Abstract
Objective:
There is a socioeconomic gradient to depression risks, with more pronounced inequality amid macroenvironmental potential traumatic events. Between mid-2019 and mid-2020, the Hong Kong population experienced drastic societal changes, including the escalating civil unrest and the COVID-19 pandemic. We examined the change of the socioeconomic gradient in depression and the potential intermediary role of daily routine disruptions.
Method:
We conducted repeated territory-wide telephone surveys in July 2019 and July 2020 with 1112 and 2034 population-representative Cantonese-speaking Hong Kong citizens above 15 years old, respectively. Stratified by year, we examined the association between socioeconomic indicators (education attainment, household income, employment status and marital status) and probable depression (nine-item Patient Health Questionnaire [PHQ-9] ⩾ 10) using logistic regression. Differences in the socioeconomic gradient between 2019 and 2020 were tested. Finally, we performed a path analysis to test for the mediating role of daily routine disruptions.
Results:
Logistic regression showed that higher education attainment in 2019 and being married in 2020 were protective against probable depression. Interaction analysis showed that the inverse association of higher education attainment with probable depression attenuated in 2020 but that of being married increased. Path analysis showed that the mediated effects through daily routine disruptions accounted for 95.9% of the socioeconomic gradient of probable depression in 2020, compared with 13.1% in 2019.
Conclusion:
From July 2019 to July 2020, the mediating role of daily routine disruptions in the socioeconomic gradient of depression in Hong Kong increased. It is thus implied that infection control measures should consider the relevant potential mental health impacts accordingly.
Introduction
Socioeconomic gradient in depression prevalence is widely observed in different world populations (Domènech-Abella et al., 2018; Rai et al., 2013). Commonly hypothesized mechanisms include economic hardship of disadvantaged groups (Economou et al., 2019), poorer coping style (Turner and Lloyd, 1999), less social support (Huurre et al., 2007) and more negative life events (Melchior et al., 2013). Previous research has shown that stronger socioeconomic gradient can be observed in the presence of potential traumatic events (PTE) relative to ordinary time (Hobfoll et al., 2015; Hou et al., 2018, 2020b; McGiffin et al., 2019). For example, recent studies (León-Giraldo et al., 2021; Roberts et al., 2009) have shown that populations affected by political conflicts were more prone to public mental health crises, with higher prevalence of mental health problems especially among sub-populations of lower socioeconomic statuses. In particular, a growing body of research literature has suggested that in the context of PTE, the capacity of sustaining a normal everyday life confers lower risk of mental health problems (Hou et al., 2019; Newnham et al., 2015; Riley et al., 2017) and is possibly one of the factors underlying the socioeconomic gradient of mental health statuses (Lai et al., 2020).
Dramatic macroenvironmental changes have taken place in Hong Kong within a short span of time since the second half of 2019. A rapid escalation of protests and confrontations followed by territory-wide school suspensions and strikes were noted at the early stages of anti-extradition bill movement since June 2019. The intensity of protests started to reduce partly due to the stringent pandemic control policies since the outbreak of novel coronavirus disease 2019 (COVID-19) in January 2020. The national security law was then enacted directly by the Chinese Central Government in 30 June 2020, aiming to restore social order through cracking down social movements (Holbig, 2020). Arguably of equal importance, the outbreak of the highly transmissible COVID-19 since early 2020 has been declared as a pandemic and affected most populations in the world. By the first half of 2020, there were already more than 1200 infected individuals and seven deaths related to COVID-19 in Hong Kong in conjunction with various physical distancing measures that were strictly implemented, such as restrictions on the operations of restaurants, entertainment facilities, and sport and recreational facilities (Wong et al., 2020b; Yeoh et al., 2021). The everyday life of residents was thus deeply affected (Hou et al., 2020a; Murray et al., 2020). Figure 1 shows a timeline of these macroenvironmental changes in society.

Timeline of macroenvironmental changes to Hong Kong society between April 2019 and July 2020.
Increasing theoretical knowledge and empirical evidence point to the argument that disrupted daily living relates to poorer mental health especially in time of stress. Social Zeitgeber theory asserts that humans maintain circadian rhythms (i.e. biological rhythms) synchronized with the 24-hour cycle by the entrainment of social cues when they are detached from the natural daylight schedule (Aschoff et al., 1971). Social cues inform us to engage in different daily routines, such as bed or mealtimes, and social and work that might or might not take place in the presence of others (i.e. within interpersonal interactions; Monk et al., 1990). The theory advances understanding of mental illnesses under the influences of major life events through an integrated psychobiological perspective. Major life events could disrupt social cues for daily routines, contributing in turn to irregular biological and social rhythms, increased somatic symptoms, and eventually onset of major depression episodes or higher odds of mood disorders among vulnerable individuals (Boland et al., 2019; Ehlers et al., 1993; Grandin et al., 2006; van Tienoven et al., 2014).
Drive to Thrive (DTT) theory further explains how regularity of daily routines works as one of the basic processes for adaptive psychological functioning over time (Hou et al., 2018, 2019). During ongoing stress, people are challenged to sustain their daily routines while they are increasingly drawn to focus on the stressors or their own distress. Daily routines will either be disrupted or terminated because traumatic and chronic stress usually predisposes individuals to an ecology that restricts individuals from practicing regular daily routines. Most importantly, the inverse association between stressors and mental health is stronger when routines are more disrupted or terminated; the association is weaker when routines are less disrupted.
This study aims to examine potential changes in the socioeconomic gradient and the intermediary role of daily routines using repeated population-based survey data collected in July 2019 and July 2020. A previous study has examined the potential mediating role of daily routine sustainment in the socio-political context of the anti-extradition bill movement in Hong Kong, July 2019 (Lai et al., 2020). A socioeconomic gradient existed in the depression prevalence and was mediated by disruption to daily routines, largely in line with the Social Zeitgeber theory and DTT theory. With these enormous changes to society and to individuals’ daily living all taking place within only a year, we tested two hypotheses in this investigation as follows.
Methods
Study design
This was a repeated cross-sectional population-based telephone survey conducted in July 2019 and July 2020, respectively. Repeated data were collected when the same survey was administered to independent samples of interviewees representative of the two waves, such that population changes, instead of individual changes, were studied over time (UK Data Service, 2015). The Centre for Communication and Public Opinion Survey of Chinese University of Hong Kong and Hong Kong Public Opinion Research Institute were contracted to conduct the survey. Ethics approval was obtained from the Human Research Ethics Committee in The Education University of Hong Kong (Ref: 2018-2019-0292; 2019-2020-0224). All procedures contributing to this work comply with the ethical standards of the relevant national and institutional committees on human experimentation and with the Helsinki Declaration of 1975, as revised in 2008.
Recruitment of participants
We adopted a dual-frame sampling approach using both landline and mobile network (50% each) and utilized a Computer-assisted Telephone Interview system for random digit dialling. Phone numbers were randomly drawn from databases of phone numbers provided by government authority. Participants were eligible if they were (1) a Hong Kong Chinese resident, (2) above 15 years old and (3) Cantonese-speaking. If more than one household member were eligible after a successful landline connection, the person who had the closest birthday to the date of data collection would proceed to interview. The system arranged further attempts for numbers of ‘no answer’, ‘busy’ or ‘eligible respondent not at home’. All participants provided informed consent verbally prior to the interview. Previous works adopting the same approach have suggested good population representativeness (Hou et al., 2021b).
Variables and measurement
We assessed the main outcome of interest, probable depression, using the validated Chinese version of the nine-item Patient Health Questionnaire (PHQ-9, hereinafter), which demonstrated high internal consistency among Chinese (α > 0.80; Yeung et al., 2008). Participants were asked to self-evaluate depressive symptoms in the past 2 weeks on a 4-point Likert-type scale (0 for ‘not at all’, 1 for ‘several days’, 2 for ‘more than half of the days’ and 3 for ‘nearly every day’). Higher scores (0–27) indicated higher levels of depressive symptoms. Consistent with previous evidence (Kroenke et al., 2001), scores of 10 or above indicated probable depression (yes/no) in all analyses. The key independent variables were socioeconomic indicators, including education attainment (primary or below vs secondary and tertiary), monthly household income (five categories), employment status (employed vs unemployed or dependent) and marital status (married vs single, divorced or widowed). As socioeconomic status possessed multifaceted features which were hardly replaceable by each other, we included all four indicators into the multivariable regression model.
Previous evidence suggested a substantial mediating role of daily routine disruptions in the effect of socioeconomic status (Lai et al., 2020). We continued to address this mediating effect in this study by adapting the Sustainability of Living Inventory (SOLI), a validated tool which evaluates participants’ capacity to sustain a high degree of daily living regularity (Hou et al., 2019). Two self-rated items concerning (1) healthy eating and sleeping (primary routine disruptions), (2) socializing and leisure activities (secondary routine disruptions) were asked on a scale ranging from 0 (no disruption) to 10 (strong disruption). The total scores ranged from 0 to 20, with higher scores suggesting more daily routine disruptions. Age and gender data were also collected for confounder control.
Statistical analyses
First, stratified by year (2019 and 2020), multivariable logistic regression examined the association between socioeconomic indicators and probable depression (PHQ-9 ⩾ 10), adjusted for the effects of age and gender. We performed two models by (1) including only the socioeconomic indicators as predictors (Model A) and (2) including SOLI scores in addition to the socioeconomic indicators (Model B). Any changes, particularly attenuation, of odds ratios and statistical significance in individual socioeconomic indicators were suggestive of potential mediating effect of daily routine disruptions in the association. Next, as the data collected in 2019 and 2020 represented two unique macroenvironments owing to the occurrence of drastic political changes and pandemic, we tested if year was a potential moderator in the socioeconomic gradient with stratification in regression analyses. We combined all data and conducted two logistic regression models again with (1) year and socioeconomic indicators as predictors (Model C) and (2) interaction terms between years and socioeconomic indicators in addition to Model C (Model D), which served to examine potential effect modification by year in the socioeconomic gradient of risk of probable depression.
Finally, we performed path analysis to test the mediating effect of daily routine disruptions in the association between socioeconomic indicators and probable depression using structural equation modelling. We further stratified the analyses by year. The path models were based on binary probit link using R ‘lavaan’ package with weighted least square mean and variance adjusted estimator. We assessed the model goodness-of-fit using jointly root-mean-square error of approximation (RMSEA), standardized root-mean-squared error (SRMR), comparative fit index (CFI) and Tucker–Lewis index (TLI). In addition, we performed multigroup analysis to examine the differences in mediation between the July 2019 model and the July 2020 model with and without an equality constraint that specified an equal mediating effect.
This study assumed all missing data were random, listwise deletion was therefore used to handle missing data. We compared the baseline characteristics using Student’s
To assess potential misclassification associated with binary variable, we performed a sensitivity analysis by replicating the regression analyses with linear regression using PHQ-9 score as a continuous outcome. We also widened the age range to include participants between 15 and 17, a sub-population known to be prone to environmental factors of depression, yet potentially less independent for their own decision making. Therefore, we performed the second sensitivity analysis to repeat the study while restricting the study population who aged 18 or above. Finally, since interactions might exist between socioeconomic indicators, we conducted the third sensitivity analysis regarding the path model, considering additional paths from education attainment to household income, and from education attainment to employment status.
Results
In July 2019, a total of 36,074 telephone numbers were attempted, 20,010 (55.5%) of them were ineligible for interview (i.e. invalid, non-resident/business telephone, fax numbers, no eligible respondent) and 14,520 (40.3%) were unconfirmed eligible. Among the 1544 (4.3%) eligible numbers, 1112 (72.0%) interviews were completed, 378 (24.5%) refused and 54 (3.5%) eligible respondents did not complete the interviews. In July 2020, a total of 74,476 telephone numbers were attempted, 29,971 (40.2%) of them were ineligible for interview (i.e. invalid, non-resident/business telephone, fax numbers, no eligible respondent) and 41,712 (56%) were unconfirmed eligible. Among the 2793 (3.8%) eligible numbers, 2034 (72.8%) interviews were completed, 485 (17.4%) refused and 274 (9.8%) eligible respondents did not complete the interviews.
Baseline characteristics
Table 1 compares the baseline characteristics including sociodemographics, self-rated daily routine disruptions, and probable depression among participants between 2019 and 2020. A total of 3146 participants completed the interview, of which 64.7% (
Baseline characteristics of participants stratified by year of recruitment.
HKD: Hong Kong Dollars; PHQ-9: Nine-item Patient Health Questionnaire; SD: standard deviation.
Logistic regression analyses
Among participants in 2019, logistic regression analysis revealed that attaining secondary and tertiary education level was significantly associated with 65% and 70% reduction in odds of probable depression (
Adjusted odds ratio of the effect of socioeconomic indicators on risk of depression, with or without adjustment to SOLI scores.
The 95% confidence intervals are shown in brackets. HKD: Hong Kong Dollars; SOLI: sustainability of living inventory instrument.
Combining data of 2 years in logistic regression, we found that odds of probable depression reduced by 47% from 2019 to 2020 (
Adjusted odds ratio of the effect of socioeconomic indicators on risk of depression, with or without adjustment to the interaction of year and socioeconomic indicators.
The 95% confidence intervals are shown in brackets. HKD: Hong Kong Dollars; SES indicators: socioeconomic indicators; SOLI: sustainability of living inventory instrument.
Path analysis
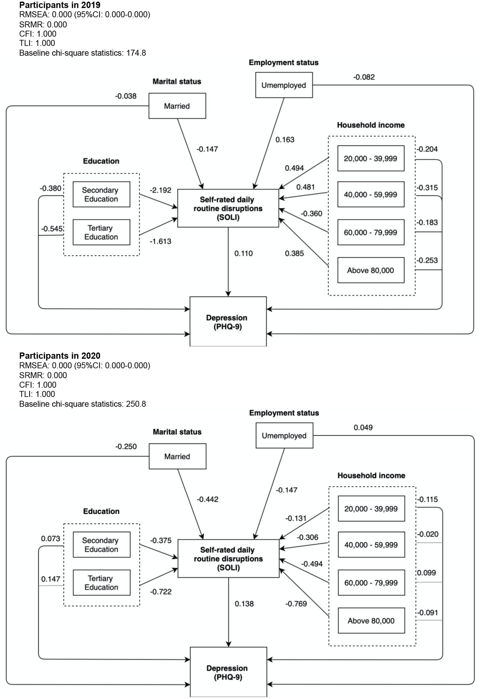
Figure 2 presents 2-year-stratified path models that illustrate the direct socioeconomic effects and the mediated effects through daily routine disruptions on probable depression. Both models achieved excellent goodness-of-fit (RMSEA = 0.000; 95% confidence interval [CI]: [0.000, 0.000]; SRMR = 0.000; CFI = 1.000; TLI = 1.000). Among participants in 2019, the protective effects of secondary education (

Path models showing the specified and estimated mediation processes of all socioeconomic effects on risk of depression operated through reduced daily routine disruptions, stratified by year.
Based on the two models, the collective mediated effects accounted for 13.1% and 95.9% of the total socioeconomic effect on probable depression in 2019 and 2020, respectively. Multigroup comparison analysis revealed that the sum of mediated effects was stronger among participants in 2020 than those in 2019 (
Sensitivity analyses
In all three sensitivity analyses, the results were largely consistent with the main findings and were shown in Supplemental Tables 1–5 and Supplemental Figure 1.
Discussion
In this study, we confirmed both of our hypotheses that there was a reduced impact of socioeconomic indicators on probable depression between mid-2019 and mid-2020 in Hong Kong (
Relationship with the literature
To the best of our knowledge, this is the first study that examined the change in the socioeconomic impact on probable depression following the double burden of widespread social unrest and pandemic in a developed population, which is indeed a rarely seen situation. Adding to some prior work on the impact of civil unrest and COVID-19 on population mental health including multinational research (Chen et al., 2021; Hou et al., 2021a, 2021b; Lai et al., 2020; Rudenstine et al., 2021; Serafini et al., 2020), we investigated the potential intermediary role of daily routine disruptions in this regard. Our findings on the direction of socioeconomic effects on probable depression are consistent with a recent systematic review on the risk factors of poorer mental health in the context of protests (Ni et al., 2020), which identified lower socioeconomic status as one of the risk factors. Another systematic review has suggested a consistent observation for this association in the context of the COVID-19 pandemic (Luo et al., 2020). Similar evidence has been reported in a cross-sectional study of 240,000 participants in Northern Italy amid the COVID-19 pandemic (Fornili et al., 2021), which clearly identified lower income as a risk factor. In addition, another local survey in Hong Kong has identified factors associated with poorer mental health statuses that were sensitive to socioeconomic status, including having inadequate surgical masks and not being able to work from home (Choi et al., 2020).
Interpretation
Our results suggest that in mid-2020, the protective effect of higher socioeconomic status is dominantly mediated through lesser disruptions to daily routines, compared with only a small indirect effect back in mid-2019 when the pandemic has yet to hit the Hong Kong population.
In fact, both social unrest and COVID-19 have contributed to strong mental health tolls in Hong Kong population (Choi et al., 2020). Mental health burden brought by the anti-extradition bill movement is prolonged despite the reduction in protest intensity, and concurrently, the population is still under the impact of COVID-19 (Hou et al., 2021c). Growing evidence has shown that exposure to cumulative traumatic events can substantially explain higher negative mental health outcomes (Myers et al., 2015), and a recent Hong Kong study suggested that unrest, COVID-19 stress and stressful life events can cumulatively exacerbated post-traumatic stress disorder (PTSD) and depressive symptoms (Wong et al., 2021). Such cumulated unrest and COVID-19 stress could therefore potentially induce higher daily routine disruptions in the year 2020.
Our findings are also in line with the differing extent to which social unrest and the pandemic (and hence, the infection control policies) affect the daily routines. Even at the peak of the social movement in late 2019 (Ni et al., 2017), there have been arguably few, if any, forced changes to the everyday living of Hong Kong citizens in general, with protests and violence mostly happening over the weekends. The protests became much less frequent gradually under the influences of government policies and enactment of law since early 2020. Daily routines, at least among non-regular protesters who constituted the majority of the population (Lai et al., 2020), were largely intact. Lower socioeconomic status might affect depression risks through other materialistic pathways like a larger reduction of income (in proportion) and less savings to cope with such challenges (Chung et al., 2018).
However, following the first local case of COVID-19 in the population on 30 January 2020, a series of territory-wide non-pharmaceutical interventions have been strictly imposed to cut the transmission chain in the community (Cowling et al., 2020; Wong et al., 2020b). These measures included, but were not limited to, the close down of restaurants after a certain time in the day (at one point only take-away was allowed), a total ban on the operations of entertainment, recreational and sport facilities, a ban on the gathering of more than a certain number of people in public areas (this number was long kept at four; Yeoh et al., 2021) and so on. In addition to the government policies, the fear of the pandemic among the public, driven by the experience of the Severe Acute Respiratory Syndrome (SARS) epidemic in 2003, has propelled them to proactively adopt strict measures to prevent an infection such as wearing surgical masks before it was made mandatory (Chan and Yuen, 2020). In other words, there has been a change of many aspects of life and the daily routines following the start of the epidemic in Hong Kong, which may possibly be better coped with among those of higher socioeconomic status (Wong et al., 2020a).
It is important to note that daily routines in large-scale disasters like civil unrest and COVID-19 could either be affected objectively (e.g. governmental policies or transport suspension during strikes and protests) or subjectively (e.g. psychological burdens amid these stressful events). Infection control policies restrict basic livelihood since the outbreak of COVID-19, most of the policies were implemented with a buffering time and clear guidelines for public to follow, such as social distancing and work from home, and thus it is likely that the public could prepare and adapt to the policies flexibly. In contrast, the anti-extradition bill movement was considered as a leaderless movement, and the course of events was usually not predictable. Daily routines can be disrupted unpredictably during the territory-wide strikes and confrontations. Adjustment to the unpredictable events could be challenging because government did not offer timely institutional guideline to affected persons, such as those who were late for work due to suspension of transportations. It is possible that in the heat of the civil unrest people could perceive more disruptions to daily routines even protests could be sporadic and regional due to unpredictability of the circumstances. More research is needed on whether subjective distress is different between social unrest and COVID-19, and how distress from the two different sources are associated with people’s evaluation of disruptions to daily routines and their mental health.
Limitations
There are three main limitations to the study that require caution while interpreting the results. First, the design of the study is repeated cross-sectional and causal inference is inappropriate. The observed changes in this study could not be directly attributed to the macroenvironmental events which happened between the two surveys. Further studies should make use of data from studies following participants through the two major macroenvironmental changes and capture the temporality of the associations. Second, self-report bias is probable. However, with confidentiality strictly followed and emphasized, participants should have been comfortable to provide an unbiased response. Third, the current study did not include subjective perceptions of stress associated with social unrest and COVID-19. An alternative explanation of the current findings is that subjective stress of unrest and COVID-19 together had a cumulative, compound effect on the population mental health in July 2020 relative to July 2019, and daily routine disruptions could have a stronger mediating effect when the stressors were stronger. Fourth, political orientation was not obtained from participants because it had become a sensitive issue and soliciting information about this particular variable may deter the participants from completing the surveys. Future research, if feasible, should consider including this potential confounder. Fifth, the sample size and variances differed between the 2019 and 2020 samples. Further research should aim for a similar sample size to minimize the impact on the analyses comparing these two samples. Sixth, given the cross-sectional nature of the study, we were not able to consider a wide variety of potential intermediary mechanisms of the socioeconomic gradient such as work-related stress, which may play an equally important role. Finally, we did not adjust for household size for household income in the analyses, which could have slightly reduced the validity of this measurement. Given the typical small household size at 2.8 with lower than 4% of the households having a family size of six or more (Hong Kong Census and Statistics Department, 2017), the impact was expected to be minor. Previous population-based studies also adopted similar approaches in the assessment of socioeconomic factors in the local context (Chung et al., 2015).
Implications
The socioeconomic gradient of depression risks has slightly flattened amid the pandemic in mid-2020 compared with mid-2019, i.e. the period during which social unrest was the main macroenvironmental PTE. This finding probably reflects the much more far-reaching impacts of the pandemic compared with the 2019 protests in terms of the disruptions to daily routines among the general public. Both Social Zeitgeber theory and DTT emphasize the importance of sustaining daily routines in the aids of stress adaptation and resilience (Grandin et al., 2006; Hou et al., 2018). Recent research shows that interpersonal and social rhythm Therapy (IPSRT) works towards the goal of regularizing sufficient adaptive daily routines in order to stabilize mood and has been found to be effective in treating bipolar spectrum disorders both alone and in combination with pharmacotherapy (Abdullah et al., 2016). Government policies should take into account the impact of infection control measures on the socioeconomically disadvantaged. Specifically, advanced announcements of stepwise plans to relieve COVID-19 restrictions corresponding to various pandemic scenarios instead of abrupt changes could be considered to allow the general public to have reasonable expectations of possible changes to their daily life and make corresponding behavioural adjustments. Depression risks among those sub-populations could be minimized if disruptions to their daily routines could be kept at a minimal level.
Conclusion
There was a reduction of the impact of socioeconomic indicators on the risk of probable depression between mid-2019 and mid-2020 in Hong Kong with the intermediary role of daily routine disruptions significantly increased. Government policies should take into consideration these disruptions and put more emphasis on public mental health amid the pandemic.
Supplemental Material
sj-docx-1-anp-10.1177_00048674211051271 – Supplemental material for Disrupted daily routines mediate the socioeconomic gradient of depression amid public health crises: A repeated cross-sectional study
Supplemental material, sj-docx-1-anp-10.1177_00048674211051271 for Disrupted daily routines mediate the socioeconomic gradient of depression amid public health crises: A repeated cross-sectional study by Francisco Tsz Tsun Lai, Vivien Kin Yi Chan, Tsz Wai Li, Xue Li, Stevan E Hobfoll, Tatia Mei-Chun Lee and Wai Kai Hou in Australian & New Zealand Journal of Psychiatry
Footnotes
Declaration of Conflicting Interests
The author(s) declared no potential conflicts of interest with respect to the research, authorship and/or publication of this article.
Funding
The author(s) disclosed receipt of the following financial support for the research, authorship and/or publication of this article: This work was supported by the Policy Innovation and Co-ordination Office, Hong Kong SAR Government (WKH, grant number SR2020.A5.019) and the Research Grants Council, University Grants Committee (WKH, grand number 18600320; TMCL and WKH, grant number C7069-19GF), Hong Kong SAR, China.
Supplemental material
Supplemental material for this article is available online.
References
Supplementary Material
Please find the following supplemental material available below.
For Open Access articles published under a Creative Commons License, all supplemental material carries the same license as the article it is associated with.
For non-Open Access articles published, all supplemental material carries a non-exclusive license, and permission requests for re-use of supplemental material or any part of supplemental material shall be sent directly to the copyright owner as specified in the copyright notice associated with the article.
