Abstract
Rationale:
The use of “pro re nata” (PRN) medication in patients with behavioral and psychological symptoms of dementia (BPSD) is common but may be a source of inappropriate medication administration.
Objective:
To identify trends in the administration of PRN medications to inpatients with BPSD.
Methods:
Retrospective chart audits were completed on inpatients with dementia who had PRN medications prescribed for aggression, agitation, or insomnia. Data collected included age, sex, time of day, day of week, medication used, and dementia diagnosis. Additionally, data regarding administration of ranged doses and concurrent use with regularly prescribed medications of the same class were collected.
Results:
A total of 170 inpatients with dementia were included. Over 50 346 bed days, 4000 PRNs were administered. Individuals were more likely to receive a PRN if they were younger, shortly after shift change, in the evening, or during the weekend. If a ranged dose is provided they are more likely to receive the higher dose. If they are receiving regularly scheduled medication from the same class, there is risk of double dosing.
Keywords
Introduction
The burden of dementia-related disease is clear with an exponential rise expected in developed nations over the next 25 years. 1 Approximately 60% to 80% of patients with dementia currently display behavioral and psychological symptoms of dementia (BPSD), and through the entire course of the illness 90% may display these behaviors. 2 While the intensity and frequency of these behaviors vary between individuals, they can manifest as symptoms of anxiety, agitation, aggression, or insomnia. Psychosocial interventions are the first treatment approach to manage these symptoms, but they are not always effective and restraint may be required during some particularly difficult periods when patients or staff are at risk of harm. 3 Chemical restraint has many benefits including convenience and rapid effect, but these benefits can also be the biggest drawbacks as chemical restraint can easily be used for inappropriate purposes such as a means of coercion, out of discipline for an inappropriate behavior, out of retaliation, or for staff convenience. Given the already vulnerable nature of geriatric patients with dementia, use for one of these purposes is of particular concern. While a nondemented individual may have some insight into his or her rights as a patient, an individual with dementia may rely on others to secure his or her rights. Heavy responsibility is placed on nursing staff who must maintain the patients’ rights as well as administer restraint.
Commonly, benzodiazepines and antipsychotics are employed for the purpose of controlling BPSD, although they are both listed in the Beer’s criteria as being potentially inappropriate medications in the elderly patients. 4 Elderly patients with dementia have a higher rate of falls, 5 and pro re nata (PRN) administration of benzodiazepines or neuroleptics can further contribute to that risk. 6 As well, antipsychotics have specific warnings from Health Canada regarding serious risks of therapy associated with increased mortality within this population. 7 While the effectiveness of psychotropic medications on some manifestations of BPSD is available, studies evaluating the effectiveness of PRN use of psychotropic medications as chemical restraint in the elderly patients are absent in the literature. Currently no available pharmaceutical treatment is indicated for restraint, but many are used to control behavior and/or restrict the freedom of movement. Certainly there is some rationale behind the use of chemical restraint for BPSD, and a balance must be achieved between the safety of the patient and others as well as the patients’ rights. In an age where evidence-based medicine is the gold standard, we are faced with a paucity of research on the use of PRN chemical restraint in patients with dementia.
Specific Aims
The aim of this study was to examine patient population correlations, temporal relationships, and other trends in the administration of PRN medications for BPSD to inpatients with dementia. A further aim was to identify nursing administration habits with particular focus on ranged dosing and potential for double dosing.
Methods
Design Setting and Sample
The study took place in a 330-bed rural psychiatric facility in Alberta, Canada, where 125 beds (5 units of 25 beds each) are designated for geropsychiatric patients. Of these 125 beds, approximately 80% of them are occupied by patients with dementia. Since the site is an acute care facility, staffing levels were relatively constant throughout the study period. Each unit has a minimum of 3 nurses and 3 nursing aides during the day shift (7:15
At the beginning of the admission process, a psychiatrist may prescribe psychotropic medications to be administered on a PRN basis as standing orders. The medication with dose (occasionally provided as a range), route, frequency, maximum amount in the 24-hour period, and indication is ordered by the psychiatrist. The order is reviewed occasionally and may be adjusted based on the effect or adverse effects. The decision to administer a PRN is then based on the nurse’s discretion and assessment of the patient’s presentation. Facility procedure for the use of PRNs should be reflected in nursing documentation, with detailed information on description of the behavior, interventions attempted, and the effect of those interventions. Nursing charting practices were not evaluated in this study.
Retrospective chart reviews were conducted on all patients with a diagnosis of dementia from May 1, 2009, until April 30, 2011. Patient data were included in the study if they had a diagnosis of dementia and if they had PRN orders for the preestablished indications (aggression, agitation, anxiety, and insomnia). Patients were excluded from the study if they had a contraindication to all psychotropic PRNs.
Data Collection
A PRN was defined as each administration event of a psychotropic PRN medication for the indication of agitation, anxiety, aggression, or insomnia. Chart information was collected retrospectively by a first researcher and a verification check was performed by a second researcher to confirm the accuracy of the PRNs captured for analysis. When a discrepancy was identified, a third researcher verified the discrepancy. The following data were collected from each patient record: age (at start of study period for current inpatients or for patients who were admitted during the study period and their age at time of admission), patient gender, number of bed days, time, day of week of PRN administration, type of PRN administered (antipsychotics, benzodiazepines, antidepressants, mood stabilizers, zopiclone, and others), and the most responsible dementia diagnosis as based on the recent psychiatric assessment. Additionally, if a ranged PRN dose was provided (eg, lorazepam 0.5-1 mg), we recorded what dose (low or high) was administered. Finally, if the patient received a PRN while also receiving a regularly scheduled medication from the same class, we assessed what was the time difference between the PRN administration and the next regularly scheduled dose, rounding to the nearest hour (<30 minutes rounded down and ≥30 minutes rounded up). Age was analyzed as groups (<65, 65-79, and ≥80). Time of administration was collected, that is, from 1 minute past the hour to the completion of the hour (eg, 8:01-9:00).
Protection of Participant Data
Patients who were eligible to participate in the study were randomly assigned a unique identification number which was available only to the study researchers. Organizational research policies were followed, and approval for the study was obtained based on the retrospective nature of this study.
Data Analysis
Data were collected retrospectively from chart audits and were entered into a Microsoft Excel spreadsheet. The data were analyzed using the R 3.0.1 statistical programming language. 8 We used Poisson regression models to model associations between factors of interest and rates of PRN use. The natural logarithm of time (in years) of observation per patient was used as an offset in the model, and generalized estimating equations were used to account for clustering of observations within patients. 9
Results
Demographic Information
The demographic information is presented in Table 1. Males composed 49% of the study population and 42% of patients were 65 to 79 years old. The dementia diagnosis statistics differ somewhat from the reported incidences in Canada, 10 but this might be due to the high number of dementia not otherwise specified diagnoses.
Patient Demographics.
Abbreviation: PRN, pro re nata.
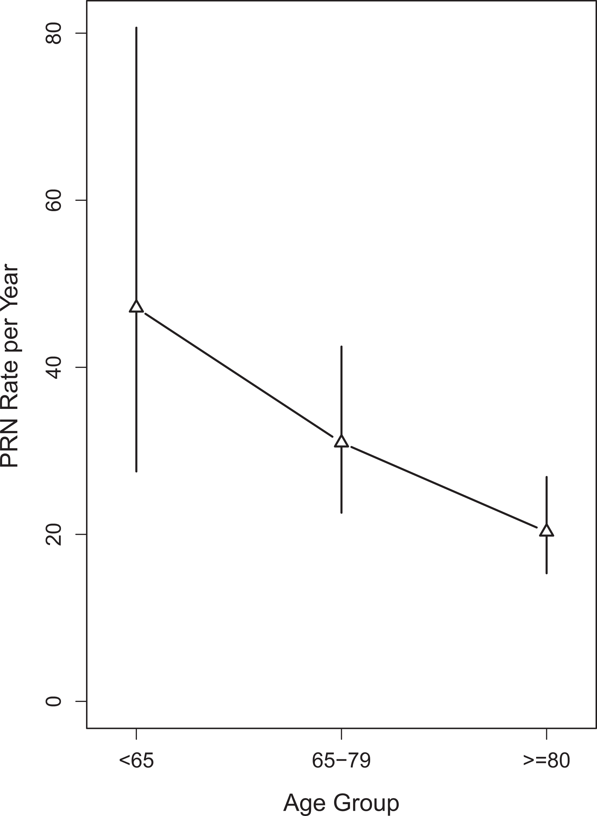
Age Correlations
As shown in Figure 1, there was a significant correlation in age and the administration of a PRN, with patients aged <65 and 65 to 79 years receiving PRNs at a higher rate as compared to elderly patients ≥80 years (rate ratio 2.32, 95% confidence interval [CI]: 1.27-4.25,

Rate of PRN administration based on age with 95% CI. Rates of administration are calculated as the number of PRN doses per year of observation within each group. PRN indicates pro re nata; CI, confidence interval.
Gender Correlations
No significant correlations were demonstrated as based on gender. Even when gender was assessed based on age, no significant correlation was demonstrated although there was a trend for females aged 65 to 79 to receive PRNs at a more frequent rate than their male counterparts.
Time of Administrations
Specific times were correlated with higher PRN use (Figure 2). In particular, rates of PRN administration were higher between 4:01 to 5:00

Rate of PRN administration based on time of day with 95% CI. Rates of administration are calculated as the number of PRN doses within the 1-hour interval per year of observed patient time. PRN indicates pro re nata; CI, confidence interval.
Day of Week of Administration
As is seen in Figure 3, weekends had a higher rate of administration compared to weekdays (Sunday RR = 1.16, 95% CI = 1.07-1.26,

Rate of PRN administration based on day of week with 95% CI. Rates of administration are calculated as the number of PRN doses within the day of the week per year of observed patient time. PRN indicates pro re nata; CI, confidence interval.
Type of PRN
Detailed information on the breakdown of medications being administered is outlined in Table 2. Of the 4000 PRNs administered, the majority were benzodiazepines as was also noted by Lindsey and Buckwalter 11 as well as Exum et al. 12 The type of PRN analyzed with respect to the age categories is presented in Table 3. The type of PRN with respect to gender yielded no meaningful correlations.
Type of PRNs.
Abbreviation: PRN, pro re nata.
Percentage of PRN by Type and Age.
Abbreviation: PRN, pro re nata.
Dementia Diagnosis Correlations
Due to the lack of adequate sample size, no meaningful comparisons could be made based upon dementia subtype (see Table 1). There was a trend for patients with Alzheimer’s type dementia to receive PRNs at a higher rate as compared to vascular and mixed type dementias but significance was not achieved (Figure 4).

Rate of PRN administration based on dementia diagnosis with 95% CI. PRN indicates pro re nata; CI, confidence interval.
Ranged Doses
A dosing range was provided on 65.6% of PRN orders (Table 4). When a range was provided on the PRN order, 77% of the time a higher dose was administered. Specific analysis showed that the first time a ranged PRN was administered for new patients admitted during the study period, the nursing staff administered the lower dose only 43% of the time (Table 4). Subanalysis based on gender and age demonstrated no significant differences in the choice of high or low dose. When looking at the drug type, antipsychotics were more frequently administered at the higher dose range only when compared to zopiclone.
PRNs administered when dose range provided.
Abbreviations: PRN, pro re nata; CI, confidence interval.
aForty-six doses were administered as mid-range.
bSignificant difference between each other,
Time to Next Dose
Forty-three percent (n = 1725) of the PRNs were administered while a patient was on a regularly scheduled dose of the same class of medication. Of those, 7% (n = 122) were administered within ± 30 minutes of the next scheduled dose, 40% (n = 695) were administered within ± 2 hours, and 67% (n = 1154) within ± 4 hours of the next scheduled dose (Figure 5).

Rate of PRN administration based on proximity to regular scheduled medication. Rates are calculated as the number of PRN doses within each hour preceding or following the next scheduled dose per year of patient observation. PRN indicates pro re nata.
When further analyzing those PRN orders that were written as a range in relation to the next scheduled dose, we identified a peak approximately 3 hours before the next scheduled dose when nearly 80% of PRNs administered were at the higher dose (Figure 6).

Rate of higher dose PRN administration with respect to time to regular scheduled medication. PRN indicates pro re nata.
Discussion
Demographic Information
While data regarding patient characteristics and nursing habits were collected, other factors that can contribute to the display of BPSD were not available based on current charting practice. Comorbid illness, particularly pain, 13 and depression 14 can be significant contributors to the frequency and intensity of BPSD and the administration of PRNs. Dementia severity may also affect the frequency and intensity of BPSD. 15 These characteristics would have been very useful in assessing the frequency in which PRNs were administered, but due to the retrospective nature of the study it would have been difficult to correlate PRN administration with these other factors.
Age Correlations
Younger patients with dementia were correlated with increased rates of PRN administration. This finding is consistent with the Lindsey and Buckwalter study 11 that also demonstrated a higher rate of PRN administration for the 55- to 65-year-old group. The finding that younger patients with dementia receiving more PRNs is also supported by the conclusion from the study by Selbæk et al 16 that demonstrated younger patients in nursing homes have more clinically significant neuropsychiatric symptoms. Nursing staff may also perceive these patients to be physically stronger and therefore believe that PRN administration is required for staff and co-patient safety. Another consideration is that younger patients with dementia may be perceived as better able to tolerate higher doses or an increased number of medications than the elderly patient. Conversely, nursing staff may perceive the elderly patient to be more at risk of developing an adverse drug reaction and therefore more likely to avoid PRN administration as compared to younger individuals.
Gender Correlations
Taylor et al 14 demonstrated that men received more regularly scheduled chemical restraint, but PRN administration was not evaluated in that study. The Lindsey and Buckwalter study 11 demonstrated that females receive a greater percentage of PRN medications. Kitamura et al 17 looked specifically at the types of symptoms experienced based on gender. Their findings of increased aggressiveness in males would seem to suggest increased PRN administration with antipsychotics and benzodiazepines. We therefore hypothesized that male patients would be the recipients of more PRNs because they are often perceived to be more likely to cause harm to predominantly female staff, but this was not correlated with our data.
Time of Administrations
Lindsey and Buckwalter 11 found PRNs to be more frequently administered in the afternoon or evening hours. Exum et al 12 demonstrated a higher PRN use at shift change times. Our data confirm both of these findings in that a general increasing trend was observed throughout the day, with peaks at evening and night shift change. Sundowning may be a possible explanation for the increasing daytime trend, but even the environmental disturbance that can be created by the staff shift change should be considered. Staff should be reminded to make the shift change as calm, quiet, and orderly as possible and ensure that proper communication on patient status occurs from 1 shift to the next. Finally, our findings may suggest that PRNs are being administered for staff convenience to ensure they have a “quiet shift,” or that they are being administered in lieu of adequate staffing as each shift change results in a loss of staff. In particular, the use of zopiclone seems consistent with its indication for insomnia, but an increased rate of administration is observed in the hour immediately following shift change. This again could lead to the finding that either the shift change is very disruptive and causing people to awaken from sleep or the PRN is being administered for staff convenience.
Day of Week of Administration
Our finding of increased PRNs during weekends is in contrast to Curtis and Capp 18 who found that PRNs were administered at a reduced rate during weekends. This discrepancy may be due to the different patient population as the Curtis and Capp study was conducted primarily on an adult psychiatry inpatient population composed mostly of patients with schizophrenia, drug-induced psychosis, and bipolar disorder.
The most apparent reason for increased PRN administration during weekends is decreased staffing levels. While the number of direct nursing staff does not change during the weekends, support staff is not present. Much of the support staff, particularly the recreation therapists, occupational therapists, and physiotherapist aides, are actively involved with patients during their shifts and are available to implement nonpharmacologic alternatives to control or reduce agitation and aggression. Another factor for increased use of PRNs during weekends may be due to the lack of immediate access to a physician familiar with the patient. The nursing staff, who are more familiar with the patient and have an established care plan in place, may make the choice to administer a PRN until the patient’s regular physician is available to assess and make changes to their regularly scheduled medications. The lack of these staff during weekends can support the conclusion that PRNs are being utilized in lieu of adequate staffing, which has been previously reported by Poole and Mott 19 and confirmed by Schweizer et al. 20
Type of PRN
As compared to Lindsey and Buckwalter, 11 the proportions of all medications were very similar, which may reflect a similarity in practice. This may suggest that nursing experience dictates what medications may be effective as a PRN for BPSD, with the bulk of treatment being benzodiazepines and atypical antipsychotics. Conversely, this experience and familiarity in medications used for BPSD may lead to overuse simply due to routine and lack of proper assessment of symptomatology.
Of particular concern is the increasing proportion of antipsychotic PRNs administered to the ≥80 age-group (Table 3). There are warnings regarding the use of antipsychotics in patients with dementia about the increased risk of mortality primarily from cardiovascular and infectious causes. 7 Age is an independent risk factor for these conditions. The corresponding reduction in proportion of benzodiazepine use is encouraging as these patients are also at increased risk of falls. Indeed in this age-group, any administration of a PRN has additional risk as the elderly patients are more likely to experience adverse effects related to psychotropic medications, 6,21 which further complicates treatment of agitation and aggression for these individuals.
Dementia Diagnosis Correlations
While there is a trend that patients with Alzheimer’s dementia are administered more PRNs, the lack of adequate sample size prevents firm conclusions. Some studies suggest patients with Lewy body dementia have more psychiatric symptoms 22 and are prescribed antipsychotics at a higher rate. 23 Since BPSDs are common presentations of all dementia types, a more useful assessment may be a measure of dementia severity and administration of PRNs for BPSD, but the necessary information to make correlations was unavailable.
Ranged Doses
To our knowledge, this is the only study which looked at nursing selection of a dose of PRN for BPSD as based upon a range provided. It was felt that this would be a good assessment of the incorporation of the principle of least restraint, which is the concept of using the least restrictive means to inhibit another individual’s behavior or movement. The frequency with which high doses are chosen by nursing questions the adoption of this principle as well as the futility in providing a ranged dose by the prescriber. If a high dose is chosen so frequently, then either the high dose should be prescribed initially or the lower dose should be prescribed and the frequency of administration increased. Surprisingly, even on first administration events of PRNs, the higher dose was administered more frequently than the lower dose. This may suggest that a patient’s previous exposure to a medication is not considered in the nurse’s assessment, but rather they may be basing their decision on their own personal experience and familiarity with the medication. At worst, it may demonstrate a desire for chemical sedation rather than restraint.
We also expected to see age as a consideration in the dose selected by a nurse, with the older population more likely to receive a lower dose, but this was not demonstrated (Table 4). This may demonstrate an unawareness of the effects of psychotropic medications on the aged brain and body.
Time to Next Dose
We expected nursing to consider an individual’s regularly scheduled medications in relation to the administration of a PRN for BPSD. The onset and duration of the effect and adverse effect of the medications involved in the study are quite variable and unpredictable, even between individuals. The display of effect and adverse effect is also more unpredictable in the elderly patients with dementia due to metabolic and physiologic changes associated with age. Regardless of the pharmacodynamic properties of the medication, frequent administrations of any PRN shortly before or after the scheduled dose raise concern. The potential for double dosing and its adverse effects may be represented as a delayed reaction, with the full effect not being realized up to several hours or days after a PRN was administered.
A further demonstration of lack of consideration for regularly scheduled psychotropic medications is seen in Figure 6. These data suggest that not only are these patients at risk of double dosing, but they are at risk of high-dose double dosing, although it should be noted that the total combined doses were not investigated in this study. This study confirms with others 12,24 that PRNs are a significant potential source of double dosing.
Limitations of the Study
One limitation of the study includes the inability to correlate dementia stage or severity and comorbid illness with PRN use. Another limitation is the data collected included patients from 5 different units with separate staff but were all residing at a single facility. A multi-facility study would allow broader application as the results observed may be particular to this site. In spite of this, the use and pattern of PRNs show definite similarities to data from other sites. 11 Although the effects and adverse effects based on chart documentation were not assessed, it may have been useful to incorporate this measurement to be able to draw clearer conclusions regarding nursing practice. As other studies in similar populations 11,25 have previously demonstrated deficiencies in documentation surrounding the use of PRNs and chemical restraint, it would be useful to add data to this area of concern. A further limitation lies in the wide discrepancy in the number of PRNs administered to individuals, with 31 patients included in the study not receiving any PRNs, whereas 9 patients received over 100.
Conclusions
While each event must be dealt with under its particular circumstance, we can begin to see that patients with BPSD are more likely to receive a PRN if they are younger, shortly after shift change, in the evening, and during the weekend. If a range is provided, they are more likely to receive a higher dose range independent of the next scheduled dose and are at risk of double dosing if on a regularly scheduled dose of medication from the same class.
While there are many studies evaluating the use and trends of PRN administration in a general psychiatry patient population, this is one of the few studies that has examined particular trends in a cohort patient population. Although the results from a general adult psychiatry population are not fully applicable to a dementia population, it seems that some of the results that look specifically at nursing administration habits of PRNs are similar independent of patient diagnosis. For example, temporal relationships of PRN administration were observed in our study and also by Usher et al. 26 Coadministration of PRNs with the same class of regularly administered medication was seen in our study as well as in those by Geffen et al 24 and Milton et al. 27 This information, combined with other studies that have observed poor documentation regarding indication for and effect of PRN administration, 11,24,28 may lead to the conclusion that inadequate training is being provided for nursing to properly consider the best practice for PRN administration in psychiatric conditions.
Although more evidence is available in general adult psychiatry populations, there is certain skepticism to the practice even in that population, with many researchers suggesting it as ineffective and unethical. 29,30 Transferring these same principles of PRN administration to a more vulnerable population with dementia should have a higher degree of scrutiny particularly as Peterson et al 21 conclude that “Inappropriate use or excessive dosing of psychotropic medications in the elderly is common and can lead to a variety of adverse events including falls, oversedation and cognitive impairment.”
Application and Future Direction
There is little evidence available to help nurses make the right decisions in regard to chemical restraint in this population. 31 The results of this study raise several concerns to the practice of PRNs for BPSD that apply to hospital administrators and managers, physicians, staff nurses, and nursing instructors.
Hospital administrators and managers need to consider staffing levels, shift timing, layout and design of the unit, documentation policies, and education programs to ensure PRN chemical restraint is used minimally and appropriately.
Physicians should consider that if a standing PRN order is left that it may be administered according to the trends identified in this study. Specifically, physicians need to consider the futility in providing ranged doses, given the frequency with which the higher dose is administered. Physicians also need to particularly consider that a PRN may be used concurrently with a regular scheduled order even if that was not their original intent. Rather than leaving standing PRN orders, physicians should consider the unique presentation of each individual and prescribe specific PRN orders, which are reviewed on a regular basis. Nurses must be asked if they are not merely following the letter of the policies of their governing organizations, but if they are holding to the spirit of the policies and betterment of their patients. If so, then they must follow the concept of least restraint and use PRNs only as a failure of other, less invasive, options. Clearly some of the patterns identified in this study suggest a misunderstanding and inappropriate use of PRNs for BPSD as may also have been identified in other studies in Canadian institutions. 32 Nursing students should be taught some of the basic pharmacodynamic properties of the medications they would be expected to administer as restraint and should be more specifically trained on the use of them when employed by an institution. Transference of knowledge from a nursing preceptor may be one option to consider, but this may simply disseminate bad habits. We would recommend nurses complete a mandatory course on the appropriate use of PRNs for chemical restraint that outlines pharmacologic properties of common PRNs and alternative nonpharmacologic interventions. Also this education should reinforce the necessity of nursing responsibilities, particularly regarding monitoring and charting on patients who receive PRNs for restraint purposes. Such a program would hopefully equip the nurses to make educated, rational, and justifiable decisions in the use of PRN chemical restraint to vulnerable populations.
The need for studies evaluating the true effect of these interventions is necessary for this practice to continue. No reliable reported rate of effectiveness of PRNs for BPSD could be obtained from the existing literature, nor could a reliable assessment of adverse effects from PRN for BPSD be found. Clearly this gap between evidence and practice needs to be filled.
Footnotes
Declaration of Conflicting Interests
The authors declared no potential conflicts of interest with respect to the research, authorship, and/or publication of this article.
Funding
The authors received no financial support for the research, authorship, and/or publication of this article.
