Abstract
In this article, we build an oval mechanical model at any circumference of seamless weft, founded upon the analysis of body shape in order to analyze the curvature radius at arbitrary circumference and part. Clothing pressure is built according to the Laplace equation. Depending on the elastic fabric tensile deformation, clothing pressure at any circumference was subsequently analyzed. The results demonstrate that clothing pressure increases in areas of largest body curvature, which is highest on both sides but is smallest on the body front center and back center. In addition, weft flexible fabric sensors, which are knitted silver-plated yarn into seamless underwear as pressure sensors, are designed to test the relationship between sensor’s resistance and the clothing commodious quantity in order to explore the relationship between resistance change and clothing pressure. The results show that as the size of those wearing a given garment changes, the resistance of the flexible sensor in the clothing will also change. Specifically, weight and size are associated with greater clothing pressure and higher resistance of the flexible sensor. Because clothing pressure and flexible sensor resistance are linked to the tensile tension of clothing, we have been able to determine the relationship between clothing pressure and flexible sensor resistance. This achievement is expected to provide the basis for further studies assessing the comforting pressure of seamless underwear and ease of wear.
Introduction
With the improving living standards, people have higher demands for the comfort level of their clothing. Seamless underwear, due to the use of superior seamless processing technology, is made from yarn into underwear without cutting or sewing. They are comfortable, modest, fashionable, and change with body shape. Therefore, seamless underwear is considered to be “the second skin of the human body.” 1 The use of colored yarn to make garments reduces the dyeing process, saves energy, and reduces emissions. It not only creates economic benefits, but also it provides social benefits and meets the requirements of the green economy. 2 Clothing pressure comfort is the key factor to judge its comfort, and suitable critical clothing pressure is both the essential problem and the index of clothing design. 3 Clothing pressure cannot be too small or too large. If clothing pressure is too small to meet the required pressure requirements, clothes may be too loose in position; if clothing pressure is too high, it may cause the wearer’s internal organs damage, especially for children. Indeed, high clothing pressure may affect the skeletal development of children and may even result in physical deformities. 4
An elementary theory system of seamless underwear clothing comfort pressure has not yet been fully established. In early research, it has been presumed that the body is a rigid and that each section is perpendicular to the axis through the center of the circular, square or oval outline, to establish the model of clothing pressure.5–9 Other research has tested garment pressure by pressure instruments in different parts of the body and then analyzing the data and obtaining regression coefficients.10–14
Clothing pressure is divided into two aspects: subjective evaluation and objective evaluation. There are various methods of subjective evaluation, such as the paired comparison method, the sorting scale method, and the semantic differential scale method, to name a few. Quantitative evaluation consists mainly in the determination of clothing pressure, which is the basis and foundation of the objective evaluation of the clothing comfort pressure. Clothing pressure mainly uses an instrument to provide pressure data and has both direct measurement method and indirect measurement methods. At present, there are various methods to test clothing pressure. 15 In this article, a weft knitted fabric flexible sensor is designed, which knitted silver coated nylon yarn into a seamless underwear as the flexible pressure sensors, to measure changes in resistance before and after wearing, to explore the abdominal pressure exerted.
Theoretical background
There are sundry important organs within the chest and abdomen of the human body. If the pressure is too high, it will damage the health of the human body. 16 The arbitrary human girth cross section is approximated to smooth elliptic curve. After putting on clothes, elastic human skin will be deformed under the external force, and along with the increasing of clothing pressure, the human shape will shrink to the center direction. Therefore, the body section is more attached to the oval. Clothing pressure on the human body arises from the stretchy clothing tension component force along the curvature radius. Depending on the above analysis, the model is created as shown in Figure 1.

Elliptical model of human any girth cross section.
In this model,
The human arbitrary girth cross section pressure model
The human arbitrary girth cross section point can be shown by the position of the point body width, thickness, and angle
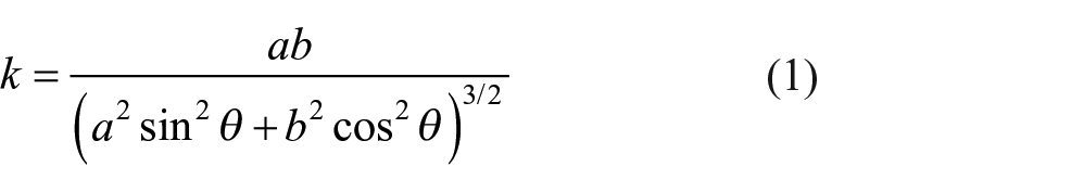
The curvature of the arc segment
By the curvature of the elliptic curve, the following relationship can be defined
By setting the radius of curvature
The tensile tension curve of the elastic knitted fabric
Among them,
The tensile tension and stress are as shown in the following formula
Among them,
The model accounts for the fact that the arbitrary girth cross section of elastic seamless underwear knitted fabric is

(a) Side view and (b) top view of a seamless underwear knitted fabric any girth cross section.
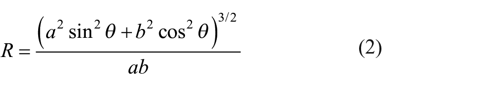
When the radius of knitted fabric of seamless underwear is smaller than the curvature of the human body
Based on equations (3) to (5), the following relationship can be obtained
When the elastic clothing is dressed on the human body, garment tensile tension
When the tubular elastic seamless knitted fabric is stretched, according to the Laplace law
Based on equations (6) to (8), it follows that
And based on equations (2) and (9), the following can be obtained
It is known that the seamless knitted fabric circumference of a dressed human body
Model analysis
Clothing pressure is the main parameter of the seamless underwear design. In order to enable seamless underwear pressure in any position of human body meeting comfort requirements, one must ensure that the body subjected to the maximum pressure value meets the requirements of comfort pressure, so that all other parts of the pressure values are within the range of comfort pressure. This follows from the fact that the seamless underwear knitted fabric elastic modulus
Pressure and its extreme value.
From Table 1, it is shown that the clothing pressure increases with increasing body curvature, that the clothing pressure on both sides is the largest, and that the center of the front and back is the smallest, which is consistent with results from Morooka et al. 17
Experiments
Preparation of pressure flexible sensor
The concept of seamless knitting began in the 80s of last century, when the production equipment was used primarily for the industrial production of socks and knitted clothing. The earliest record of seamless underwear is in 1989, 18 during which the knitting machine produced the first seamless underwear. Subsequently, a considerable amount of research has been done on this topic.19–22 In this article, conductive fiber weft knitted flexible sensor is designed, which knits silver-plated conductive nylon yarn with a seamless underwear as a flexible pressure sensor. The conductivity of silver-plated conductive nylon yarn is 0.516 Om/mm, and its fineness is 110 dtex.
The silver-plated yarn was placed in a constant temperature and humidity chamber for 24 h, and tested by a XL-1A yarn strength meter. The upper and lower grippers have a gauge of 50 mm, tensile speed is 100 mm/min, and a pre-tension is 1 N. The test results are shown in Table 2.
Test results of mechanical properties of silver-plated conductive yarn.
From the statistical results, it is known that the mechanical properties of the silver-plated conductive yarn are similar to that of the base fiber (nylon). It can be observed that the silver plating does not have a significant influence on the mechanical properties of the nylon fiber. Generally speaking, the silver-plated conductive yarn has low initial modulus, large elongation at break, low breaking strength, large fracture work, good wear resistance, and strong fiber.
Stretch nylon/spandex package core spun yarn is 22.2 dtex/33.3 dtex; the stretch nylon yarn is 77.8 dtex. All these yarns are knitted in the seamless underwear knitting machine to make the jacquard plating structure, as shown in Figure 3. In the figure, the white part is the seamless underwear; the silver part is flexible sensor. The flexible sensor height is 13 mm, width is 14 mm, the longitudinal row number is 22, and the horizontal row number is 29. The no. 1 flexible sensor is located on the right shoulder of the dummy; the no. 2 flexible sensor is located on the right front chest of the dummy; the no. 3 flexible sensor is located at the highest point of the right front chest of the dummy; the no. 4 flexible sensor is located at the highest point of the left front chest of the dummy. The no. 5 flexible sensor is located in the right intercostal area of the dummy. Silver conductive nylon floating threads in the opposite ends of the flexible sensor are cut and plaited together to connect with the conducting wire to test the resistance change.

Seamless underwear with flexible pressure sensor.
Table 3 shows the distribution of the flexible sensors resistance in the various parts of seamless underwear knitting in different human expansion degree. It can be seen from the table, in the same dimensions size, knitted flexible sensor resistance is biggest at the chest, and within the allowed range of test error, the left chest part and right chest parts of knitted flexible sensor resistance value are basically the same. And with increasing dummy size, knitted flexible sensors resistance in different parts also increased.
The flexible sensor equivalent resistance under the different sizes of dummy (unit: Ω).
Wearing performance test of knitted fabric with flexible sensor
In this article, the wearing performance of conductive fiber knitted fabrics is mainly with respect to breathability and drape performance.
Breathability
The ability of the gas to pass through the fabric becomes the breathability of the fabric and is the most basic property of the fabric. Breathability affects the comfort of the fabric, the understanding of properties including heat insulation, warmth, transparency, and coolness is crucial. The breathability of the fabric is most dependent upon the number of large holes in the fabric. As the density of fabric becomes smaller, the length of each coil becomes larger and porosity increases, leading to improved gas permeability. Pressure drops as the gas stream passes vertically through the sample under the specified test area.
The fabric was placed in a constant temperature and humidity chamber for 24 h before testing, and tested by a YG (B) 461D Digital Fabric Tester. Testing was done 10 times and the average value was taken. The greater the amount of air permeability, the better the breathability of the fabric. The sample was subjected to a gas permeability test and was found to have a gas permeability of 1256 L/m2 s.
Drape performance
The drape of fabric refers to the propensity of fabric to sag due to its own weight. It is one of the important contents of a fabric’s visual form and aesthetic comfort, and can be used to form a beautiful surface shape and a good fit when the fabric is used.
The diameter of three pieces of crease-free specimen knitted fabric with a flexible sensor is 24 cm. A locating hole with a diameter of 0.4 cm was cut at the center of the sample. The sample was then placed in a constant temperature room for 24 h before being tested, and was tested by a YG811 Type Fabric Drape Tester. Testing was done five times, and the average was taken. The smaller the value, the better the drapability of the fabric. The drape test was carried out on the pattern and was found to have a drape coefficient of 64%. The drape of the fabric is first related to the rigid flexibility of the fabric. The fiber raw material used in this experiment is nylon silver-plated fiber, which is similar in flexibility to nylon, and represents a desirable level of flexibility. Therefore, the fabric has excellent drapability.
The application of flexible pressure sensor
Because the circumference of the underwear is less than that of the human body, when wearing the seamless underwear with the flexible sensor, the sensor will be subject to both tensile tension and strain, and the electrical resistance will increase accordingly. The relationship between the tensile tension and the strain of the sensor was monitored by KES yarn tension meter and the relationship between the resistance and strain was measured by Keithley2400 Meter. The specimen was clamped by a pair of clamps, two ends of the sample were stretched by the speed of 0.1 mm/min at constant speed, and pro-tension was 0–0.3 N. These two parameters are functions of strain, as shown in the following equation
Above,
Based on the synthesis, the relationship between sensor resistance and the tension can be obtained in the equation
Results and discussion
The fabric is subjected to 30% strain over 50 cycles. The sensor resistance can stay at an approximately equal value as shown in Figure 4 and therefore meets the stability demand.

The resistance of samples after 50 cycles.
The maximum body’s transverse tensile strain is approximately 30%. 23 The relationship between the tensile tension and the transverse tensile strain of the knitted flexible sensor integrated in the seamless underwear was measured by the KES drawing instrument. Figure 5 shows the relationship between the tensile tension and the transverse strain of the knitted flexible sensor measured by the KES drawing instrument. In the figure, square points represent the measured data, and the solid line is calculated by the MATLAB software. It can be observed that the tensile tension of the knitted flexible sensor increases linearly with the increase of strain.

The relationship between the tensile stress and the transverse strain of the knitted flexible sensor at 30%.
As the height of the flexible sensor is
Integrating equations (7) to (9), it follows that
The knitted flexible sensor width
The relationship between the equivalent resistance and the tensile strain of the flexible sensor is obtained experimentally as shown in Figure 6. In the figure, square points are for the measured data, and the solid line is calculated by the MATLAB software. It can be observed that the equivalent resistance of the knitted flexible sensor increases as a quadratic function with increasing strain.

The relationship between the equivalent resistance and the tensile strain at 30%.
The sensor resistance is obtained by solving the circuit equations of the network. It is found that parallel to the wale direction, the circuit net is a multiple circuit; and parallel to the course direction, the circuit net is a series one.24,25 The knitted flexible sensor width
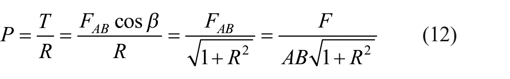
By integrating equation (13) and Figure 6, the relationship between the sensor resistance and the clothing pressure can be expressed by equation (14)
Using a simplified sensor tension
From
Although the human body cannot be a simple lateral force when wearing clothing, in order to simplify the model, we only analyze the changes in the transverse tension and the resistance of the corresponding sensor. Among the above formulas, the functions
Conclusion
Based on body shape analysis, we built an ellipse mechanics model for all circumference directions, and the curvature radius of arbitrary human cross sections. Based on the Laplace equation, a relationship determining clothing pressure was built. According to the elastic fabric and the human body circumference, the influence of clothing pressure on the human body was analyzed. The results show that clothing pressure increases with increasing body curvature, that pressure on both sides of the garment is the largest, and that the center of the abdomen and back have the least pressure. We expect that this model will be useful as a reference for further study on the pressure, comfort, and relaxation of seamless underwear.
In addition, a weft knitted fabric flexible sensor was designed, whereby silver-coated polyamide yarn was knitted into seamless underwear as a pressure sensor. Through the change in the sensor resistance and the relationship between sensor resistance and tensile tension, before and after wearing, its pressure on the abdomen of the human body was determined. Overall, the intrinsic integration of the garment and pressure makes it possible to provide simplified and seamless pressure measurements for clothing.
Footnotes
Declaration of conflicting interests
The author(s) declared no potential conflicts of interest with respect to the research, authorship, and/or publication of this article.
Funding
The author(s) disclosed receipt of the following financial support for the research, authorship, and/or publication of this article: This work is supported by ‘Science Foundation of Zhejiang Sci-Tech University (ZSTU)’ under Grant No. (14012003-Y); ‘Key Disciplines of Zhejiang Province Universities’ under Grant No. (2014YBZX02); ‘Priority No.1 Subjects of Zhejiang Province Universities Open Fund’ under Grant No. (2014KF03); and ‘the Fundamental Research Funds of Zhejiang Sci-Tech University’ under Grant No. (2019Q027).
