The Rao–Nakra sandwich beam is a coupled system consisting of two wave equations for the longitudinal displacements of the top and bottom layers and an Euler–Bernoulli beam equation for the transversal displacement. This paper concerns the system’s stability when the Kelvin–Voigt damping terms act on the first and third equations. Using the semigroup theory of linear operators, we prove the global well-posedness of the associated initial boundary value problem. And then, we prove the lack of exponential stability of the system. Because of this lack of exponential stability, we study the polynomial stability and prove that the system decays with rate . We further prove that this decay rate is optimal.
The sandwich beam model is a three-layer beam consisting of stiff outer face plates and a more compliant inner core layer (see Figure 1). These layers are held together by some type of structural adhesive. These models are widely used in various fields of engineering, aerospace, automotive, and shipbuilding, among others. One of the main reasons for the importance of this type of material is that sandwich structures offer designers many advantages, perhaps the most important of which is the high strength-to-weight ratio. This fact is fundamental, for example, in aerospace design, where the weight reduction of a structure with maximum stiffness is always taken into account.
(a) Purely elastic outer layers constraining a viscoelastic core layer [1] and (b) voltage or current-actuated piezoelectric outer layers [6, 7].
There are two main types of sandwich beams: the Mead–Markus beam and the Rao–Nakra beam. The derivation of various multilayer sandwich beam models can be found in Hansen [1], Mead and Markus [2], Yan and Dowell [3], and Rao and Nakra [4]. The Rao–Nakra model assumes continuous, piecewise linear displacements through the cross-sections, with the Euler–Bernoulli beam assumptions on the outer layers. Transverse (bending) and longitudinal motions are all retained in the modeling. The equations of motions for a three-layer clamped Rao–Nakra sandwich beam model developed in Rao and Nakra [4] and Liu et al. [5] are
where , and are the longitudinal displacements of the centerlines of the outer layers and uniform transverse displacement of the whole composite. The positive constants , and are physical parameters representing, respectively, density, thickness, Young’s modulus, and moments of inertia of the layer for be the shear modulus of the middle layer. The new coefficients are , , and .
In the literature, there are several results regarding the stabilization and controllability of the linear Rao–Nakra beam model. To begin, we can review some of the contributions related to the Rao–Nakra beam model with boundary control. Hansen and Imanuvilov [8, 9] studied a multilayer plate system with locally distributed control on the boundary and obtained exact controllability results using Carleman estimates. Additionally, Özer and Hansen [10, 11] achieved boundary feedback stabilization and the exact controllability of a multilayer Rao–Nakra sandwich beam, respectively.
Wang et al. [12] utilized the Riesz basis method to prove the exact controllability, observability, and exponential stability of a sandwich beam system with boundary control. Hansen and Rajaram [13] established the exact controllability for a Rao–Nakra sandwich beam with boundary controls using the multiplier approach. The Riesz basis property for a Rao–Nakra sandwich beam with different wave speeds was also analyzed in Hansen and Rajaram [13]. Furthermore, Wang [14] investigated the case of Rao–Nakra beam with boundary damping acting on a single end for two displacements and showed that the system’s semigroup is polynomially stable of order .
For the Rao–Nakra beam with internal damping term(s), such as viscous or Kelvin–Voigt type damping, it is known that if one of these dampings is added in each of the three equations of the system, it turns out to be exponentially stable, see Cabanillas et al. [15], Feng and Özer [16], Feng et al. [17], and Raposo [18].
Moreover, if two of the three equations are damped, only polynomial stability is possible [19, 20]. But, if internal viscous damping acts on only one of the three Rao–Nakra beam equations, then polynomial decay rate is sensitive to various boundary conditions and damping locations [21]. Guesmia [22] investigated a Rao–Nakra sandwich beam with a frictional damping or an infinite memory acting on the Euler–Bernoulli equation in an unbounded domain. The author stated that the solutions do not converge to zero when time goes to infinity and when the propagation speeds of the two wave equations are equal. The long-time dynamics of a fully damped non-autonomous Rao–Nakra beam with fractional Laplacian dissipation was studied by Aouadi [23]. Stability results of the Rao–Nakra sandwich beam with thermal damping can be found in Mukiawa et al. [24] and Raposo et al. [25].
This paper is motivated by Li et al. [20], where the following Rao–Nakra beam system with internal frictional damping or/and Kelvin–Voigt damping was considered:
Li et al. [20] considered two main cases: and , that is, when two of the three equations are directly damped. In both cases, they obtained polynomial stability results of different orders and its optimality. More precisely, they obtained the following results: (1) when , the system is polynomially stable of order if only frictional dampings act on the two wave equations and of order if Kelvin–Voigt dampings act on both wave equations; (2) when , the system is polynomially stable of order if frictional dampings act on both the wave and beam equations and the propagation speeds of the two wave equations are equal. However, if the propagation speeds of the waves are different, the order of the polynomial decay is . The same result holds when . Whereas, the system is polynomially stable of order if or regardless of the relationship between the propagation speeds of the waves. However, they did not discuss the possibility of achieving exponential stability in the aforementioned cases, that is, the lack of exponential stability. The main goal of our work is to provide an answer to this question. More specifically, we study the stability of the following Rao–Nakra sandwich beam model with two Kelvin–Voigt dampers acting on the first and third equations
with initial data
and mixed boundary conditions
The main contributions of our paper are the following: (1) The global well-posedness of system (2)–(6) is proved in detail by using the semigroup theory of linear operators approach in Section 2; (2) The lack of exponential stability is obtained through the Gerhart–Huang–Prüss theorem in Section 3; (3) Polynomial decay with rate is obtained by direct proof and using Borichev and Tomilov’s theorem in Section 4. The optimality of the obtained rate is also proved. All this on a functional framework are different from the one used by Li et al. [20].
2. Well-posedness of the problem
As usual, let us begin by defining the energy associated with the system (2)–(6). Taking the inner product in of equation (2) with , of equation (3) with , and of equation (4) with , integrating by parts and applying the boundary conditions (6), we obtain
and
Then, we define the associated energy with the system (2)–(6) as
The identity (10) indicates that the energy of the system (2)–(6) is non-increasing.
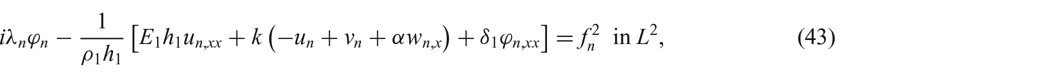
The remainder of this section is devoted to proving the well-posedness of system (2)–(6) using semigroup theory. We define , , , and introduce the vector functions
With this notation, the system (2)–(6) can be written as the abstract Cauchy problem
where is the differential operator defined by
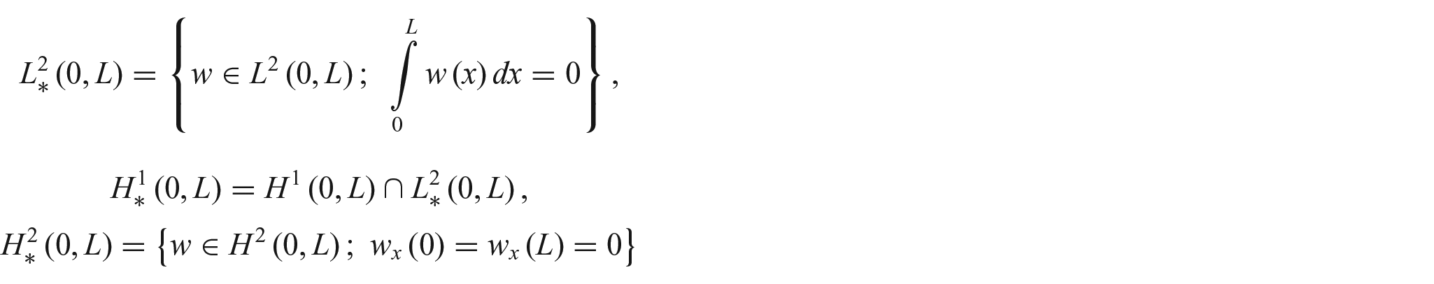
Our goal in this section is to show that generates a -semigroup of contractions on a Hilbert space . To define the phase space , we will consider the Lebesgue space with its usual inner product 〈·,·〉 and induced norm ‖·‖, and the following subspaces
and
Then, we define the phase space as
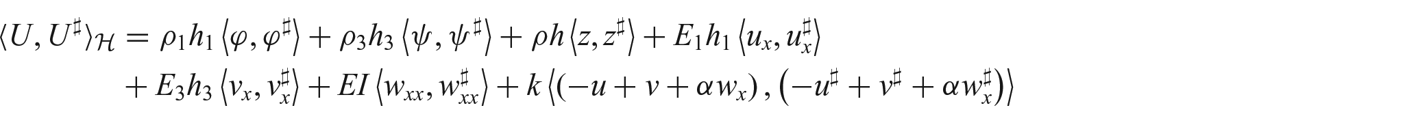
endowed with the inner product
and induced norm
for , . Thus, is a Hilbert space.
Since , according to the conditions of system (2)–(6), the domain of operator is defined as follows:
We shall now prove some properties of operator .
Proposition 1.The operator defined in (12)–(13) is dissipative. More precisely, for each we have
Proof. The application of the definition of the inner product in , the integration by parts formula, and the boundary conditions lead us to the following identity:
Taking the real part, we obtain equation (14). Therefore, operator is dissipative. □
Proposition 2.If is the resolvent set of operator , then .
Proof. Let us prove that is injective, with inverse bounded and , where is the image of . To prove that is injective and , it is sufficient to verify that is bijective, for this, let us show that for any , there exists a unique such that
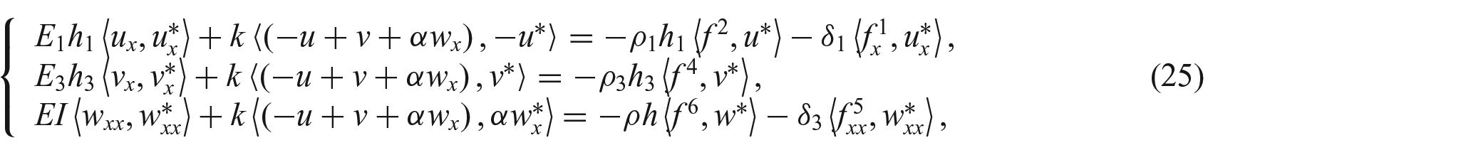
Equality (15) is equivalent to the system of equations
The problem (16)–(21) is reduced to solving a system of three equations
with boundary conditions
Then, the variational formulation of the system (23)–(24) takes the form
for any , .
The system (25) motivates the definition of the sesquilinear form as
and the antilinear form as
where
In this way, we can write equation (25) in its variational form
It can be easily proved that is continuous and coercive, while is continuous. Then, applying the Lax–Milgram Theorem (see Dautray and Lions [26]), problem (23)–(24) have a unique weak solution:
Therefore, the well-posedness of problem (2)–(6) is guaranteed by the following theorem.
Theorem 1.For each , there exists a unique weak solution of the problem (11) that satisfies
Moreover, if, then
In this case, is called a strong solution.
Proof. Thanks to Propositions 1 and 2, by applying Theorem 1.2.4 from Liu and Zheng’s [27] book, we obtain that is the infinitesimal generator of a -semigroup of contractions in . By semigroup theory, is the unique solution of equation (11) satisfying (32) and (33). This proves the theorem. □
3. Lack of exponential stability
We prove in this section that the system (11) is not exponentially stable, independently of the propagation speeds of the waves. For this purpose, we will use the following Gerhart– Huang–Prüss theorem [28–30].
Theorem 2.Let be the resolvent set of the operator and be the -semigroup of contractions generated by in a Hilbert space . Then S(t) is exponentially stable if and only if
and
Our main result is as follows.
Theorem 3.Let be a -semigroup of contractions over the Hilbert space , associated with problem (2)–(6). Then is not exponentially stable.
Proof. The idea is to prove that condition (35) of Theorem 2 is not satisfied. This would imply the lack of exponential stability of the system. Proving that the condition (35) is not valid is equivalent to finding a sequence such that
and
This last limit is equivalent to finding a sequence such that
and
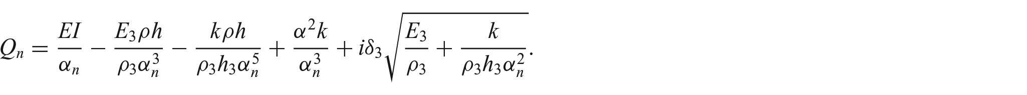
If we denote
Then, condition (38) takes the form
The remainder of this section is devoted to proving the existence of a sequence satisfying the relation (40). Let us denote
with
Replacing definition (12), we may decompose the resolvent equation (41) as
Consider
where
and is a constant satisfying
In this way, and satisfies condition (37). On the other hand, by replacing the functions in (48) in the system (42)–(47), we have
Now, we choose
where , and are sequences to be fixed later. Replacing these functions in equation (51), we have completely defined the sequence and
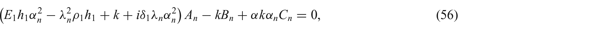
Replacing these functions in equations (52)–(54), we obtain the system of algebraic equations:
Then, we choose the sequence
which clearly verifies condition (36). Now, we can determine , , and by solving the system (56)–(58). Replacing the formula (59) in equations (56)–(58), we find
where
and
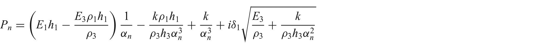
Solving the system (60)–(62), we obtain
and
Since , from formula (64) and the definition (49) of , we obtain
and consequently,
Finally, we have
which proves condition (40). Therefore, the -semigroup associated with problem (2)–(6) is not exponentially stable. □
4. Polynomial stability
In this section, we will show that the system (2)–(6) decays polynomially with a rate . Furthermore, we will prove that this decay rate is optimal. The proof of our result is based on the following theorem due to Borichev and Tomilov [31].
Theorem 4.Let be a bounded -semigroup of contractions on a Hilbert space with infinitesimal generator such that Then, for any fixed the following conditions are equivalent:
.
, .
For the proof of the optimality of the polynomial decay rate, we will use the following theorem due to Fatori and Muñoz [32, Theorem 5.4].
Theorem 5.Let be a -semigroup of contractions of linear operators on Hilbert space with infinitesimal generator and such that . If
then, for any, there exists a constantsuch that
We must verify that the system (2)–(6) satisfies the first hypothesis of Theorem 4, that is, . This result is proved in the following proposition.
Proposition 3.If is the resolvent set of the operator , then
Proof. Suppose that . Since is the infinitesimal generator of a -semigroup of contractions on , then is closed (see Pazy [33, Corollary 2.5]). Moreover, since , applying the same argument stated in the proof of Theorem 2.2.1 of Liu and Zheng’s [27] book, there exists a real sequence and a sequence of vector functions with such that
and
As before, let
where and . Then,
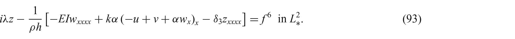
Taking the inner product of equation (71) with in , it follows that
Taking the real part and using the dissipativity identity (14), we have
Thanks to Poincaré’s inequality, the above convergence implies
and
By decomposing equation (71) into its components and applying the convergence (72), we obtain the following system:
Since , it follows that the sequences , , , , , , and are bounded on . Then, applying (73) in (75) we get
Analogously, applying convergences (74) in equation (79) yields
Taking the inner product of equation (76) with in yields
and using convergences (73), (76), (81), and (82), we conclude that
And consequently, replacing the convergence (83) in equation (77) we get
Finally, convergences (73), (74), (81), (82), (84), (85), and (86) imply that
which is a contradiction with . Therefore, condition (69) is verified. □
According to Proposition 3, for every , there exists a unique such that
where and . By decomposing the resolvent equation (87), we obtain the system
To prove the main result of this section, we need some technical lemmas. In what follows, as before, and in order not to overload the writing, we will denote by a positive generic constant whose value is not necessarily the same in each line.
Lemma 6.There exists a constant independent of such that
and
with.
Proof. Taking the inner product of equation (87) with in and using (14), we get
Applying Poincaré’s inequality, we obtain inequalities (94) and (95) directly. From equation (88) and relation (94), we obtain
Analogously, from equation (92) and estimate (95), we get
Finally, we obtain the estimates (96) and (97) after applying the Poincaré inequality. □
Lemma 7.There exists a constant independent of such that
and
with.
Proof. Taking the inner product of equation (91) with in , integrating by parts and replacing equation (90), we find
Using the estimates (96) and (97) and Young’s inequality with , we obtain
Taking , we obtain relation (98). On the other hand, using the estimates (96), (97), and (98), we have
which proves estimate (99). □
Lemma 8.There exists a constant independent of such that
and
with.
Proof. Multiplying equation (89) by in and integrating by parts yields the following:
Using the estimates (94), (96), and (97), and the Young’s inequality with , we obtain
Choosing , we get
and applying estimate (98) and replacing equation (90), we have
This proves (100). Finally, to prove inequalities (101) and (102), just replace estimate (100) in (98) and (99). □
Theorem 9.Let and let be the -semigroup of contractions associated with problem (2)–(6). Then, S(t) is polynomially stable with decay rate , that is, there exists a constant such that
Moreover, this decay rate is optimal.
Proof. From the definition of norm in , applying Lemmas 6 and 8, we get
Applying Young’s inequality, we find that
and then
Equivalently,
where the constant is independent of . The relation (106) is written in the form
Applying Theorem 4, we obtain
and this means that there exists a constant such that
From Proposition 3, we know that , then there exists such that
and this means that the -semigroup decays polynomially with a rate of .
To prove that the decay rate is optimal, we will use Theorem 5 and argue by contradiction. Suppose that the rate can be improved. For example, let be the new decay rate, for some . Taking in Theorem 5, we have
On the other hand, from the formula (64) we obtain
where
and
By (37), (68), and (111), it follows that
where . This implies
Since
we have
The limit (113) is a contradiction with estimate (110). Therefore, the decay rate cannot be improved. This completes the proof. □
Footnotes
Acknowledgements
The authors would like to thank the anonymous referees for their valuable suggestions which improved this paper.
Funding
The authors received no financial support for the research, authorship, and/or publication of this article.
ORCID iDs
Victor Cabanillas Zannini
Baowei Feng
References
1.
HansenSW.Several related models for multilayer sandwich plates. Math Models Methods Appl Sci2004; 14: 1103–1132.
2.
MeadDJMarkusS.The forced vibration of a three-layer, damped sandwich beam with arbitrary boundary conditions. J Sound Vib1969; 10: 163–175.
3.
YanMJDowellEH.Governing equations for vibratory constrained-layer damping sandwich plates and beams. J Appl Mech1972; 39: 1041–1046.
4.
RaoYVKSNakraBC.Vibrations of unsymmetrical sandwich beams and plates with viscoelastic cores. J Sound Vib1974; 34: 309–326.
5.
LiuZTrogdonSAYongJ.Modeling and analysis of a laminated beam. Comput Math Model1999; 30: 149–167.
6.
ÖzerAÖ. Modeling and controlling an active constrained layered (ACL) beam actuated by two voltage sources with/without magnetic effects. IEEE Trans Automat Contr2017; 62: 6445–6450.
7.
ÖzerAÖ. Potential formulation for charge or current-controlled piezoelectric smart composites and stabilization results: electrostatic versus quasi-static versus fully-dynamic approaches. IEEE Trans Automat Contr2018; 64(3): 989–1002.
8.
HansenSWImanuvilovOY.Exact controllability of a multilayer Rao-Nakra plate with clamped boundary conditions. ESAIM Control Optim Calc Var2011; 17: 1101–1132.
9.
HansenSWImanuvilovOY.Exact controllability of a multilayer Rao-Nakra plate with free boundary conditions. Math Control Relat Fields2011; 1: 189–230.
10.
ÖzerAÖHansenSW.Uniform stabilization of a multilayer Rao-Nakra sandwich beam. Evol Equ Control Theory2013; 2: 695–710.
11.
ÖzerAÖHansenSW.Exact boundary controllability results for a multilayer Rao-Nakra sandwich beam. SIAM J Control Optim2014; 52: 1314–1337.
12.
WangJMGuoBZChentoufB.Boundary feedback stabilization of a three-layer sandwich beam: Riesz basis approach. ESAIM Control Optim Calc Var2006; 12: 12–34.
13.
HansenSWRajaramR.Riesz basis property and related results for a Rao-Nakra sandwich beam. Discrete Contin Dyn Syst2005; 2005: 365–375.
14.
WangY.Boundary feedback stabilization of a Rao-Nakra sandwich beam. J Phys2019; 1324: 012044.
15.
CabanillasVRRaposoCAPotenciano-MachadoL.Stability of solution for Rao-Nakra sandwich beam model with Kelvin-Voigt damping and time delay. Theor Appl Mech2022; 49: 71–84.
16.
FengBÖzerAÖ.Long-time behavior of a nonlinearly-damped three-layer Rao-Nakra sandwich beam. Appl Math Optim2023; 87: 19.
17.
FengBRaposoCANonatoCA, et al. Analysis of exponential stabilization for Rao-Nakra sandwich beam with time-varying weight and time-varying delay: multiplier method versus observability. Math Control Relat Fields2023; 13: 631–663.
18.
RaposoCA.Rao-Nakra model with internal damping and time delay. Math Morav2021; 25: 53–67.
19.
AkilMLiuZ.Stabilization of the generalized Rao-Nakra beam by partial viscous damping. Math Methods Appl Sci. Epub ahead of print 29July2022. DOI: 10.1002/mma.8591.
20.
LiYLiuZWangY.Weak stability of a laminated beam. Math Control Relat Fields2018; 8(3–4): 789–808.
21.
LiuZRaoBZhengQ.Polynomial stability of the Rao–Nakra beam with a single internal viscous damping. J Diff Equ2020; 269: 6125–6162.
22.
GuesmiaA.Some -norm decay estimates for two Cauchy systems of type Rao-Nakra sandwich beam with a frictional damping or an infinite memory. arXiv2022.
23.
AouadiM.Regularity and upper semicontinuity of pullback attractors for non-autonomous Rao-Nakra beam. Nonlinearity2022; 35: 1773.
24.
MukiawaSEEnyiCDAuduJD.Wellposedness and stability result for a thermoelastic Rao-Nakra beam model. J Therm Stresses. 2022; 45: 720–739.
25.
RaposoCAVera VillagranOPFerreiraJ, et al. Rao-Nakra sandwich beam with second sound. Partial Diff Equ Appl Math2021; 4: 100053.
26.
DautrayRLionsJL.Mathematical analysis and numerical methods for science and technology: functional and variational methods. Vol. 2. Berlin: Springer Science & Business Media, 1999.