Abstract
The wax palm (
Introduction
Thousands of young leaves of wax palm (
The Andean palm
Deforestation and habitat fragmentation threaten the conservation of wild populations of wax palm [5, 10–12]. Clear cutting or selective logging generate microclimatic stress by changing local temperature and relative humidity [13], which in some species may exceed physiological limits and lead to the extinction of palm populations in deforested areas [10]. A demographic study of
The correlation between leaf harvest and low palm survival remains controversial. Harvesting can cause differences in growth and reproduction rates, and has a cumulative effect over time, eventually killing the individuals or altering the population dynamics [6, 18–21]. However, other studies suggest that harvest does not affect the survival of individuals (20, 22–25). This controversy stems from different studies in several species of palms in which leaves are used for commercial purposes. Studies of
Although there are studies of the effect of harvesting palm leaves on individual development [18, 22, 26, 31], for the genus
In this paper we assess the effect of leaf harvest on growth and development of
Methods
Study site
This study was carried out at Inti Llacta Reserve (1800 m.a.s.l., 0°02' N, 78°46’ W) in the northwestern zone of Pichincha province (Ecuador), close to the village of Nanegalito. The study area is classified as a cloud forest with a rainfall average of 2,000–4,000 mm/yr [29], distributed between a distinct wet (December - May) and dry season (June - November). The average temperature varies between 18 and 24° C. The Inti Llacta Reserve is a secondary forest dominated by a patchwork of early- and late-successional stages. This area supports a dense population of

Map location of the study area, northwestern zone of Pichincha province Ecuador.
Experimental design
We mimicked the harvest process of the villagers who harvest these leaves annually from this forest. To determine the effects of harvesting on growth rate, a harvest experiment was conducted. Sixty young individuals were located inside the forest with: (a) leaves of > 4 m long in a rosette-like form, (b) without a visible stem, and (c) with a total number of leaves within the range of seven to nine. Juvenile palms were chosen because they are most commonly harvested in this region. Twenty palms were selected as control (T0) and 40 palms for two harvest treatments (T1-without damage to adjacent leaves, T2- with damage to adjacent leaves) in which the young leaves were cut 50 cm from the base of the crown. Adjacent leaf damage is characterized by the low cutting of a mature open leaf blocking access to the young leaves within the crown. All crown leaves were marked with red plastic tape.
The survey was carried out consecutively from March 2009 to January 2011. Annual harvest took place during two consecutive years. The harvest occurred before the Easter Celebrations in March 2009 and 2010. Leaf growth measurements (length, m/month) and the number of new leaves produced were recorded every two months after the establishment of the experiment. Growth was monitored in leaves that were cut at the beginning of the experiment (sprouts) and in new leaves that emerged after harvest (uncut leaves). The total count of leaves in the crown of all the individuals was performed every four months after establishing the experiment. The time of new leaf emergence, leaf blade opening and the damage was recorded for each individual in all treatments. The balance of leaves on the crown represents the difference between the total individual leaves after two years of harvest and the number of leaves at the beginning of the experiment. Due to deviations in normality and homoscedasticity within the data, variables among treatments were analyzed through Kruskall-Wallis non-parametric tests. Statistical analyses were conducted using the statistical program INFOSTAT version 2.0 [30].
Results
At the end of the first study year, significant differences were found in leaf growth of uncut leaves between treatments (

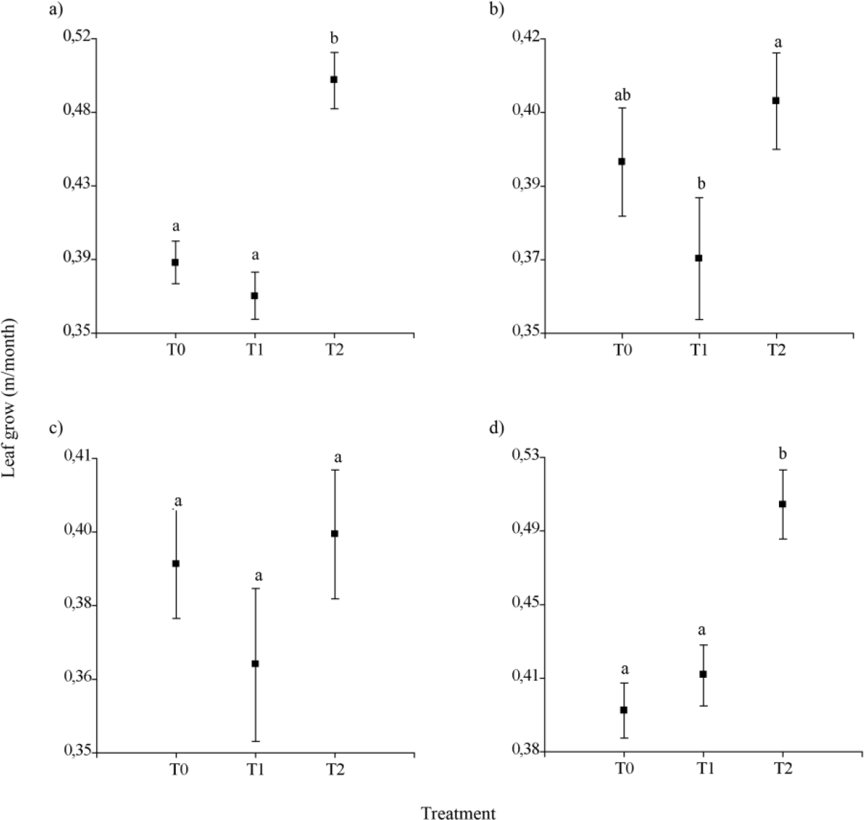
Leaf growth rate of sprouts and uncut leaves for control and defoliated

Growth rate behavior of uncut leaves for the three treatments in
At the end of the first year, trees that were harvested at the beginning of the experiment had no significant differences in the leaf growth rate for the three treatments (
Significant differences of leaf growth rates were found between individuals with different numbers of leaves in the crown (

Effect of leaf number in the crown on leaf growth rate of
Every leaf that was cut grew again, but in harvest treatments these leaves were shorter than the control (T1 = 2,41 m ± 0,67; T2 = 2,84 m ± 0,85; T0 = 3,95 m ± 1,05;
Final length of uncut leaves (during 12 months period) and balance in the total number of leaves (during 24 months period) on individuals of
Differences among treatments are compared using the Kruskal–Wallis test. Data are expressed as means (mean ± standard deviation). Common letters indicate no difference among treatments (
The balance of open leaves in the individuals after two harvests showed a leaf deficit in individuals being harvested: there were fewer leaves on the crown at the end of the second year than at the beginning of the study.
The balance in the number of leaves on the individual was significantly different between harvest treatments and control (
Discussion
Results from two consecutive years of observation reveal that leaf growth rate and the number of new leaves produced per individual were not adversely affected by this practice. Harvest treatments (T1, T2) had equal or even higher growth rates and number of new leaves than the control (T0); but the balance of leaf number at the end of the second year was higher for the control (T0).
In the first year of study, palms with adjacent leaf damage (T2) showed a high response in leaf growth and production of new leaves. This compensatory mechanism is evident in many species of palms [20–22, 28]; it acts through the foliar meristem activation, increasing the production of new leaves as a strategy to normalize photosynthetic capacity [31]. This mechanism is also favored by the reduction of self-shade caused by cutting large leaves, allowing an increase in photosynthesis rates in the remaining leaves [32]. A similar suggestion has been proposed for defoliated palms such as
However, this mechanism is directly influenced by the availability of light and soil resources such as water and nutrients [19, 32–34]. According to Anten
The compensatory mechanism is also affected by the size of the individual. In the case of
The first year of the study showed that the ecologically sustainable harvesting potential of
At the end of the second year, the growth rate of uncut leaves with adjacent leaf damage (T2) was reduced. This fact can be explained by the loss of the photosynthetic capacity of the individual under consecutive harvest and with adjacent leaf damage. According to Chabot and Hicks [35] the compensatory mechanism can be reduced if the individual is subject to intense or constant defoliation. In spite of this, the averages did not differ from the control, indicating that there is still no treatment effect and therefore, for the variable leaf growth, harvest activity does not affect normal development of the individual.
Another important variable is the balance of the number of leaves in the crown of each individual after each year of extraction, and how this variable behaves over time. The effect of harvesting on the number of opened leaves in the individual's crown varies according to the height of the cut. When large unexpanded leaves (5–6 m) are harvested, the recovered leaf has lost its middle and upper leaflets, never completely forming a whole leaf. This causes a shortfall in the number of leaves in the crown. In contrast, smaller unexpanded leaves (2–3 m) reach larger final sizes and have their leaflets open in the final stage of leaf growth, appearing as a normal leaf with the bottom half in good condition and the top pruned. According to Flores and Ashton [18] and Ticktin [19] the way in which the palm is cut can also result in different population growth rates. In the treatment with adjacent leaf damage (T2), leaf deficit in the crown is even higher. Thus, each year the individual will reduce the number of leaves at the base of the crown, making this model of extraction unsustainable over time. In practice, however, the damage to the adjacent leaves does not occur regularly and systematically. It depends on the level of difficulty in accessing the main
Even when leaf growth rate reveals a potential recovery in two consecutive harvests, the balance of open leaves indicates a deficit in the development of individuals under harvested conditions. Therefore, the balance of leaves is a warning factor of unsustainability in the management of the species. Considering that sustainability in the use of forest products requires, at least, that harvest rates do not exceed the resilience of populations [36], the type of harvest and management performed on individuals of
Implications for conservation
The lack of scientific data on the impact of harvesting wax palms has resulted in speculation about the ecological sustainability of this practice. This has generated the Ecuadorean government's current prohibition of the extraction of leaves. However, this public policy has affected the income of poor villagers during Easter Celebration and favored the replacement of wax palm natural stands with pastures. Additionally, this policy has converted the leaf harvest, possession, transport and the processing of handicrafts with wax palm leaves into an illegal activity (Fig.5).

a) Populations of wax palm (
We suggest that the extraction of unexpanded leaves from
This study, particularly the recommendations for sustainable management, should be used to increase awareness and education of farmers involved in this issue. Furthermore, it should influence public policies that promote sustainable management of non-timber products for long-term conservation.
Footnotes
Acknowledgments
This research was funded by the ECOFONDO grant n° 019-ECO7-Inv1, and the project Palm Harvest Impacts in Tropical Forests-PALMS FP7-ENV-2007-I (
). We are grateful to Alejandro Solano, Henrik Balslev, Ben Murray and Karim Musalen whose comments have improved this paper. We thanks to Luis Cárdenas for his technical support with the map.
