Abstract
Cavitation is considered a high energy demanding process for water treatment. For this study, we used a simple experimental setup to generate cavitation at a low pressure (low energy) and test it for hydroxyl radical production using a well-known chemical probe as a hydroxyl radical scavenger. The conditions for generating the cavitation process (eg, pressure, flow velocity, temperature, and other significant variables) were used to degrade model contaminants, an azo dye and an antibiotic. The amount of hydroxyl radicals generated by the system was estimated using
Introduction
Recent studies have used cavitation, either ultrasonic or hydrodynamic, for cell disruption and water decontamination. 1 Hydrodynamic cavitation (HC) involves the generation of vapor cavities inside a liquid medium. It is usually defined as the breakdown of a liquid medium under very low pressure. 2 HC occurs when the pressure difference between the outer flow and the inside of the attached cavity forces the streamlines to curve toward the cavity and the surface beneath it. 3 As a result, the cavity closes and a stagnation point is formed where the flow splits into the outer flow and the reentrant jet. The outer flow reattaches to the wall, and the reentrant jet travels upstream, carrying a small quantity of the liquid to the inside of the cavity. 4 The reentrant jet travels upstream, and then loses momentum, turns upward, and cuts the attached cavity, which causes cavitation cloud separation. The cloud entrains downstream because of the main flow and collapses. 5
Although HC seems to have greater energy efficiency in different water treatment applications, the mechanisms of this process are much less understood than those of ultrasonic cavitation. 6 The most accepted mechanism for cavitation-driven water disinfection and/or detox processes is high temperature and pressure (ie, 8.9 × 104 K and 1.3 GPa) that occur within the cavitation bubbles, which cleave the hydrogen-oxygen bond and cause generation of hydroxyl radicals. 7 However, high temperature and pressure can also generate the thermal decomposition of organic pollutants either inside or outside of the cavitation bubbles. 7
The HC process occurs in a few milliseconds and is capable of releasing a significant amount of energy. 3 It has been proposed that the production of cavities during HC is related to the pressure variation in the flowing liquid when variations in the flow area occur. 2 When the liquid passes through the diameter constriction, an increase in kinetic head occurs at the expense of the pressure head. If the throttling of the diameter constriction is sufficient, the pressure at the throat equals or falls below the vapor pressure of the liquid and vaporous cavities are formed. 2 When the cavities generated collapse, high temperature and pressure are produced. Under these conditions, water molecules have been suggested being separated into hydroxyl (•OH) and hydrogen (•H) radicals. Hydroxyl radicals have been suggested being the main reactive oxygen species involved in oxidizing organic pollutants in water.2,8,9 The proposed mechanism for organic pollutant degradation using HC is 7
Some studies reported generating hydroxyl radicals using hydrodynamic cavitation reactors and different types of chemical probes as hydroxyl radical scavengers, which suggests that the basic processes of either cell disruption and/or water decontamination generate a significant amount of free radicals. 6 Nevertheless, most of these reports failed to properly describe the conditions used in the process, preventing the repeatability of the reported results. Šarc et al 2 highlighted the inconsistencies in the available reports on hydrodynamic cavitation and suggested that a number of parameters, including the cavitation number, should accompany any report on the application of HC to ensure repeatable and comparable results.
The purpose of this study was to assess the feasibility of HC to eliminate water contaminants as well as identify the major variables playing a significant role in the process. To achieve this goal, we used a simple experimental setup to generate cavitation at a low pressure and used a well-known, commonly used chemical probe as a hydroxyl radical scavenger to test the production of hydroxyl radicals in the reactor. Congo red (CR), an azo dye, and sulfamethoxazole (SMX), an antibiotic, were used as model contaminants to assess the feasibility of the process for the removal of contaminants of concern. 10 The conditions used to generate the cavitation process—such as pressure, flow velocity, and temperature—are also specified in this report to ensure repeatable results.
Method
Experimental setup
Figure 1 shows a sketch of the setup used for the experimental trials in this work along with a detailed sketch of the actual HC reactor used. The water tank (15 L) was connected to a 1-HP centrifugal pump (AMT, 2855-95), which pumped water to the cavitation device that incorporated a ball valve (American valve). The ball valve was used to obtain (Figure 1B) the desired constriction of the pipe diameter to initiate the cavitation process. Pressure gauges measured the upstream and downstream pressures after the pump, and before and after the ball valve. An 80-psi full-scale (FS) pressure transducer was placed near the constriction inlet and a 30-psi FS pressure transducer was placed at the constriction outlet. The flow rate was measured after the second pressure gauge using a Flomec electronic water meter (TM075-N). The pressure and temperature of the water in the system were measured using Eyourlife (LX_QMCQCJPSS030805) pressure transducers and Type T thermocouple sensors. A Campbell Scientific CR1000 was used to collect data and measurements every 0.5 seconds, and then statistics (ie, maximum, minimum, average, and standard deviation) were computed for 10-second, 1-minute, and 5-minute intervals. The temperature of the water was controlled using a refrigerated recirculation bath (Cole Parmer, 1268-02) filled with antifreeze fluid (Prestone, AF-2000). The antifreeze fluid was then passed through a heat exchanger made of copper tubing at −20°C located inside the water tank.

(A) Sketch of the HC experimental setup used. (B) Diagram of inside HC device employed in this work. HC indicates hydrodynamic cavitation.
Hydroxyl radical production
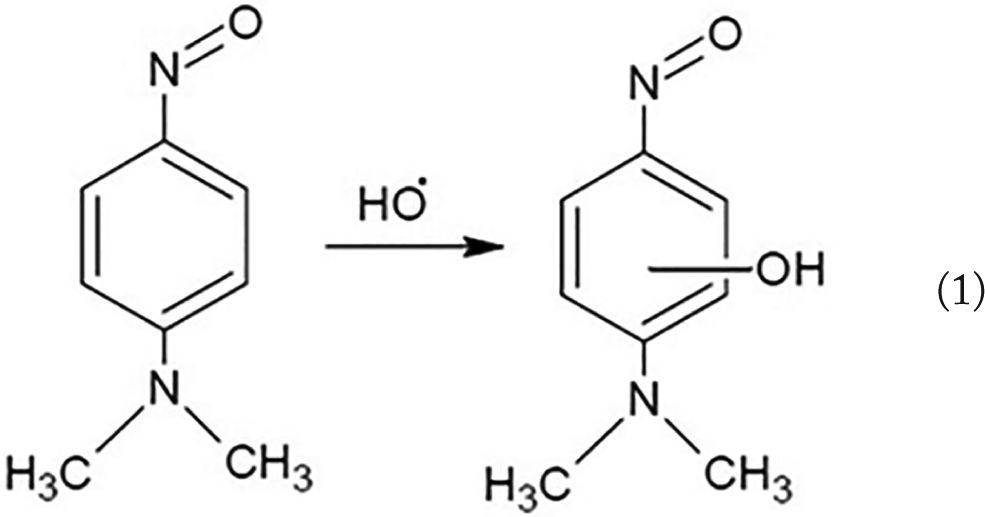
The amount of hydroxyl radicals generated by the system was estimated using
To test hydroxyl radical production, 15 L solutions of 10 µM pNDA (equivalent of 1.502 mg/L) were prepared by diluting a 0.5 mM pNDA stock solution in deionized water. A calibration curve from 1 to 20 µM was created from the 0.5 mM pNDA stock solution, and the correlation coefficient obtained was 0.95. The pH of the 10 µM pNDA solutions was measured at 5.2 ± 0.1, using a pH meter (Hach, HQ440d Multi-Parameter Meter). No pH adjustments were performed on the test samples. Water temperature was measured during the experimental trials, the recovered downstream pressure was set at two different values (13.7 and 10.3 kPa), and the flow rate used ranged from 0.14 to 1.6 × 10−4 m3/s. The water vapor pressure and density under these conditions were 2.3388 kPa and 998.2 kg/m3, respectively. Table 1 shows the experimental design used for the study. Samples were obtained at different time intervals (0, 10, 20, 30, 40, 50, and 60 minutes), and 2 mL aliquots of pNDA solution were taken using disposable plastic pipettes and filtered using syringe filters (0.22 µm pore size, 25 mm diameter; Tisch Environmental, Inc.) to avoid suspended solids. The filtered samples were analyzed for UV-visible light absorption at 440 nm using a Hach DR/8000U spectrophotometer. All the pNDA bleaching experiments were conducted in replicate, and the mean values are reported. The temperature conditions were measured every 10 minutes using a type K thermocouple meter (Digi-Sense, 91428-01). The detention time, the theoretical time required for a given amount of water to pass through the HC device, was calculated as the quotients of the treated water volume and the flow rate.
Experimental design.
Abbreviation: pNDA,
Organic pollutant removal using HC
CR degradation
To test the capability of HC to degrade contaminants, CR (disodium-4-amino-3-[4-[4-(1-amino-4-sulfonato-naphthalen-2-yl)-diazenylphenyl]phenyl]-diazenyl-naphthalene-1-sulfonate) was selected because it is an anionic diazo dye that is widely used in the textile, rubber, paper, and plastic industries. Among other uses, CR possesses interesting applications in medicine tests for preeclampsia, determined affecting 15% of pregnancies and account for one quarter of antenatal admissions.
14
As the increased incidence of preeclampsia related to gestational weight gain has increased in the last decade,
15
as well as the need for a rapid and reliable test, the use of CR has increased in all around the United States. Once the test has been applied, the remaining are usually released to the wastewater generating a potential source of contamination. Once released in the wastewater, CR is considered toxic, carcinogenic (even at low concentrations), and hardly removed by conventional wastewater treatment processes.
16
The use of even small amount of CR and its release in the wastewater effluents is expected to be increasing with the corresponding increase in concern about the release of CR back in to water sources. As in the case of pNDA, 10 µM CR solutions in deionized water were used for the HC tests at the same pH values (5.5), and samples were taken at the same time intervals. The same conditions were used in both cases (ie, pNDA and CR) to compare the HC tests. The discoloration processes were conducted by obtaining samples at the same time intervals described in section “Hydroxyl radical production,” and 2 mL aliquots of CR solution were taken using disposable plastic pipettes and filtered using syringe filters (0.22 µm pore size, 25 mm diameter; Tisch Environmental, Inc.) to avoid suspended solids. The filtered samples were analyzed for UV-visible light absorption at 500 nm using a Hach DR/8000U spectrophotometer and quantified using a calibration curve from 1 to 10 µM prepared from the CR stock solution and obtained with a
Sulfamethoxazole degradation
The other model contaminant we selected was SMX (4-amino-N-[5-methyl-1,2-oxazol-3-yl]benzenesulfonamide). This antibiotic is frequently prescribed for bacterial infections such as urinary tract infections, bronchitis, and prostatitis, and it has been detected in water samples at concentrations on the order of few µg/L. 10 The experimental conditions used for SMX were the same as those described for CR and pNDA. Samples were obtained at the same time intervals described in section “Hydroxyl radical production” and section “CR degradation” in “Organic pollutant removal using HC,” the initial concentration of SMX used was 40 µM in deionized water, and 2 mL aliquots of SMX solution were taken using disposable plastic pipettes and filtered using syringe filters (0.22 µm pore size, 25 mm diameter; Tisch Environmental, Inc.) to avoid suspended solids.
The filtered samples were analyzed at DRI Environmental Engineering Lab using high-performance liquid chromatography (HPLC) coupled with a UV-visible diode array detector (Agilent Technologies 1200 Series) and a Luna reverse phase column (5 µm, 100 Å, 250 × 4.6 mm). The mobile phase used was acetonitrile: trimethylamine (3 mM) 30:70 (%, v/v) and a pH of 6.5 using a 1 mL/min flow rate. Under these conditions, SMX retention time was 5.6 minutes. The quantification of the SMX samples was performed using a calibration curve in the range of 0.1 to 0.4 mM prepared using a stock SMX concentration and obtained with a correlation coefficient of 0.99. The HPLC analysis was selected because of its high specificity for quantifying antibiotics in aqueous phase. 17
Results and Discussion
Hydroxyl radical production
First, we measured hydroxyl radical production as pNDA bleaching, using the reaction shown in equation (1). The use of pNDA as scavenger has been reported to be highly selective for hydroxyl radicals. 13 However, no pNDA bleaching was observed for any of the reaction conditions tested, neither when a pNDA solution was heated up to 45°C, the highest temperature measured in the water tank when the controlled water bath was turned off, suggesting that pNDA is stable to the increase in overall temperature in the system.
Amin et al 6 evaluated hydroxyl radical production with HC using salicylic acid dosimetry. They tested HC at pressures ranging from 700 to 2759 kPa and different diameter constriction geometries. Although they reported significant hydroxyl radical production (ie, on the order of 1-3 mM) within 60 minutes, they did not provide details on the orifices or general conditions used for the process, which makes the study extremely hard to reproduce. Considering the energy requirements involved in hydroxyl radical production, more accurate analysis seems to be required for the results proposed by Amin et al. 6 For example, thermally driven bond cleavage is usually suitable when the molecule contains bonds with dissociation energy values on the order of 20 to 40 kcal/mol. The dissociation energy value for the hydrogen-oxygen bond in the water molecule is 119 kcal/mol, which makes thermal cleavage unlikely despite the high temperature and pressure values suggested to occur within the cavitation bubbles. Therefore, more work is required to completely identify the main mechanisms involved in the HC process not only as an interesting scientific task but also as a highly significant parameter which may lead to a better understanding of the process and the effect that several variables can have on it.
CR degradation
Congo red was used to test the capability of the HC process to degrade model contaminants under various conditions. As shown in Figure 2, no decrease in CR concentration was observed when the valve was kept open, and the downstream pressure remained in the order of 60 kPa with a significantly high flow rate 75 × 10−4 m3/s, as described in Table 1 (experiment 5), suggesting that the system does not adsorb or retain any CR. Significantly higher CR degradation was observed under the other different test conditions described in Table 1. Under the best experimental conditions tested so far (ie, experiment 8 in Table 1), CR degradation up to 50% was achieved within θ values less than 4 minutes. Nevertheless, only slightly lower degradation was achieved when downstream pressure was lowered to 10.3 kPa, and the flow rate was as low as 1.4 × 10−5 m3/s. Under these conditions, 33% CR degradation was achieved for θ = 10 minutes. The results of this study are significantly higher than the results of other studies on dye degradation using cavitation. For example, Ma et al 18 tested air-bubble cavitation for the degradation of different organic pollutants including CR. They found that dye degradation was as high as 31% after 120 minutes for cavitation alone and the best degradation conditions were when ferrous sulfate (FeSO4·7H2O, 0.5 g/L) was added into the reaction mixture. These authors tested CR concentrations in the range 5 to 15 mg/L in the same order of magnitude as reported here and found that the highest CR degradation was obtained for the best reaction conditions using the lowest CR concentration of the range tested (eg, 5 mg/L). Generation of hydroxyl radicals was reported when the cavitation process was used combined with the iron salt, but related to Fenton-like processes and not to the cavitation process. In this study, we achieved up to 50% degradation in less than 3 minutes, using low inlet pressure for the same order of magnitude dye concentration. Another study reported degradation of CR using cavitation where 64.5% CR degradation was achieved under the best reaction conditions after 3 hours. The conditions tested were 10 mg/L of CR in solution and 25°C using the bubble cavitation process. 19

Congo red degradation under different experimental conditions for hydrodynamic cavitation.
Sulfamethoxazole degradation
For comparative purposes, SMX degradation was attempted using similar conditions to those tested for pNDA and CR. Figure 2 shows the results plotted as function of time for SMX compared with the results obtained for CR and pNDA. As shown in Figure 3, SMX was significantly less affected than CR after undergoing treatment in the HC system using the same conditions. Under the best conditions, only 25% of SMX degradation was achieved after 60 minutes. Few reports are currently available on the use of HC to degrade antibiotics, and all of them use HC coupled with other advanced oxidation processes, such as photocatalysis, ozone, or the Fenton reaction.20-23

Sulfamethoxazole degradation under different experimental conditions for hydrodynamic cavitation.
Serna-Galvis et al 24 used ultrasonic cavitation to degrade different antibiotics in aqueous phase and reported results in the range of 40% to 85%, depending on its chemical structure. They also found that antibiotics belonging to the penicillin class degraded faster than fluoroquinolones or cephalosporin. Sulfamethoxazole is a fluoroquinolone, which is one of the classes of antibiotics reported to have the lowest removal under the conditions reported for ultrasonic cavitation. Guo et al 25 reported SMX degradation using combining ultrasonic cavitation and ozone. They found low SMX degradation even using a combination of ultrasound and ozonation (ranging from 2% to 26% depending on the pH value tested), which suggests that SMX is significantly resistant to oxidation processes. The degradations achieved by these authors using the best reaction conditions are similar to those achieved in this study. In another report, Guo et al 26 found that ultrasonic cavitation was almost unable to degrade SMX using a power density of 600 W/L for 20 minutes at an initial SMX concentration of 100 mg/L and a pH of 7. We were able to degrade 17% of SMX in the first 20 minutes and up to 25% after 60 minutes (Figure 2). Al-Hamadani et al 27 suggested that SMX degradation may be enhanced when low pH values are used for ultrasonic cavitation. They reported SMX degradation as high as >99% at a pH of 3.5 and 79% at a pH of 7 using an ultrasonic reactor at 1000 kHz and a high water temperature (55°C). We used water with no pH adjustment at 5.5, and the water temperature was never higher than 35°C.
Conclusions and New Challenges
The HC system was built to treat up to 15 L of contaminated water, using a 1-HP centrifugal pump capable of generating up to 40 psi at the diameter constriction inlet. The system was instrumented for water temperature control, pressure and temperature measurement, and data collection to better characterize the process. The preliminary tests using the HC system revealed the following:
No indication of hydroxyl radicals was produced under the tested conditions, which suggests that the degradation of organic pollutants may be a thermal-based process instead of a radical-based process.
The HC system was successfully used to degrade CR as a model azo dye in water. The conditions tested in this study produced comparable results with those reported previously for other types of azo dyes. However, our study used milder reaction conditions (ie, lower pressure and detention time values), even though the experimental tests performed did not include optimization studies devoted to finding the best reaction conditions.
The use of the cavitation number or the reaction time as the sole parameter for comparison was found not entirely appropriate for the best description of the cavitation system. Therefore, the hydraulic detention time was explored as the best independent variable for comparative purposes.
Antibiotic degradation (ie, SMX) was achieved under the experimental conditions tested. Results obtained were similar to those reported previously for other antibiotic compounds using HC. The results achieved for SMX degradation using the HC system were comparable with those reported using a combination of ultrasonic cavitation and ozonation, and they were higher than the results reported for ultrasonic cavitation alone. Nevertheless, ensuring a fair comparison among the different treatment processes remains as a pending task.
Footnotes
Acknowledgements
The authors are also grateful to Ms Nicole Damon (DRI) for her editorial review. OMR-N thanks CONACyT and Universidad Autonoma de Nayarit for a graduate fellowship.
Funding:
The author(s) disclosed receipt of the following financial support for the research, authorship, and/or publication of this article: This work was funded by the One Drop Foundation.
Declaration of conflicting interests:
The author(s) declared no potential conflicts of interest with respect to the research, authorship, and/or publication of this article.
Author Contributions
ERB generated the research concept, basic experimental design, data analysis and discussion, manuscript preparation. OMR-N performed the experimental runs, data collection and analysis, manuscript preparation.
