Abstract
We investigate the long-standing yet understudied assumption that feeling moral is a basic psychological need, perhaps like the needs to feel autonomous, competent, and related (ACR). We report an empirical “entrance exam” on whether morality should be considered a need. Specifically, we applied to morality a pioneering method from which Sheldon and colleagues provided evidence that ACR are basic psychological needs. In two studies and four samples, participants recalled events in which they felt un/satisfied, meaningful, pleasurable, at their best, and at their worst. They rated how much candidate psychological needs were satisfied during them. Morality was frequently as or more satisfied than ACR during peak events. Further, it was positively related to indices of positive functioning. These findings suggest feelings of being moral may help people identify times when life is going well. Further, they suggest that morality may be a fundamental psychological need and warrants further investigation.
James (1878, p. 7) noted that “the joy of moral self-approbation…[may be] required to make the notion of mere existence tolerable.” The necessity to feel moral has been intimated throughout modern psychological theory and research. Many motives in Murray’s (1938) classic list appear to be relevant, like abasement and deference. Steele’s (1988) theory of self-affirmation provides a more direct reflection of James’ assertion, which holds that people need to believe that they are good people. There is also some empirical evidence for moral motives (e.g., Read, Talevich, Walsh, Chopra, & Iyer, 2010), or traits (Lee & Ashton, 2004; Zeinoun, Daouk-Öyry, Choueiri, & van de Vijver, 2017) and that morality is a fundamental dimension of person perception (Goodwin, 2015).
Despite these inklings, psychologists have not systematically assessed whether morality displays phenomenological and affective dynamics of a basic psychological need. Is it like psychological needs familiar to the field, such as feelings of autonomy, competence, and relatedness (ACR; Deci & Ryan, 2000)? Similar to (feelings of) ACR, we refer to a moral need as the
Has Research Shown Morality to Be a Need?
Some research has taken a moral need for granted and assumed it motivates morally relevant behaviors. A widely cited study on cleansing assumed a need for moral purity (Zhong & Liljenquist, 2006). People who merely contemplated making taboo trade-offs (e.g., exchanging money for human body parts) engaged in moral outrage and apparent moral bolstering (Tetlock, Kristel, Elson, Green, & Lerner, 2000). Doing harm to another person induces subsequent compliance via guilt (Carlsmith & Gross, 1969). An odd dynamic has been observed for morality in that when the moral self-concept is highlighted, it appears people are then
Although the abovementioned research paints a suggestive picture, morality does not figure in any major need perspective in a recent review of the historical literature (Pittman & Zeigler, 2007). How could morality qualify as a need? Baumeister and Leary (1995) provided a set of criteria that continues to guide discussion over hypothetical needs (e.g., Sheldon, 2011). They are presented in Table 1, and each criterion is provided a shorthand name (e.g., the “cognitive” criterion is met when there is evidence that a need directs cognitive processing). Morality may demonstrably meet some of these criteria already. For example, Tetlock et al. (2000) demonstrated that moral motivation has affective consequences (e.g., outrage; see also Rothschild & Keefer, 2017) and elicits morally relevant behavior. These findings satisfy the affective and motivational criteria. Regarding the cognitive criterion, a moral need may underlie the “holier than thou” bias, which occurs in part due to whether people pay attention to population base rates when evaluating their own versus others’ behaviors (Epley & Dunning, 2000). It is unclear, though, whether a moral need is what directs people’s thinking about base rates, which leaves support ambiguous. Despite Steele’s (1988) proposal that people’s desire to see themselves as morally adequate drives self-affirmation processes, to our knowledge research has not treated moral adequacy as a specific motivator of self-affirmation. Demonstrations that morality is a key evaluative character trait (e.g., Goodwin, 2015; Helzer et al., 2014) suggest it may be prolific, but this is tenuous to the extent that traits and needs are divergent constructs.
Criteria for Establishing Psychological Needs From Baumeister and Leary (1995), the Criteria the Current Studies Test and Whether Morality Passes, and the Cumulative Passing of Criteria for Morality.
An “Entry Exam” for Morality
Together, this research suggests that morality may meet some of Baumester and Leary’s (1995) criteria. However, the evidence base is incomplete, and many of the criteria remain unexamined. This may be due, in part, to tangential or presumptuous research approaches. The purpose of the present investigation is to confront directly the conceptualization of morality as a need. We take the canonical needs of self-determination theory (SDT; Deci & Ryan, 2000) and follow one of the seminal studies for providing evidence that a need meets important criteria by Sheldon, Elliot, Kim, and Kasser (2001). Their method was informed by two crucial points of logic about needs. First, needs that are most satisfying will be strongly represented in peak experiences. Stated differently, what makes events satisfying in general is the satisfaction of particular psychological needs; the more a specific need is met during satisfying events, the more it should stand out in people’s memories. Second, satisfying needs should promote well-being. Together, if a need helps people derive satisfaction from life events and promotes well-being, it passes the exam for needs.
The Current Research
We apply to morality the “entry exam” logic pioneered by Sheldon and colleagues (2001). In four studies, we asked participants about recent, highly positive, and negative experiences and assessed need satisfactions within each. We expected the moral need to be satisfied during peaks (e.g., satisfying and meaningful) and to be thwarted during “valleys” (e.g., unsatisfying). This is the satisfying/thwarting dynamic. That a need follows it provides evidence for the cognitive criterion. Going beyond Sheldon et al.’s mean comparisons, we quantify the responsiveness of each need to the satisfying/thwarting dynamic and compare them. We also test the moral need’s distinctiveness. Finally, by examining well-being consequences of moral need satisfaction, we can approach the productive, affective, and prolific criteria.
Studies 1a and 1b
Method
Participants
1a (Mechanical Turk)
The initial sample was 395 workers from Amazon’s Mechanical Turk (MTurk) residing in the United States (
1b (Students)
Participants were 113 students enrolled in an introductory psychology course at a private 4-year university in the Southeastern United States (
Measures
Recent life events
The event elicitation method was similar in structure and content to Sheldon et al. (2001) and extended it by asking additionally about meaningful and pleasurable life events. Participants were asked to consider the 3 months prior (or, for students, the current semester) to the survey and nominate four different kinds of life events: the most satisfying, unsatisfying, pleasurable, and meaningful. For all events, we told participants that the use of the key terms (e.g., “meaningful”) was intentionally vague and to use their own interpretations (see Online Supplement X for elicitation text). For each life event, participants were asked to provide a paragraph long description.
Psychological needs
After each event, description participants were asked to rate the extent to which they felt satisfied along six needs, five of which were drawn from Sheldon et al. (2001): autonomy, competence, relatedness, self-esteem, and security (3 items each). They were provided the stem “During this event, I felt…” We also included 5 items to assess the moral need: (1) a strong sense of moral fulfillment, (2) that I was being a good person, (3) that I embodied my moral values, (4) that I did the right thing, and (5) that I put others ahead of myself. Analysis of the moral items from pilot data as well as Studies 1a and 1b recommended dropping the fifth item because it loaded poorly on a moral need factor relative to the rest of the items. This loading pattern may be because the fifth item targets a more specific form of morality than the others. Needs were rated on a 1
Well-being
After reporting on their life events, participants completed two measures of global well-being, the Satisfaction with Life Scale (SWLS; Diener, Emmons, Larsen, & Griffin, 1985) and the 8-item Flourishing Scale (Diener et al., 2010). These measures were included for a comprehensive operationalization of well-being across hedonic (SWLS) and eudaimonic (flourishing) conceptions (cf. Deci & Ryan, 2008; Diener et al., 2010). 2
Results
Is the Moral Need Satisfied in Peak Experiences?
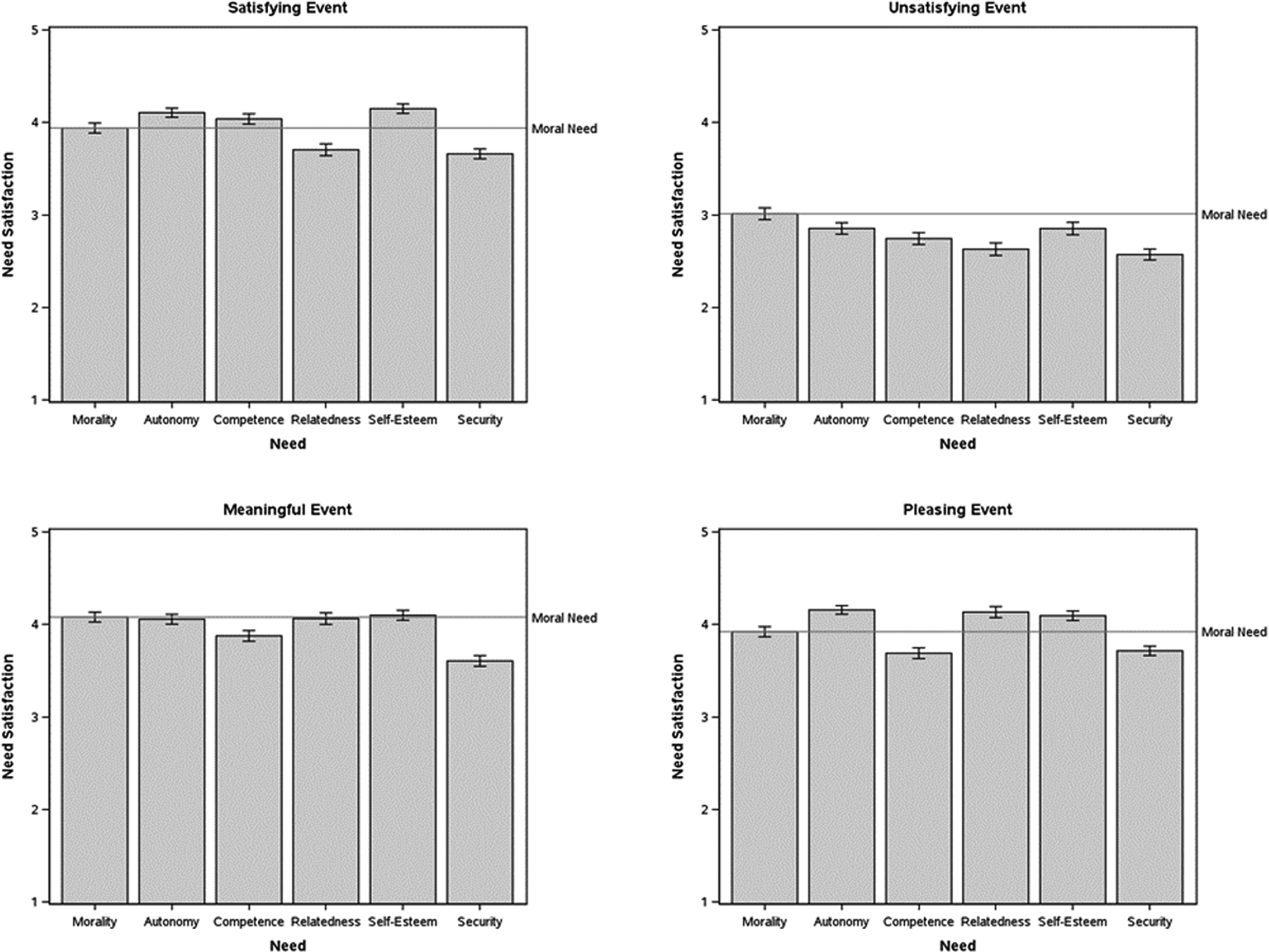
The means for the extent to which each psychological need was satisfied in each of the four life events are presented graphically for the MTurk sample in Figure 1. Table 2 reports tests of the mean of the moral need against those of the other psychological needs by event type. Significance tests to compare the salience of the moral need against the others were conducted via a series of repeated measures analyses of variances. Specifically, we conducted a repeated measures ANOVA with the six needs constituting a within-subjects factor. For each, the moral need was set as the reference, and differences were established by examining the parameter estimates, which indicated the differences in means for each need versus that of morality (i.e., the

The satisfaction of six psychological needs across four types of life events in the Study 1a sample. Error bars represent standard errors.
Comparing Moral Need Satisfaction to Other Important Candidate Needs in Every Type of Event, Study 1.
Across each of the positive events, the moral need was frequently as highly satisfied as the needs for ACR and self-esteem. Starting with the paradigmatic satisfying event, morality was more satisfied than relatedness, a core SDT need, across both samples. It was not statistically different from competence in either sample. Compared to autonomy in the satisfying event, morality was significantly lower for the MTurk sample, but not the student sample, although the differences in means were quite similar. The moral need was also higher than the security need across both samples and lower than the self-esteem need. Regarding the unsatisfying event, the moral need was consistently higher than any of the other needs save autonomy and, in the MTurk sample, self-esteem. Turning next to the meaningful event, morality did not differ from autonomy, relatedness, or self-esteem but was significantly higher than competence and security, and this pattern was consistent across both the samples. Similarly, in the pleasing event, the moral need was higher than competence and security. In contrast to the meaningful event, however, the remaining needs of self-esteem, autonomy, and relatedness were nearly or significantly lower than the moral need. In summary, the morality need performed just as well at this portion of the exam as the SDT needs.
How Responsive Is Morality to Different Events?
Next, we tested whether the needs followed a pattern of satisfaction and thwarting. That is, were needs highly satisfied in positive events and dissatisfied in negative ones? This was important for two reasons. First, if the salience of a need does not display satisfaction dynamics that correspond to situational influences, then that suggests it is a motivational constant or unwavering self-concept and is thus unlikely to have consequences for behavior. Further, the analysis technique we employed provides a quantification of the extent to which needs were responsive to a dynamic pattern. Specifically, we employed the framework for testing patterned change hypotheses outlined by Furr and Rosenthal (2003). Our contrast weight pattern was (1, 1, 1, −3) for (satisfying, meaningful, pleasurable, and unsatisfying). This analysis provided an
aNonoverlap with the
Does the Moral Need Have Implications for Well-Being?
Aggregating need satisfaction across events, moral need satisfaction was positively correlated with flourishing (
Does the Moral Need Have Unique Implications for Well-Being?
Pursuing a unique prediction strategy via simultaneous regression was complicated by high intercorrelation among the aggregated needs (average
Are the Moral Need and Self-Esteem (Structurally) the Same?
The
Discussion
Across two studies and three peak life events, the moral need was often as or more satisfied than other psychological needs SDT has so far identified as essential. The moral need was never lower than the SDT needs simultaneously yet was always higher than the security need and frequently higher than the competence need. These results are important for two key reasons. First, they indicate that the moral need guides cognitive processing in that people use it, in part, to identify peak experiences. Second, it is quite comparable to the other canonical needs from SDT. Further, the moral need had implications for well-being.
At first glance, a curious finding across these studies was that the moral need was also relatively higher in the unsatisfying event. Why? Moral failure may not contribute as strongly to dissatisfaction in the moment as some of the other needs due to the time courses of approach feelings versus guilt. Further, an “unsatisfying” event is ambiguous with respect to the source of dissatisfaction, and people may default to a negative event that happened
Studies 2a and 2b
Study 2 extends our analysis in important ways: It (a) compares morality to all 10 needs from Sheldon and colleagues (2001),(b) assesses event-level affect, and (c) provides a broader sampling of negative events. Thus, Study 2 places morality in a broader candidate need set, allows for a different test of morality’s contribution to well-being (i.e., at the event level), and expands the event set for testing the satisfying/thwarting dynamic.
Method
Participants
2a (MTurk)
Participants were 117 workers from Amazon’s MTurk (
2b (Students)
Participants were 72 students (
Measures and Procedure
Moral trait scale
Participants completed the Moral Trait Scale, which measures six traits along commonly cited virtues (e.g., compassion) as well as a global moral trait. The Moral Trait Scale is similar in content and structure to the Global Moral Character Scale (Helzer et al., 2014). Participants responded to 34 items from 1
Recent life events
Participants were asked to consider the 3 months prior to the survey (or current semester) and nominate five events: most satisfying, most unsatisfying, most meaningful, when they had “acted at [their] best,” and when they had “acted at [their] worst.” Aside from event content, the event-elicitation procedure followed that of Study 1. By asking about when participants were acting at their best and worst, we sought to deconflate causes of negativity in unsatisfying events. Further, this provided a broader sampling of negative events compared to Study 1.
Psychological needs
After each event description, participants were asked to rate the extent to which they felt satisfied along all 10 needs drawn from Sheldon et al. (2001): the set of five from Study 1 as well as power, money, self-acceptance/meaning, physical thriving/health, and pleasure.
Event-level well-being
After each event description, participants were also asked to rate affects according to two negative (
Well-being
Participants also completed the SWL and flourishing scales from Study 1.
Results
Table 4 reports tests of the mean of the moral need against those of the other psychological needs by event type, following the same analytical strategy as Study 1. The means are displayed graphically for the larger MTurk sample in Figure 2.
Comparisons of Various Need Satisfactions Against the Moral Need Across Events, Study 2.

The satisfaction of 11 psychological needs across five types of life events in the Study 2a sample. Error bars represent standard errors.
Results largely replicated those of Study 1. The moral need and ACR were satisfied to similar degrees across events. Moving to particular events, in the satisfying event, morality did not differ in salience compared to ACR or self-esteem in either sample. It was significantly more satisfied than money and power in both samples. It was also higher than pleasure, physical thriving, security, and meaning in the MTurk sample. Regarding the unsatisfying event, in the student sample the moral need differed only from physical thriving in that it was higher. In the MTurk sample, the moral need was higher than the other needs except for autonomy, competence, and self-esteem. Turning next to the meaningful event, morality did not differ from autonomy, relatedness, or self-esteem across samples, replicating Study 1, and was also no different from self-actualization/meaning. Morality was more satisfied than competence, security, pleasure, money, power, and physical thriving. For the “at your best” event, the moral need was more satisfied than competence in the student sample and also did not differ from autonomy and relatedness. This pattern of significance flipped in the MTurk sample such that relatedness and autonomy were lower than morality. Self-esteem did not differ from morality when participants were at their best. All remaining needs were considerably less satisfied than morality. Finally, when participants were at their worst, the moral need was significantly lower than autonomy and relatedness for students and lower than autonomy for the MTurk sample. It was also lower than power for the students and marginally so for the MTurk sample.
How Responsive Is Morality to Different Events?
Next, we examined the extent to which the needs followed a pattern of satisfaction/thwarting expected over the three positive and two negative events. The contrast weight pattern was (1, 1, 1, −1.5, and −1.5) for (satisfying, meaningful, at your best, unsatisfying, and at your worst). Results are provided in Table 3. As is clear in the table, the morality need is among the most responsive to the expected satisfying/thwarting dynamic.
Does the Moral Need Have Implications for Well-Being?
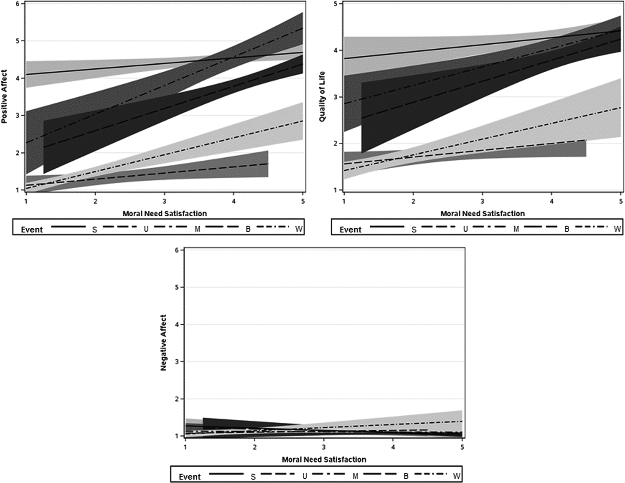
This question can be addressed in a few ways in Study 2. First, we established that when aggregating need satisfaction within a person across events, moral need satisfaction was positively correlated with flourishing (

The relations between moral need satisfaction and positive affect (top left), quality of life (top right), and negative affect (bottom) across five life events in the Mturk sample in Study 2. Event labels: S = satisfying; U = unsatisfying; M = meaningful; B = at one’s best; W = at one’s worst.
Does the Moral Need Apply Universally?
We tested whether trait morality as measured by the Moral Trait Scale, which can be construed as a preference for moral experiences, moderated the impact of moral need satisfaction on event-level positive affect (PA), negative affect (NA), and quality of life. The main effect of moral trait and its interaction with moral need satisfaction were added to the repeated measures models described above. Of the six tests of moderation, one was statistically significant, quality of life in sample 2b,

Quality of life across all events in Study 2 as a function of morality and high and low values of the moral trait. Legend key: 0 = low values of the moral trait (the median and below); 1 = high values of the moral trait (above the median).
Discussion
The moral need again performed on par with SDT’s basic psychological needs. People felt more moral when at their best than any of the SDT needs (Figure 2). The moral need was more satisfied than relatedness in satisfying events. We observed the need being thwarted in unsatisfying and “at your worst” events, and it was highly responsive to the satisfying/thwarting dynamic (
General Discussion
Is morality a basic psychological need? The present research employed the pioneering need analysis paradigm by Sheldon et al. (2001) to conduct an “entrance exam” on the moral need. Across all four studies, morality was shown to be as crucial to peak experiences as SDT’s needs for ACR as well as self-esteem. When we sampled more than one negative experience and all 10 psychological needs from Sheldon et al. (2001), we found that morality was among the most responsive needs to the dynamics of satisfaction and thwarting. Together, these results indicate that morality directs
The current studies also provide evidence that the moral need has
There was evidence that morality is
A psychological need to feel that one is moral can help make sense of many observations in the moral psychology literature. For example, people take advantage of “moral wiggle room” by cheating but not to the extent that is possible (e.g., Mazar, Amir, & Ariely, 2008). By not maximizing, people may take advantage of their own behavioral ambiguity to maintain feelings of morality. However, despite the “wiggle room” problem, it would be a strange need if it had no veridical traction most of the time. Rather, it should primarily convey true information. Despite this, the desire to resist negative evaluations may sometimes stymie progress in moral development, which provides interesting grounds for future research and points also to important implications for moral education. Further, the satisfaction of a moral need may also be another key reason benevolence contributes to people’s well-being (Martela & Ryan, 2016).
Conclusion
That people have a need to feel moral is a classic psychological notion, and such a need seems integral to explaining the development and maintenance of human moral cognition and behavior. Despite this, such a need has remained somewhat controversial for mainstream psychological science. We demonstrate that morality meets many of the criteria set out by Baumeister and Leary (1995). More broadly, we see that morality provides important information about whether people’s lives are going well. This work provides a basis for a more prominent position of the moral need in future research.
Footnotes
Authors’ Note
The current manuscript benefited from the feedback of Drs. Alan Wilson, Christian Miller, Michael Lamb, and Samantha Heintzelman.
Acknowledgments
We are thankful to members of the Beacon Lab who assisted in the research process, Lauren Collier, Ayat Hamza, and Dillon Luke, and to Kathleen Stimely in coordinating research meetings. We are also thankful to Prof. Christian Miller, Dr. Alan Wilson, and Dr. Michael Lamb, for their helpful feedback on the research and manuscript.
Author Contributions
All authors contributed to the study concept and designs. Data collection was performed by A. Hawkins, M. Prentice, and E. Jayawickreme. M. Prentice performed data analysis and drafted the manuscript. All authors provided interpretive input, critical revisions, and approval of submission.
Declaration of Conflicting Interests
The author(s) declared no potential conflicts of interest with respect to the research, authorship, and/or publication of this article.
Funding
The author(s) disclosed receipt of the following financial support for the research, authorship, and/or publication of this article: This research was funded by Templeton Religion Trust.
