Abstract
The aim of this article is to study the matrix fractional differential equations and to find the exact solution for system of matrix fractional differential equations in terms of Riemann–Liouville using Laplace transform method and convolution product to the Riemann–Liouville fractional of matrices. Also, we show the theorem of non-homogeneous matrix fractional partial differential equation with some illustrative examples to demonstrate the effectiveness of the new methodology. The main objective of this article is to discuss the Laplace transform method based on operational matrices of fractional derivatives for solving several kinds of linear fractional differential equations. Moreover, we present the operational matrices of fractional derivatives with Laplace transform in many applications of various engineering systems as control system. We present the analytical technique for solving fractional-order, multi-term fractional differential equation. In other words, we propose an efficient algorithm for solving fractional matrix equation.
Keywords
Introduction
Fractional derivative is an equation of fractional differential equation and generally used in many mathematical sciences, applied physics, chemistry, and engineering. In the past three decades, fractional operations with its applicability gained importance in different fields of science and engineering. Fractional calculus has physical applications as non-linear oscillation with fractional derivative can be modeled; therefore, this attracted the attention of the researchers. 1
In the past, control theory used in class to date was based on a simple input–output description of the plant, usually expressed as a transfer function. Now, control theory with state-space of the plant dynamics has solved many limitations by providing the dynamics as a set of coupled first-order differential equations in a set of internal variables known as state variables, together with a set of algebraic equations that combine the state variables into physical output variables. 2
Many authors and researchers have studied the fractional calculus operation as partial differential equations, fractional integro-differential equations, and dynamic systems using several methods, such as variational iteration method,3,4 spectral methods, 5 Adomian decomposition method, 6 homotopy perturbation method, 7 homotopy analysis method, 8 and other methods. 9
Kilicman and Al-Zhou 10 studied many operations for fractional calculus of the matrices type and expanded convolution product to the Riemann–Liouville fractional integral of matrices. They presented the general systems of matrices fractional partial differential equations for diagonal unknown matrices, and to show that, they gave theorem of non-homogeneous matrix fractional partial differential equation with some illustrated examples.
Saadatmandi and Dehghan 11 generalized the Legendre operational matrix to the fractional differential equations for two types, linear and non-linear, and used Legendre series together with the Legendre operational matrix of fractional derivatives in the Caputo sense for numerical integration of fractional differential equations.
Bhrawy and Alofi 12 introduced new shifted Chebyshev operational matrix of fractional integration in the Riemann–Liouville sense for solving linear, multi-term fractional differential equations by applying it with spectral Tau method, and they obtained a satisfactory result by small number of shifted Chebyshev polynomials.
Agarwal et al.
13
obtained formulas for fractional integration of Marichev–Saigo–Maeda type of generalized multi-index Mittag-Leffler functions
Bhrawy et al. 14 discussed spectral techniques based on operational matrices of fractional derivatives and integrals for solving different kinds of fractional differential equations with two types, linear and non-linear; presented this operational matrices for several polynomials on bounded domains, such as the Legendre, Chebyshev, Jacobi, and Bernstein polynomials; and used them with different spectral techniques for solving the aforementioned equations on bounded domains. Also, they presented the operational matrices for orthogonal Laguerre and modified generalized Laguerre polynomials and discussed their use with numerical techniques for solving fractional differential equations on a semi-infinite interval.
Al-Zuhiri et al. 15 used vector extraction operators and Hadamard product to find the exact solution of matrix fractional differential equation for diagonal unknown matrices in Caputo sense.
Agarwal and Choi 16 established certain image formulas of various fractional integral operators involving diverse types of generalized hypergeometric functions, which are mainly expressed in terms of Hadamard product. Some interesting special cases of our main results are also considered, and relevant connections of some results presented here with those earlier ones are also pointed out.
Many authors have introduced and investigated certain extended fractional derivative operators. Agarwal et al. 17 gave an extension of the Riemann–Liouville fractional derivative operator with the extended Beta function and investigated its various potentially useful and presumably new properties and formulas, for example, integral representations, Mellin transform, generating functions, and the extended fractional derivative formulas for some familiar functions. Dehghan and Abbaszadeh 18 used element-free Galerkin method to solve fractional cable equation together with Dirichlet boundary condition by proposing an error estimate for the extracted numerical scheme from the element-free Galerkin method, and they selected the fractional cable equation with Dirichlet boundary condition. First, they obtained a time-discrete scheme based on a finite difference formula with convergence order and then used the meshless element-free Galerkin method to discrete the space direction and obtain a full-discrete scheme.
It is well known that most of the fractional differential equations do not have exact analytic solutions, so approximation and numerical techniques must be used. The numerical solutions based on finite difference methods and several spectral algorithms for fractional differential equations were reported in Bhrawy et al. 19
Bhrawy 20 adapted an operational matrix formulation of the collocation method for one- and two-dimensional non-linear fractional subdiffusion equations. They also used both double- and triple-shifted Jacobi polynomials as basis functions to elucidate approximate solutions of one- and two-dimensional cases. The space-time fractional derivatives given in the underline problems are expressed by the Jacobi operational matrices. It helps investigate spectral collocation schemes for both temporal and spatial discretizations. Bhrawy 21 reported two numerical consecutive methods like spectral collocation methods that enable easy and highly accurate discretization; for 1 + 1 and 2 + 1 fractional percolation equations, first step depends on the shifted Legendre Gauss–Lobatto collocation method for spatial discretization and second step is to propose the shifted Chebyshev Gauss–Radau collocation scheme, for temporal discretization, to reduce such a system to a system of algebraic equations, which is far easier to solve.
Some applications in control systems
The Laplace transform is used for designing various engineering systems as control system in many applications such as military and commercial.
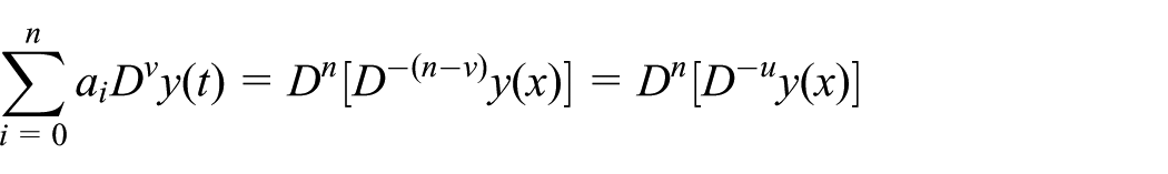
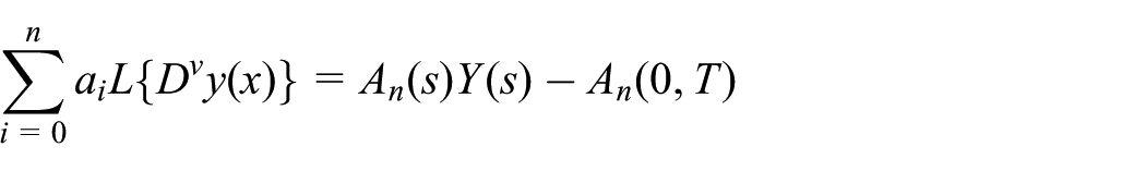
Consider fractional-order, multi-term differential equation with constant coefficients
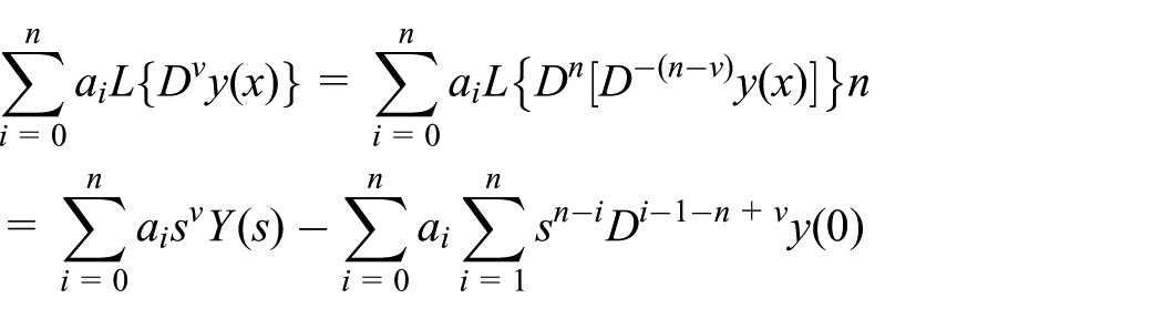
Now, by taking Laplace transform on the above equation, we can get
Using more simplifying notations, the last expression can be reduced to
We have borrowed the notation style from the software engineering concepts
Therefore
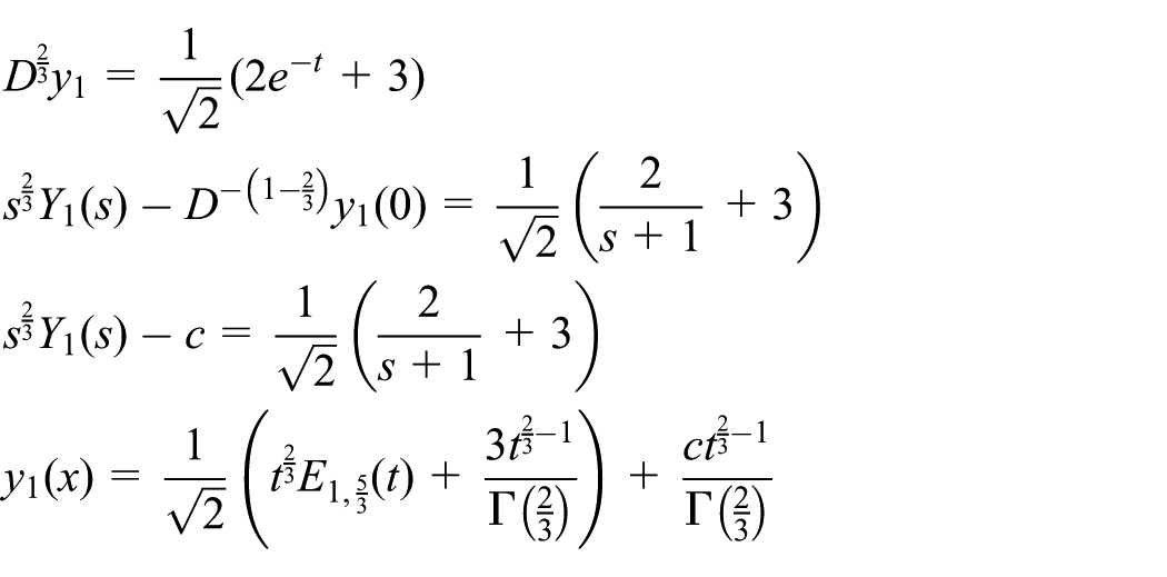
Example
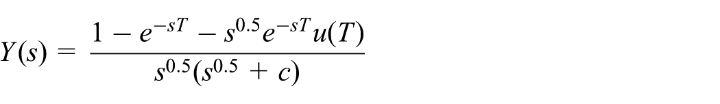
Consider the first order of the fractional differential equation 22
By taking Laplace transform on the above equation, we can get
Since
This gives the boundary value for
Now, similarly, writing the system function
Solving for
Hence
Example
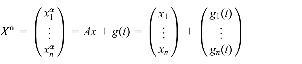
The general form 23
where
With system matrices
Solution
where
In special case
System of fractional differential equations and real symmetric matrices
In this section, we consider applying this method with real symmetric matrices to solve systems of fractional differential equations.
Let
where
Since
and
Since
where
Thus
by taking Laplace transform, we can get
Then, by taking the inverse Laplace transform, we can get the solution.
To illustrate that, consider the following examples
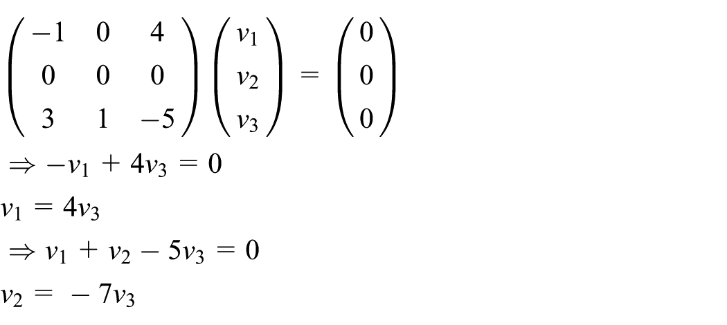
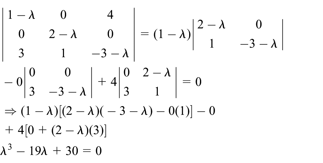
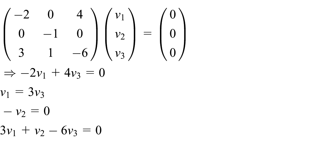
Example 1
Solve the fractional-order system when
Substituting
1.
Hence,
2. For vectors, solve
In case,
and
In case,
and
Substituting
Thus
Now, first row yields
Similarly
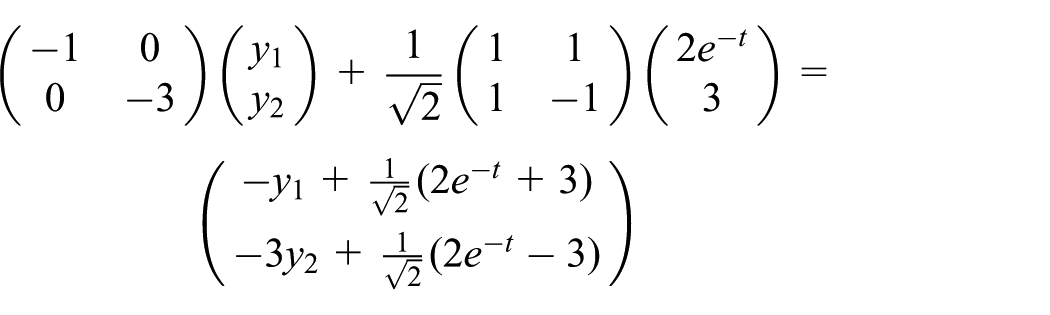
Example 2
Solve the fractional-order system when
Substituting
1.
Hence
2. For vectors, solve
In case,
Thus,
In case,
Thus,
In case,
Thus,
Hence
Then
Substituting
First row yields
By Laplace transform
Hence
Similarly
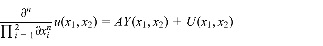
Theorem 1
The general vector extraction solution of the non-homogeneous matrix fractional partial differential equation
is given by
where
Proof
Using these equations
where
Then
This can be represented by
Hence, the vector extraction solution of the above equation is given by
Conclusion
In this work, we proposed the Laplace transform method to solve matrix fractional differential equations with some applications of engineering in control theory. It is illustrated that this is a useful, effective, and reliable tool for the solution of fractional linear partial differential equations. Furthermore, it accelerates the rate of convergence. Laplace transform method has been successfully applied to find solution for matrices fractional partial differential equations.
Footnotes
Academic Editor: Praveen Agarwal
Declaration of conflicting interests
The author(s) declared no potential conflicts of interest with respect to the research, authorship, and/or publication of this article.
Funding
The author(s) received no financial support for the research, authorship, and/or publication of this article.
