration of counterfactuals. Authors attributing this role to historical imagination argued that it is the ability to shape plausible alternative scenarios to historical events—that is, scenarios other than those that took place in the past. The purpose of this kind of activity is to form better historical explanations (Lee, 1984; Little, 1983; Vass, 2004), primarily about the causes and consequences of processes and events. In this vein, Fines (2002) argued that this role of imagination is presumed because such activities are common in children’s play, and Stouraitis (2016) connected it with theories about creative learning and possibility thinking. This role was linked to the role of devising futures that will be explored later, emphasizing how thinking about what might have happened in the past can lead to imagining future scenarios (Santisteban, 2010; Triviño-Cabrera, 2019).
However, certain authors criticized this particular role. Lamont (1972) argued that using students’ historical imagination to generate counterfactuals is a trivial, ornamental, and non-functional role. Instead, he advocated aiming it to a more useful task: the imaginative understanding of the thoughts of people from the past.
Regarding the theoretical grounding of this role, discussions about “virtual history” (Ferguson, 1999)—or “what if” situations in history—sometimes point out that the development of alternative scenarios is carried out through imagination (Prost, 2001). However, history education researchers did not only explain this role using the works of historians such as Trevor-Roper (1958) or Ferguson (1999), but they also drew on Craft’s (2013) theories about children’s creative thinking.
Making Inferences and Suppositions
Several publications described historical imagination as the ability to make inferences and suppositions about the past. Together with empathizing with people from the past, the present role was one of the most common in literature. Authors describing this role of historical imagination referred to the specific constructive actions involved in making informed guesses when there are not enough historical sources available. In addition to the number of publications explaining that historical imagination serves to make these kinds of inferences and suppositions, there were other ideas that can be framed into two subcategories: the establishment of links and connections to provide historical explanations, and the development of conjectures and hypothetical explanations that help explain past situations. Overall, both this category and its subcategories involve making constructive actions with imagination when analyzing historical evidence.
The great number of publications that conceived historical imagination in this way can be largely attributed to Collingwood’s (1946, 1999) influence, particularly his developments about the “a priori imagination” in historical research. To provide theoretical support for this role, most authors cited the works of Collingwood, along with the interpretations of his ideas by other historians (Kitson-Clark, 1967; Trevor-Roper, 1958), or the adaptations proposed by history education researchers (Cooper, 1992; Fines, 2002; Lee, 1984; Rogers, 1972) to turn these historiographical theorizations into teaching practices intended for students. These tasks were designed to help children emulate historians’ methods for gaining a genuine historical understanding (Hughes-Warrington, 2003; Retz, 2018). Specifically, the adaptation of these processes into learning tasks involved designing activities where students must confront historical traces and use historical imagination to make inferences that
The need to use historical imagination in these tasks is explained by the fact that past traces are incomplete. This requires making controlled and critiqued inferences based on available information about the past (Rogers, 1972). Therefore, the disciplined use of imagination in the analysis of evidence represents a basic exercise in students’ construction of historical knowledge (Barton, 2008; Cooper, 2018; Cunningham, 2009; Dilek, 2010; König & Bernsen, 2014; Percival, 2020; VanSledright, 1997, 2002b, 2002a). In fact, a commonplace in these publications is to caution that “historical imagination must be tied to evidence,” often presenting this as the only guarantee of rigor. In some publications, authors incorporated Collingwood’s (1946) idea of forming a “web of imaginative construction”—i.e., forming a picture of what happened in the past by connecting evidence and inferences. For instance, Booth (1994) considered these processes to be equivalent to abductive thinking in learning tasks where students produce historical explanations.
Furthermore, a series of publications used the term “supposition” instead of “inference” to refer to this role played by historical imagination. Specifically, this literature often focused on making inferences to understand the thoughts and actions of historical figures. As an example, Lee (1984) argued that historical imagination plays a crucial role in helping students form suppositions based on evidence about the actions, views, aims, and beliefs of people from the past. This, in turn, enables students to comprehend and make sense of the thoughts and behaviors of historical figures. Therefore, when students create accurate suppositions, it is possible to assess their understanding and encourage them “to cash” the knowledge they have (Cooper, 1992, 2007; Dickinson & Lee, 1984).
Establishing links and connections
This subcategory included literature in which historical imagination is described as the ability to establish links and connections between historical evidence. This process consists of relating historical pieces of evidence or historical facts to provide explanations, and it also derives from Collingwood’s (1946, 1999) theorizations. Additionally, this role of historical imagination found important support in other concepts, such as “colligation.” Walsh (1960) popularized this concept for the philosophy of history to refer to processes in which facts are selected for their importance and for the links—or concatenations—that can be traced between them. This reveals their intrinsic relationships and, thus, helps to generate explanations of historical events. History education researchers like Fines (2002), Lee (1984), and Rogers (1972) noted that when students use historical imagination, they make these connections and develop informed explanations of how events took place in the past.
Developing conjectures and hypothetical explanations
A series of publications conceived historical imagination as the ability to form conjectures and hypotheses that explain historical events. Frequently, these publications emphasized the tentative character of historical knowledge, its limitations, or the coexistence of multiple valid interpretations of the same event. Considering these features of historical knowledge is essential because when students form speculations that help explain historical situations, they should be encouraged to maintain plausibility and veracity standards, as well as consistency with available historical traces. All these proposals were made from the more interpretive approaches to history learning, which emphasize that students must play an active role in the construction of historical knowledge. Nonetheless, some authors made similar claims from different approaches. From a Piagetian perspective, Peel (1967) suggested that using historical imagination allows for the formulation of a range of plausible explanations that link historical data and prior knowledge.
From a different perspective, Husbands (1996) proposed that students must develop divergent understanding, which is based on the formulation of historical questions that can lead to different answers. These historical questions are formulated through imaginative thinking, hypothesizing, and problem-solving skills, leading to adequate predictions, inferences, and reconstructions. Similarly, Vass (2004) argued that historical imagination enables students to speculate about the possible uses of historical artefacts, and Holt (1990) and Salazar-Sotelo (2006) claimed that it is useful to make speculations, hunches, or informed hypotheses that make sense of the past.
Thinking Creatively
Categorizing a role of historical imagination focused on creative thinking was found to be confusing due to the various other roles described as creative. As stated previously, overlaps were frequent in this analysis. For example, making inferences or suppositions about historical evidence was also considered a creative process that involves a leap of thought that requires creative thinking (Cooper, 2007, 2018).
However, this role does not merely refer to activities performed “with imagination”—that is, that are performed originally, innovatively, or with novelty. It refers to activities that genuinely constitute creative actions because, regardless of their originality, they involve going beyond the available knowledge of the past. For instance, J. Clark and Nye (2017) argued that interpretations performed with historical imagination allow for individual creativity in generating narratives that put new meaning on the past by incorporating students’ perceptions and emotions. Additionally, Salazar-Sotelo (2006) highlighted that, when studying the Mexican Revolution, students’ imagination allows them to use creativity to sophisticate their conceptual framework, which includes reconceptualizing and realizing that historical figures are not simply categorized as good or bad.
Adopting a new point of view
The subcategory identified inside this role of historical imagination pointed to the adoption of a new point of view—that is, to see things in a different way or from a perspective not previously taken. In his study about imagination in education, Passmore (1980) explained that this is one of the most common attributions to creative thinking: seeing something in a new way or giving it a new purpose.
Regarding the publications that referred to this idea, Cooper (2018) claimed that students show this type of creativity by using their imagination to discuss the purpose of historical artifacts. Lee (1984) argued that historical imagination as supposition involves seeing what is already known in a different light, from a different perspective. Similarly, Fines (1977) contended that historical imagination should not be conceived only as the formation of mental images, but as a creative act for the constant “re-visioning” of the past: If it were only a matter of pictures we could get the picture right and then just look at it; but we all know that is impossible, and the exercise of history is one of constant re-vision. The itch to “set the picture to rights”, to get a fresh view, from under, or over, or just from the other side is a distinctive mark of the historical imagination. (p. 26)
Therefore, this “fresh view” is typical of historical imagination. It entails trying to study events in a new light, revealing new ways of seeing them without distorting their essence, and thus assigning them new meanings that are equally valid as those of previous perspectives. In these publications, the theoretical grounding of this notion often stemmed from Kitson-Clark’s (1967) idea of recurrently reconstructing the past to see the big picture as a whole.
Devising possible futures
Another role attributed to historical imagination in history education literature involves formulating possible futures based on the study of history. These ideas were often linked to futures studies in history, and the authors tended to cite the work of Staley (2002) to support these claims. Despite the interesting studies produced on this topic, they still do not represent a consolidated line of research in history education.
In his essay about the ethical dimension and historical agency, Den Heyer (2011) advocated for transforming the way historical facts and present possibilities for action are conceived when learning about the past. He suggested that students must use their historical imagination not only to examine the past but also to develop critical and historical reasoning in shaping future scenarios. Following the same principles, Santisteban (2010), Seng and Wei (2010), and Triviño-Cabrera (2019) connected the configuration of counterfactuals with conceiving possible futures. Historical imagination is crucial in these proposals because it allows historical thinking to “thus become an essential instrument of democratic education, since the consideration of the past as a possibility that was, allows us to think of the future as various possibilities that could be” (Santisteban, 2010, p. 49) and to propose solutions for social change (Triviño-Cabrera, 2019).
Considering aesthetics
This role included a few publications that explored historical imagination as a faculty connected to the aesthetic dimension of history learning. The discussion of imagination in relation to aesthetics often drew upon a rich philosophical tradition that has long explored its role in the appreciation of beauty and art (Harris, 2000). In the context of history education, some publications briefly mentioned this connection due to the relationship between imagination and images, while others provided more detailed explanations about how students can reflect on the aesthetic qualities of the representations of the past.
In this second group, Schörken (1994) and Borries (1996, 2019) questioned the frequent characterization of historical consciousness as a purely cognitive phenomenon because it neglects its aesthetic and emotional dimensions. Both authors highlighted the aesthetic mechanisms affecting imagination in the processes of receiving history, such as those activated by reading historical fiction or historical novels (Borries, 1996) or their emotional effects to evoke, control, or enhance the joy of imagination (Borries, 2019). Den Heyer and Fidyk (2007) connected this role of historical imagination with historical agency, and Erickson (1979) elaborated on the consistency between students’ aesthetic judgments conducted with imagination and available historical evidence. Additionally, in Barsch’s (2012) study, the author analyzed the aesthetic elements of historical imagination in students with learning disabilities.
Moreover, Sawyer and Laguardia (2010) argued that historical imagination plays a central role in historical thinking because it allows events to be perceived within an expanded worldview. Thus, art history helps students to analyze forms of representations beyond traditional historical sources (e.g., written documents). This enables students to explore the internal perspectives of events, examining aesthetic aspects of historical representations that facilitate the achievement of a more humanizing knowledge.
Authors often cited Collingwood’s
Using Rhetoric
Finally, the last role of historical imagination referred to processes of historical representation, specifically the reading or writing of narratives. This rhetorical role involves the effective employment of the linguistic features of historical narratives. However, two approaches were distinguished in the literature. The first one, which was the most common, described historical imagination as the ability to make historical narratives more vivid. The second approach, often linked with postmodern ideas and with little impact on history education, echoed White’s (1973) theories: historical imagination as a tool for applying linguistic conventions that prefigure the past.
The first approach’s main feature involves using historical imagination to develop engaging historical narratives or narratives that have an impact on the reader (J. Clark & Nye, 2017; Cuesta, 2008; König & Bernsen, 2014; Little, 1983, 1989). Many of these publications were focused on reading rather than writing activities. This was probably due to the fact that using historical imagination in this way does not only involve historical understanding and complex discursive mechanisms but also sophisticated communicative skills. Therefore, considering students’ abilities, they were frequently seen as readers rather than writers of historical narratives.
As stated previously, Schörken (1994) attributed to historical imagination the role of forming mental images through reading, and Lee (1984) highlighted that when students “cash in” historical narratives’ content, they are able to consider the human implications of the narrated events. Additionally, Schörken (1994) and Salazar-Sotelo (2006) argued about the role of historical imagination in plot creation. Taking the second approach and drawing on postmodern ideas, Pflüger (2012) noted that students can appropriate and apply already-known narrative patterns to past events through historical imagination.
Regarding the theoretical basis of this role, the authors cited diverse contributions. For instance, a few authors followed the literary theorizations of Iser (1974) to argue that reading leads to entering into the second reality of narratives and that language is the main tool to activate imagination. Others relied on Ryle’s (1982) analytical philosophy to highlight other roles of imagination in reading, such as the importance of following what is happening in a historical account to understand the moral background of the narrative. Lastly, some authors drew on Egan’s (1997) theories of imagination and Bruner’s (1986) proposals on narrative thinking to explain how students interpret historical narratives.
Discussion
Expanding and Clarifying the Roles of Historical Imagination
This review is indebted to the authors who noted that there was a lack of clarity surrounding historical imagination (e.g., Cunningham, 2009; Endacott & Brooks, 2018; Lévesque, 2008; Retz, 2015) and especially to those who pointed out that this concept played different roles in history learning. Little’s (1989) and Hughes-Warrington’s (2003) classifications distinguished several roles of historical imagination, like making inferences based on historical evidence or understanding past events. My study goes a step further by conducting a systematic literature review that identifies 10 roles of historical imagination in history learning, as well as the theoretical grounding of these roles. This benefits both researchers and practitioners by highlighting a series of roles and providing examples (Table 3) of their implementation in the classroom.
Notably, the present study detected more roles compared to the previous classifications. There are some reasons that help explain this: Little’s (1989) and Hughes-Warrington’s (2003) classifications were carried out using historical research methods, whereas a systematic literature review was conducted in the present study; their classifications only considered literature written in English, whereas this study also included LOTE; and their classifications addressed literature published during the emergence of history education as a research field (Erdmann & Hasberg, 2011), whereas the present study encompassed literature both in the field’s emergence and in its subsequent consolidation over the last 20 years (Rodríguez-Medina et al., 2020). Therefore, the broader scope of this study resulted in the identification of roles not covered by previous classifications. One such role was the historical imagination as a faculty connected to the aesthetic dimension of history learning, which has been a topic of discussion and theoretical development in German history didactics. Similarly, the role of historical imagination in devising possible futures based on historical knowledge was not considered in previous classifications, but now it emerges as a relevant subject due to the greater attention paid to students’ ideas about the future (Nordgren, 2021; Ortega-Sánchez et al., 2024).
Furthermore, the classifications proposed by Little (1989) and Hughes-Warrington (2003) did not have a significant impact on the field, as evidenced by the low number of citations they received. In this vein, there was no apparent change in how authors referred to historical imagination after the publication of these classifications. Consequently, the lack of attention to these publications may have influenced history education researchers to continue vaguely referring to historical imagination, contributing to a widespread ambiguity about its roles. This situation contrasts with disciplines such as sociology, where the notion of the “sociological imagination” (Mills, 1959) has been firmly established as a conceptual bridge between personal experience and broader social structures and historical processes. Its durability over decades of scholarship illustrates how a concept with similar resonances to historical imagination can anchor sustained theoretical development and empirical inquiry.
A significant outcome concerning the variety of roles detected is that they encompass processes such as understanding, reflecting, and considering different aspects of historical events. These processes point to conceptions that transcend the conventional view of imagination as merely the formation of mental pictures or ideas. This suggests that scholars have progressively broadened the ways imagination contributes to learning. The implications of this finding are significant not only for history education research but also have potential relevance for other domain-specific fields such as science and mathematics education. In these fields, future reviews could examine how imagination is conceived to operate in contexts shaped by distinct epistemic frameworks, while also connecting these inquiries to ongoing research agendas on scientific creativity (Wang et al., 2015).
In the present study, a methodological complication faced during the analysis of the literature was that many publications lacked an explanation of the role played by historical imagination, and some explained it so poorly that it could not be figured out. This lack of explanation coexisted with the fact that historical imagination did not hold a significant position in most historical thinking models and theorizations disseminated over the last decades (Körber, 2015; Lee & Ashby, 2000; Seixas & Morton, 2012; van Boxtel & van Drie, 2018). These models enhanced research and discussions about other concepts, leading to a better understanding of how students approach historical knowledge. While related concepts and categories like historical empathy or perspective-taking were included, historical imagination was not one of them. It is difficult to know if the ambiguity surrounding historical imagination is a cause or a consequence of not being included in these models, but it is reasonable to expect that there may be a connection between these circumstances.
The roles of historical imagination found in the literature provided glimpses into various sociopolitical purposes that concepts can fulfill in history education. Different approaches can lead historical imagination to serve different aims, potentially influencing the kind of citizenship promoted through educational practices (Santiago & Dozono, 2022). For instance, roles such as making inferences or configuring counterfactuals tended to serve very distinct purposes. Inferences used to be aimed at analyzing historical evidence and understanding how historical knowledge is built (Cooper, 2018; Lee, 1984; Nokes, 2014), whereas configuring counterfactuals that highlight current social problems encourages students’ agency to take action (Santisteban, 2010; Triviño-Cabrera, 2019). These discrepancies serve as a strong reminder not to overlook the aims of history education in further research, even when there is a conceptual focus, as such studies often give the illusion of being neutral or apolitical. In this vein, researchers should endeavor to use a self-reflexive approach to question how their concept-centered research reflects different purposes and “point out power dynamics in their scholarship” (Santiago & Dozono, 2022, p. 184).
Overall, the literature highlighted that there is a wide range of roles attributed to historical imagination in history learning. However, there were substantial differences in the number of publications mentioning each role, as well as in the level of explanation typically provided for each one. Although this review did not aim to determine the frequency of the roles in the literature, estimating their usage can offer valuable insights (Alexander, 2020). This review showed that roles like stimulating thinking or configuring counterfactuals were scarcely mentioned, whereas roles like empathizing with people from the past or making inferences were found in many publications. This seemed to impact the level of explanation provided for these roles because the less-mentioned ones were often described without much detail, while the more-mentioned ones used to have nuanced explanations of how they operate. No specific pattern of origin was identified for the less clarified roles. However, the higher prevalence and greater level of explanation of certain roles may be attributed to the centrality of the most frequently mentioned ones in certain national traditions of history education research. From the 1970s to the late 1990s, British history education, which was established earlier than in other regions (Erdmann & Hasberg, 2011; Lee, 2014; Plá & Pagès, 2014), extensively addressed the connections between historical imagination and historical empathy, as well as the role of historical imagination in making inferences (Hughes-Warrington, 2003; Retz, 2018). The current review identified this proliferation of British literature and the subsequent transfer of the elaborations on these two roles to other contexts, including Australia, the United States, Brazil, Mexico, Chile, Portugal, Spain, and Turkey. In addition to the aesthetic role in German didactics mentioned previously, a slight trend was noted in Germany and Argentina that considered using rhetoric as a role of historical imagination.
An interesting finding from the analysis was the limited references to emotions or affect, which are inherent to history learning (Endacott, 2014; Zembylas & Loukaidis, 2021) and were expected to be more prevalent when exploring historical imagination. The literature selection criteria probably influenced this outcome, as many publications linking imagination and emotions were excluded due to their insufficient explanation of the role. For example, statements such as “imagination is shaped by emotions” or “feelings are part of the imaginative reconstruction of the past” appeared in several texts, yet without further clarification of this connection or its implications for learning. Therefore, scholars may be presuming an implicit link between imagination and emotions that does not require explicit explanation or elaboration. This lack of depth is common in the treatment of concepts perceived as subjective, such as emotion, affect, or feeling (Sheppard et al., 2015), which ultimately hinders our understanding of key factors that help explain individuals’ reactions to the past (Garrett, 2025).
The literature that was included showed that emotional dimensions emerged subtly in roles focused on empathy, aesthetics, creativity, and rhetoric. This does not mean that emotions were entirely absent in the other roles, but that these roles tended to emphasize the cognitive aspects of learning. Overall, this finding is significant as it indicates that scholars tend to frame imagination as a skill that students must acquire, while overlooking aspects such as the joy of imagination and its emotional resonance, thereby diminishing the value of experiential enjoyment and curiosity in exploring the past (Borries, 1996; Schörken, 1994).
Another significant finding was the low emphasis placed on retaining historical knowledge, as the most closely related role was the expansion of the mental repository of images (e.g., Little, 1989). Occasional references appeared in some publications addressing how powerful historical content impacts students’ imagination and becomes imprinted on their memories (e.g., Retz, 2012). However, beyond this, no consistent pattern was identified. It seems reasonable to conjecture that this outcome stems both from the centrality of procedural concepts in the field, which do not prioritize retention (Gómez-Carrasco et al., 2019; Rodríguez-Medina et al., 2020), and from the widely shared view—just discussed—that historical imagination is understood as a skill to be acquired. It was also significant to detect the exclusive importance of sight and visual imagination in literature while setting aside, for example, the historical imagination of blind students.
The analysis revealed that literature tended not to delve into the negative aspects or problems arising from historical imagination. This is reasonable since the selected publications addressed some role of the concept in learning and emphasized its contributions. In this context, a common caution was to briefly distinguish historical imagination from free imagination or fantasy. References to dangers such as presentism—commonly defined in the field as the error of imposing present standards upon the past (Miles & Gibson, 2022)—were often mentioned not in relation to the concept itself but as a general risk in history learning.
Historiographical and philosophical roots of historical imagination
The second research question of this review was focused on the theoretical grounding of each role of historical imagination. Again, a significant influence of British literature and its frames of reference was detected. The clearest example of this was the adaptation of R. G. Collingwood’s theories about historical research to history education. Besides popularizing the concept of historical imagination, this author proposed ideas like “re-enacting” the thoughts of historical figures to understand their actions or using “a priori imagination” to make informed guesses about historical evidence. These ideas were adopted by various history education researchers (e.g., Cooper, 1992; Fines, 2002; Lee, 1984; Lévesque, 2008; Rogers, 1972) and underpinned different roles of historical imagination, like empathizing with people from the past or making inferences.
As stated previously, it was interesting to explore how theoretical grounding is connected to sociopolitical and educational purposes. For example, the ideas of Elton (1969), who advocated for a closed and objective view of historical knowledge, sometimes underpinned the role of expanding the mental repository of images of the past. This role relied on historians’ accounts without allowing examination or questioning; it primarily involved acquiring, retaining, and visualizing knowledge developed by experts. Contrastingly, Collingwood (1946) emphasized that historical research should focus on the rational interpretation of evidence to make inferences, allowing for rethinking the thoughts of specific individuals. This was usually approached from a procedural or competency-based perspective of learning that aimed to provide insight into how this kind of historical knowledge is built. Finally, perspectives such as Staley’s (2002) on devising futures through studying past events highlighted the coexistence of multiple historical interpretations. This often involved using different perspectives on the same historical phenomenon to question present and future unequal power relationships. Overall, these examples not only reflect different roles attributed to historical imagination and various purposes of history learning but also present differing visions of the nature of historical knowledge and what it means to learn history.
A significant outcome provided by this review was that most theoretical grounding of the roles of historical imagination in history learning originated from historiography and the philosophy of history. In contrast, theories about imagination in students’ learning stemming from the philosophy of education and educational psychology were seldom cited, with only a few references to Bruner (1986) and Egan (1997). In this context, the prevalence of Collingwood and a few historians (e.g., Kitson-Clark, 1967; Trevor-Roper, 1958) limited the discussion of the broader functions of historical imagination, reducing the contribution of imagination to the ability to examine past individuals’ intentions, purposes, and motives in relation to their actions. By contrast, White’s (1973) reflections on historical imagination, though significant in historiographical debates, were seldom cited—likely due to the challenges of incorporating postmodern perspectives into history education and highlighting the constraints of historical knowledge in educational settings (Husbands, 1996; Jenkins, 1991; Seixas, 2000).
The reason why history education researchers mainly cited the works of historians and philosophers of history when addressing historical imagination may be because of their training. Most researchers in the field were trained as historians, so they relied on these sources to adopt concepts that had been consolidated in epistemological debates about history. This incorporation of various roles of historical imagination into history education was a positive development, but it may have overshadowed the inclusion of other perspectives in the field that could have enriched these discussions. For instance, exploring the links between historical imagination and Vygotsky’s (1962) theories about imagination in children’s play and language development could have shed light on history learning in the early years, which is greatly influenced by children’s communicative skills. Moreover, Bruner’s (1986) claims about imagination in narrative thinking, where it is essential to narrativize reality and shape future worlds, could have contributed to the analysis of using historical imagination to devise possible futures based on historical knowledge.
Emerging dimensions and future directions
Given the results of this systematic literature review, I would suggest two recommendations. First, the authors should endeavor to clarify the role played by historical imagination in their studies, as well as deepen the theoretical foundations of these ideas. As I argued, many publications in this review were excluded due to the lack of explanation of how they conceptualized historical imagination. Furthermore, a deeper theoretical foundation would be achieved, for example, by (a) integrating approaches to imagination developed in other disciplines, thus providing different perspectives on imagination in educational phenomena, and (b) considering recent historiographical debates that address the impact of public history (e.g., museums, historic sites, or films) and especially digital history (e.g., videogames, social media, or AI-generated images) in the way students imagine the past.
Second, more empirical studies on historical imagination are needed. Although this review did not aim to determine the type of publications that referred to historical imagination, it became clear that most were theoretical scholarship. Additionally, conceptual systematic reviews not only help disentangle fuzzy terms used in the literature but also facilitate the implementation of empirical studies on these terms (Schreiber & Cramer, 2024). Therefore, the current clarification of the roles of historical imagination highlights the need for future studies about relevant topics, such as which roles must be examined in students’ learning and how to analyze them; what instructional strategies are most effective for each role, and how teachers can contribute to their development; or how historical imagination operates in connection to historical thinking or historical consciousness.
Therefore, future research should benefit not only from the advances in history education but also from the current research agenda in neuroscience. This includes examining how historical imagination, understood as part of the activities emerging from the intrinsic perspective of consciousness (Hoel, 2023), can be analyzed through the various modes of expression students use to depict the past. Additionally, research on creativity (Kupers et al., 2019) can offer valuable insights into how historical imagination generates multiple contextually plausible interpretations of the past. It highlights the interaction between imagination and the generative nature of aesthetic objects—such as photographs, paintings, films, music, or drama—that invite interpretation and reinterpretation (Garrett & Kerr, 2016). By situating imagination within this creative interplay, historical inquiry can be reinvigorated as an open-ended process of meaning-making continually provoked by the evocative potential of such objects. Moreover, research on creativity emphasizes collaboration and affective involvement (Kupers et al., 2019). This suggests that historical imagination may be most productively cultivated in dialogic and collective settings where students negotiate interpretations together. In this way, imagination is reframed from being an isolated cognitive process into a shared and relational practice.
Further empirical studies must consider the contrasting state of different research topics in the field, as well as the sociopolitical aims that historical imagination serves in history education, as stated previously. For example, considering the numerous insights gained in studies on historical empathy and perspective-taking, it would be of great interest to analyze their connections with historical imagination and how this sharing contributes to a better understanding of inequities and discrimination over history. Furthermore, shaping possible futures is an emergent research topic in the field in which new insights can be gained by exploring how students’ historical imagination contributes to creating future scenarios that expose current social problems in light of past events, thus paving the way to the proposal of actions for social change.
However, in my view, the most promising role is considering aesthetics, not only for its own value but also for the ways it intersects with ethical and political concerns in history education. The aesthetic dimension in history learning has been neglected over the years (Rüsen, 2017), and it must be further investigated theoretically and empirically. Historical imagination is essential for aesthetic analysis and reflection on the engagement of history, so this innate capacity must be cultivated for critical use. It is necessary to move beyond the obvious connection between imagination and images and delve into the reflection on the aesthetic factors that influence historical understanding (Borries, 2019), like exploring how historical representations of a period shape the way students imagine material and living conditions, ethnic diversity of communities, or cross-cultural interactions in the past. Adopting this approach allows imagination to be understood not only as a cognitive tool but also in its aesthetic, ethical, and political dimensions.
Conclusion
The large body of literature covered in this review revealed that 10 roles are attributed to historical imagination in history learning: forming mental images, stimulating thinking, understanding contexts and periods, empathizing with people from the past, configuring counterfactuals, making inferences and suppositions, thinking creatively, devising possible futures, considering aesthetics, and using rhetoric. However, substantial differences were detected between them. Each role received different attention; they tended to be accompanied by a varying level of explanation, some were studied more in certain countries and regions, and their theoretical grounding was mostly based on historiographical and philosophical theorizations about imagination.
To my knowledge, this review and synthesis was the first to systematically and comprehensively address this issue in the field. The widespread use of this term by authors who joined the conversation about history education over decades was not consistent (Hughes-Warrington, 2003; VanSledright & Brophy, 1992), resulting in ambiguous mentions and frequent confusion. This study makes clear that a better understanding of the roles of historical imagination and the theoretical grounding of these roles can be gained by systematically searching, compiling, and analyzing literature published in different languages, which have often been disconnected (Körber, 2016; Metzger & Harris, 2018; Seixas, 2016). Given the underlying tendency to mention imagination when researching students’ learning, my findings highlight the responsibility of the scholarly community to define the concept clearly. This awareness, coupled with the implementation of further empirical research, points toward promising directions for providing meaningful and relevant insights into how historical imagination contributes to historical understanding.
Supplemental Material
sj-doc-1-rer-10.3102_00346543251414158 – Supplemental material for The Roles of Historical Imagination in History Learning: A Review and Synthesis of the Literature
Supplemental material, sj-doc-1-rer-10.3102_00346543251414158 for The Roles of Historical Imagination in History Learning: A Review and Synthesis of the Literature by Juan Carlos Bel in Review of Educational Research
Footnotes
Note
This article is based on the project PID2021-122519OB-I00 funded by the State Research Agency (AEI/10.13039/501100011033) of the Spanish Ministry of Science, Innovation, and Universities and by ERDF’s “A way of making Europe” of the European Union. Many thanks to Rafael Valls-Montés for insights into German history didactics, Juan Carlos Colomer-Rubio for helping access the literature, and Diego Miguel-Revilla for thoughtful feedback.
A portion of the literature utilized in this article was theoretically analyzed in Juan Carlos Bel’s doctoral dissertation. The preliminary findings from this analysis were published in Bel (2022).
Author
JUAN CARLOS BEL is an assistant professor at the Department of Experimental and Social Sciences Education, Faculty of Teacher Training, University of Valencia (Spain); email:
References
Supplementary Material
Please find the following supplemental material available below.
For Open Access articles published under a Creative Commons License, all supplemental material carries the same license as the article it is associated with.
For non-Open Access articles published, all supplemental material carries a non-exclusive license, and permission requests for re-use of supplemental material or any part of supplemental material shall be sent directly to the copyright owner as specified in the copyright notice associated with the article.
