Abstract
In recent years, cellular materials have been widely studied and applied in aerospace and other fields due to the advantages of lightweight and multi-function. However, it is difficult to predict the equivalent elastic properties of the graded lattice structure and other non-uniform cellular materials because of the complex configuration and non-uniformity. A new discretization method for predicting the equivalent elastic parameters of the graded lattice structure is proposed based on the strain energy equivalent method and the discretization method in this paper. The graded lattice structure is discretized into lattice cells, the equivalent elastic properties are predicted by calculating the global equivalent elastic parameters with the parameters of lattice cells, and the calculation formulas are derived. After that, taking edge cube, face-centered cubic and body-centered cubic lattice as examples, the effectiveness and accuracy of the method are verified by theoretical calculation, numerical analysis, and experiment. The results show that the calculation errors of equivalent elastic parameters are between 4.5%–9.7%, and the errors can be significantly improved by reducing the graded factor. It proves that the proposed discretization method can predict the equivalent elastic parameters of the graded lattice structure effectively, and is suitable for different lattice structures.
Keywords
Introduction
With the development of additive manufacturing technology, the research and application of cellular materials are greatly promoted. 1 Cellular materials have attracted more and more attention because of the structural characteristics such as high porosity, low relative density, and periodic arrangement, 2 which have the performance advantages of lightweight, high specific stiffness, high specific strength, and good designability.3,4 The cellular materials are used to replace the traditional continuous material to realize the geometric structure reconstruction so that the lightweight of the structure can be effectively realized with the elastic properties unchanged. 5 Cellular materials have become a recognized lightweight and high-performance materials, which have important practical value and broad application prospects in aerospace, rail transit, engineering machinery, and other fields. 6
At present, scholars at home and abroad have already studied a lot on cellular materials. The cellular materials are divided into 2D lattice (grid structure, honeycomb structure, etc.) 7 and 3D lattice (truss structure, sandwich structure, cubic lattice structure, etc.) 8 according to the configuration rules and are divided into uniform lattice and non-uniform lattice (the graded lattice structure, variable-density lattice structure, etc.) 9 according to the material distribution. With the deepening of the research, the configuration mode,10,11 distribution characteristics, 12 equivalent elastic properties13,14 of the cellular materials and related research methods are gradually studied.15,16
In order to further explore the performance advantages of cellular materials, people’s focus has been extended from uniform lattice structures to non-uniform lattice structures such as graded lattice and variable-density lattice, 17 and the performance of cellular materials has expanded from structural lightweight to multi-functional characteristics, such as vibration resistance, shock resistance, heat and heat transfer, sound absorption and noise reduction, and zero/negative thermal expansion, ect.18,19 Seharing et al. 20 analyzed the design, mechanical behaviors, manufacturability, and application of the graded lattice structure manufactured via metallic additive manufacturing technology. Wang et al. 21 proposed a design method of cellular lattice structures combined with topology optimization technology, which realized the optimization design of overall and micro geometric structures. Jin et al. 22 carried out topology optimization on continuum geometry and realized variable-density lattice structures modeling. It was pointed out that the static performance of variable-density lattice structures was better than that of traditional uniform lattice structures. Choy et al. 23 designed and manufactured cubic lattice and honeycomb lattice structures with different support diameters and densities, and explored the energy absorption performance of lattice structures in potential impact protection applications. Liu et al. 24 have studied the dynamic response of nonlinear density gradient foam under impact. It is pointed out that adopting appropriate nonlinear density gradient distribution can improve the impact resistance and energy absorption ability of foam rod. Mridula et al. 25 and Long et al. 26 have proved through experiments that the buffer effect and energy absorption performance of gradient cellular materials are better than that of uniform cellular materials under high-speed impact, and the higher the speed, the more obvious the advantages. Dawei et al. 27 used the asymptotic homogenization method to calculate the equivalent elastic properties of various the graded lattice structure. Lin et al. 28 proposed a new topology optimization algorithm to design variable-density lattice structures, which maximized the first natural frequency of lattice structures. A large number of studies show that, compared with uniform lattice structures, the graded lattice structure and other non-uniform cellular materials have obvious advantages in vibration resistance and impact resistance.
However, the present research on the graded lattice structure and other non-uniform cellular materials have some limitations. It is difficult to accurately calculate the equivalent elastic parameters and predict the equivalent elastic properties due to the complex configuration and non-uniformity. The strain energy equivalent method and progressive homogenization method are mainly used to characterize the performance by macro equivalent method, ignoring the refinement distribution of materials, and the calculation errors are usually relatively high. The research methods mainly rely on the finite element numerical analysis and experimental testing, which are based on a large number of numerical analysis and experiments. These reasons make it difficult to predict the equivalent elastic properties of gradient lattice structure and other non-uniform cellular materials during theoretical design phase, which hinders further research.
Therefore, the graded lattice structure is taken as the research object, and the prediction method of equivalent elastic properties of the graded lattice structure is mainly explored in this paper. A new method for predicting the equivalent elastic properties of the graded lattice structure is proposed based on the strain energy equivalent method and discretization method. According to the periodic characteristics of lattice structures, the graded lattice structure is discretized into lattice cells by the discretization method. Three basic equivalent elastic parameters (equivalent elastic modulus, equivalent Poisson’s ratio and equivalent shear modulus) are calculated to predict the equivalent elastic properties with the equivalent elastic parameters of lattice cells, and the calculation formulas of equivalent elastic parameters are derived. The concept of graded factor is defined to characterize the distribution characteristics of materials. After that, the effectiveness and accuracy of the proposed method are verified by numerical analysis and experiments, taking the edge cube (EC), face-centered cubic (FCC) and body-centered cubic (BCC) as examples. It is hoped that this work can provide theoretical help for the research of the graded lattice structure and other non-uniform cellular materials.
Mechanical model
Different from the uniform lattice structures, the material distribution of the graded lattice structure changes along the gradient direction, and the member size and relative density decrease or increase by layers, while the lattice at the same layer presents the uniform distribution, which is a simple non-uniform lattice structure and easy to describe.
29
In order to analyze the equivalent elastic properties of the graded lattice structure, uniform lattice structures and the graded lattice structure were used to fill the given geometric structure (

Mechanical model: (a) uniform lattice at compression, (b) uniform lattice at shear force, (c) graded lattice at compression, and (d) graded lattice at shear force.
The left and bottom of the geometric structure are constrained by sliding support, and the freedom along the
Discretization method
Calculation of equivalent parameters of uniform lattice structures
The dotted line indicates that the displacement along the
where
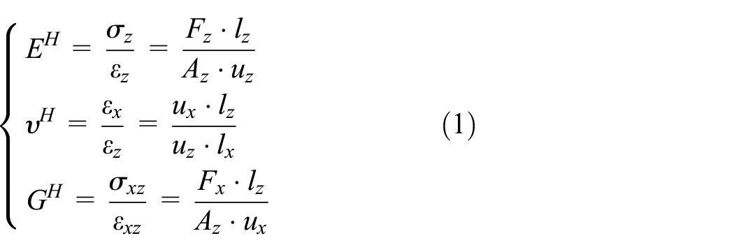
Xin et al. 15 derived the mathematical formulas of equivalent elastic parameters of uniform cellular materials based on the strain energy equivalent method and homogenization method, the formulas are as follows:
where
Taking BCC lattice as an example, substituting the parameters into the formulas, the formulas (2) is rewritten into formulas (3), which is the formulas for calculating the equivalent parameters of uniform BCC lattice structure.
According to formulas (2) and formulas (3), the specific calculation formulas of equivalent elastic parameters can be obtained by fitting the undetermined coefficients with the finite element method and numerical analysis. Thus, the equivalent elastic parameters of uniform lattice structures can be calculated, which is prepared for the calculation of equivalent elastic parameters of the graded lattice structure.
Discrete calculation of equivalent parameters of graded lattice
In mathematics, discretization refers to the segmentation of continuous data into a segment of discrete intervals. The discretization is used to transform the continuous problem into a discrete problem that is easy to analyze and calculate.30,31 The discretization method is used in the calculation of the equivalent elastic parameters of graded lattice in this paper. The graded cellular materials are discretized into lattice cells by discretization method according to the periodicity and modularity of cellular materials. The equivalent elastic properties of the graded lattice structure are characterized by mathematical calculation with the equivalent elastic parameters of lattice cells. The calculation formulas of equivalent elastic parameters (equivalent elastic modulus, equivalent Poisson’s ratio and equivalent shear modulus) of the graded lattice structure are derived.32,33
The cell size of the graded lattice structure changes by layers along the gradient direction. The deformation and stress distribution of the graded lattice structure under certain loading also show gradient distribution characteristics.
34
According to the deformation coordination law
35
under compression, the deformation of each layer lattice cell along the gradient direction is obviously different, but the deformation of the lattice cell in the same layer is approximate, as shown in Figure 1(c). The total displacement
The sliding deformation of each layer lattice along the gradient direction of the geometric structure under the shear stress condition is obviously different, and the sliding deformation of the lattice at the same layer is approximate, as shown in Figure 1(d). The total sliding deformation
The lattice material is equivalent to continuous material and analyzed according to the linear strain relation. The formulas of equivalent elastic modulus, Poisson’s ratio and shear modulus of the graded lattice structure are derived as follows:
(1) Equivalent elastic modulus
(2) Equivalent Poisson’s ratio
In the same way, it can be concluded that:
(3) Equivalent shear modulus
In the same way, it can be concluded that:
Therefore, the formulas of equivalent elastic parameters (equivalent elastic modulus, Poisson’s ratio and shear modulus) of the graded lattice structure are as follows:
According to formulas (2) and formulas (9), the design factors such as layer number, column number, cell sizes and effective effect areas are also determined, when the lattice type, material distribution and cell arrangement are determined. The equivalent elastic parameters of any the graded lattice structure can be calculated from the equivalent elastic parameters of uniform lattice structures, and the equivalent elastic properties of the graded lattice structure can be predicted.
Graded factor
To characterize the variation of material distribution along the gradient direction, the graded factor
where
According to formulas (2) and formulas (9), when the design parameters such as lattice type, number of layers, initial cellular member size and graded factor are determined, the overall material distribution and structure of the graded lattice structure are determined accordingly, and the equivalent elastic parameters can be obtained by calculation.
Numerical analysis
Simulation model
In order to verify the validity and accuracy of the formulas of the equivalent elastic parameters of the graded lattice structure, three classical lattice types (edge cube (EC), face-centered cubic (FCC) and body-centered cubic (BCC)) are selected for numerical analysis. According to the mechanical model in Section 2, the dimension of the geometry structure is set as 40 × 40 × 120 mm,
Parameters of gradient lattice structure.
Three kinds of numerical analysis model of the graded lattice structure are shown in Figure 2. Figure 2(a) is the edge cubic (EC) the graded lattice structure, Figure 2(b) is face-centered cubic (FCC) the graded lattice structure, and Figure 2(c) is body-centered cubic (BCC) the graded lattice structure.

Numerical analysis models of the graded lattice structure: (a) EC, (b) FCC, and (c) BCC.
Simulation analysis
The finite element software ANSYS Workbench was used to simulate and analyze the elastic properties of the graded lattice structure. The deformation and displacement results of uniform lattice structures and the graded lattice structure under the compression and shear forces are obtained by numerical analysis. The displacement distribution nephogram of three kinds of the graded lattice structure is shown in Figure 3. The displacement

Displacement nephogram of the graded lattice structure: (a) EC-
The effective displacement parameters are extracted to calculate and analyze the equivalent elastic properties according to the displacement nephogram obtained by simulation. Due to the obvious discontinuity of material distribution in lattice structures, to improve the consistency of elastic parameters of each part of the material and reduce the numerical errors caused by local deformation, the average displacement of the upper surface and the right surface is selected as the effective parameter

Simulation parameters curves of uniform lattice structures: (a) BCC-displacement, (b) EC-equivalent parameters, (c) FCC-equivalent parameters, and (d) BCC-equivalent parameters.
According to the formulas (2), the specific formulas of equivalent elastic parameters of uniform lattice structures can be obtained by fitting undetermined coefficient. By substituting three groups of simulation results (
Formulas and undetermined coefficients of equivalent elastic parameters of uniform lattice structures.
The equivalent elastic parameters of the graded lattice structure are calculated theoretically according to the equivalent elastic parameters of uniform lattice structures. According to Table 1 and Figure 4, the equivalent elastic parameters of uniform lattice structures are extracted. And the equivalent elastic parameters of the graded lattice structure are calculated according to the formulas (8). The simulation and calculation results of equivalent elastic properties of the graded lattice structure are shown in Figure 5. The

Simulation and calculation results of equivalent elastic parameters of the graded lattice structure: (a) equivalent elastic parameters and (b) simulation-calculation errors.
Simulation-calculation errors are further analyzed, as shown in Figure 5(b). The
Influence of graded factor
Furthermore, the effects of the size variation and material distribution inhomogeneity on the prediction of equivalent elastic properties are analyzed. By increasing the number of lattice layers in the same size range to change the gradient factor, the influence of gradient factor on the accurate and qualitative prediction of equivalent parameters of the graded lattice structures is studied.
According to the geometric structure and mechanical model in Section 2, the gradient factor is reduced by increasing the number of lattice layers. Set the external dimension of the geometric structure as
where Δ
The cellular member size of each layer is calculated according to formulas (11). According to formulas (9) in Section 3.2, the equivalent elastic parameters of the graded lattice structure can be calculated from the equivalent elastic parameters of uniform lattice structures. Taking BCC lattice as an example, the simulation models of the graded lattice structure with different layers is established, and the equivalent elastic properties are simulated and analyzed. The simulation and calculation results of equivalent elastic parameters of the graded lattice structure with different layers are shown in Figure 6.

Simulation and calculation results with different layers: (a) equivalent parameter and (b) errors.
The
Experiment
The sample of the graded lattice structure was processed by additive manufacturing technology (SLS) according to the 3D models of the graded lattice structure. The material was nylon PA12, with density 1.05 g/cm−3, elastic modulus 1.80 GPa, and Poisson’s ratio 0.33. WDW-100 electronic universal testing machine is used to carry out the experiments of compression and shear, and the loading

Experiment diagram: (a) compression and (b) shear.
Sample 3 is fixed by plate 2 to keep the upper plane and lower plane parallel and uniformly stressed during the compression test, as shown in Figure 7(a). Then, the sample is placed on the working platform 5, and the compression force
The experimental samples of the graded lattice structure are shown in Figure 8. Samples 1–3 are EC, FCC and BCC graded lattice samples respectively for compression experiment; Samples 4–6 are EC, FCC and BCC graded lattice samples respectively for shear experiment.

Samples of the graded lattice structure.
Results and discussion
The displacement parameters of three kinds of the graded lattice structure samples along each direction under the compression force and shear force were collected in experiments, and the experimental data were analyzed. The experimental results show that when the horizontal compression loading reaches 4270 N, 10390 N, and 25,010 N respectively, and the shear load reaches 2450 N, 2860 N, and 3760 N respectively, the deformation of the EC, FCC, and BCC lattice structures sample will appear obvious yield phenomenon, and the loading-displacement curve tends to be horizontal and begins to decline. Therefore, the load of 2000 N which is far less than the yield load is selected as the target load for further analysis. The loading-displacement curves near the load of 2000 N are shown and approximately regarded as an elastic segment for simplified analysis.
The experimental load-displacement curves of the sample are shown in Figure 9. The

Loading-displacement curves: (a) compression displacement-
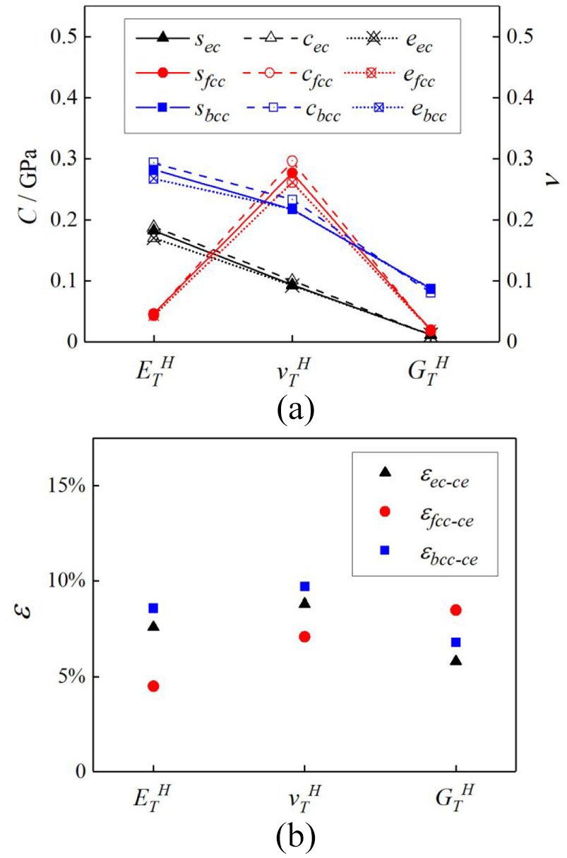
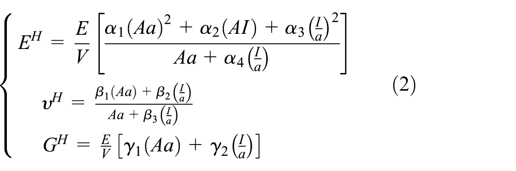
The displacement parameters of the sample along each direction when the loading was of 2000 N were selected to calculate the elastic parameters. According to formulas (1), the parameters of the sample were calculated according to the deformation displacement measured, and compared with the calculation and simulation results, as shown in Figure 10(a). The

Experimental results: (a) equivalent elastic parameters and (b) errors.
Furthermore, calculation errors are analyzed. The
Of course, there are some shortcomings in this paper. The amount of work and research content is limited in this paper, with three types of lattice studied. The size of the design dimension and the number of experimental samples is small. It is worth noting that the accuracy of the prediction of equivalent elastic properties of the graded lattice structure is verified by taking three lattice types as examples, but the influence of lattice layers and graded factor changes on the accuracy of equivalent elastic performance prediction is not verified in the experiment verification part. However, according to the results obtained, the simulation results of the equivalent elastic parameters of the three kinds of the graded lattice structure samples are very close to the experimental results, which proves the reliability of the simulation method. It is reasonable to believe that the results obtained by theory and numerical analysis in this paper are credible. In addition, the conclusion in this paper is inevitably limited, and the relevant influencing factors and laws need to be further explored and improved by other researchers.
Conclusions
The graded lattice structure is taken as the research object to explore the prediction method of equivalent elastic properties of non-uniform cellular materials in this paper. A discretization method for calculating the equivalent elastic parameters of the graded lattice structure is proposed. The theoretical calculation, numerical analysis and experimental verification of the equivalent elastic parameters of the graded lattice structure are carried out. According to the research, the conclusions are as follows:
The graded lattice structure is discretized into lattice cells by the discretization method, and the calculation formulas of equivalent elastic parameters of the graded lattice structure are derived. The formulas show that the equivalent elastic properties of the graded lattice structure can be predicted by mathematical calculation of the equivalent elastic parameters of uniform lattice structures.
Taking EC, FCC and BCC lattice as examples, the equivalent elastic properties of the graded lattice structure are simulated and calculated. The results show that the calculation results of equivalent elastic parameters of the graded lattice structure are consistent with the simulation results, and the errors are between 2.6%–9.8%. And it has been proved that the errors can be significantly improved by increasing the number of lattice layers and reducing the graded factor. When the number of lattice layers
Three kinds of the graded lattice structure (EC, FCC, and BCC) are processed by additive manufacturing technology (SLS), and the static compression and shear tests are carried out. The experiment results show that the simulation results, theoretical calculation results and experimental results are closely approximate, and the calculation-experiment errors are kept between 4.5%–9.7%. The experimental results show that the proposed discretization method can calculate the equivalent elastic parameters and realize the prediction of the equivalent elastic properties of the graded lattice structure effectively.
The discretization method proposed in this paper can predict the equivalent elastic parameters of the graded lattice structure during the theoretical design phase, and reduce the workload of simulation and experiment. This work can provide theoretical support for further research and application of the graded lattice structure and other non-uniform cellular materials
Footnotes
Acknowledgements
The authors would like to thank the following persons for contributing to the work: The College of Intelligent Science provides a good research environment, tutors provide detailed guidance and suggestions in the process of paper writing, and the teachers in the laboratory also give effective help in the experiment.
Handling Editor: James Baldwin
Declaration of conflicting interests
The author(s) declared no potential conflicts of interest with respect to the research, authorship, and/or publication of this article.
Funding
The author(s) disclosed receipt of the following financial support for the research, authorship, and/or publication of this article: The authors are grateful for the financial support of this work by the National Natural Science Foundation of China (No. 51505488).
